林业科学 ›› 2026, Vol. 62 ›› Issue (2): 230-240.doi: 10.11707/j.1001-7488.LYKX20250386
• 研究简报 • 上一篇
收稿日期:2025-06-12
修回日期:2025-08-03
出版日期:2026-02-25
发布日期:2026-03-04
通讯作者:
张金峰
E-mail:20231034@qhnu.edu.cn
基金资助:
Jingru Ge1,Rongxia Zhang2,Jinfeng Zhang2,3,*(
),Jiping Yang1
Received:2025-06-12
Revised:2025-08-03
Online:2026-02-25
Published:2026-03-04
Contact:
Jinfeng Zhang
E-mail:20231034@qhnu.edu.cn
摘要:
目的: 明确长白山阔叶红松林不同生活型植物多样性的海拔分布格局,揭示其与环境因子的关系,为温带山地森林生物多样性维持提供科学依据。方法: 基于布设的45个森林群落样地数据(50 m海拔间隔),探究阔叶红松林植物沿海拔梯度的分布差异,运用非线性回归、相关性分析和方差分解等方法,分析地形(海拔、坡度、坡向)、土壤(pH值以及碳、氮、磷含量)、气候(年平均温度)和生物(郁闭度、树高、胸径、冠幅)因素对乔灌草多样性的影响。结果: 1) 记录到乔木12科23属40种、灌木17科28属58种、草本41科87属105种;DBH≤5 cm的小径级树木株数在群落中占比较大,森林更新良好。2) 海拔700~1 050 m范围内,树木株数和重要值以耐阴树种占绝对优势,胸高断面积以建群种红松或主要优势树种紫椴占绝对优势;随海拔上升,针叶树种占比逐渐增多。3) 随海拔升高,群落的乔木层物种丰富度呈“单峰型”变化格局,灌木层物种丰富度逐渐降低,草本层物种丰富度呈先降低后增大的变化趋势。4) 地形、土壤和气候因子共同影响乔木层物种多样性,其中海拔引起的温度变化解释了27.0%的变化;灌木层物种多样性变化主导因子为地形因子(30.7%);草本层植物多样性除受地形、土壤和年平均温度影响外,还受森林郁闭度和乔木层胸径的显著影响(P<0.05)。结论: 长白山阔叶红松林植物多样性的海拔分异由地形、气候、土壤和林冠结构等多因子协同驱动,乔木、灌木和草本层对海拔和环境因子的响应模式呈现显著差异。
中图分类号:
葛静茹,张荣霞,张金峰,杨济萍. 长白山阔叶红松林植物多样性的海拔梯度分异[J]. 林业科学, 2026, 62(2): 230-240.
Jingru Ge,Rongxia Zhang,Jinfeng Zhang,Jiping Yang. Altitudinal Gradient Variation of Plant Diversity in Broadleaved Species–Pinus koraiensis Forests in Changbai Mountain[J]. Scientia Silvae Sinicae, 2026, 62(2): 230-240.
表1
长白山阔叶红松林群落结构特征随海拔的变化"
| 海拔 Elevation/m | 郁闭度Canopy density | 密度Density | 平均 胸径 Mean DBH / cm | 最大 胸径 Max. DBH/ cm | 平均 树高 Mean height/ m | 最大 树高 Max. height/ m | 胸高断 面积 Basal area/ (m2·hm–2) | 针叶树 株数比例Conifer proportion (%) | ||
| (1≤DBH< 5 cm)/ (ind.·hm–2) | (5≤DBH< 20 cm)/ (ind.·hm–2) | (DBH≥ 20 cm)/ (ind.·hm–2) | ||||||||
| 700~750 | 0.60 | 5 822 | 2 233 | 1 056 | 11.3 | 113.3 | 10.1 | 30.5 | 141.1 | 5.1 |
| 750~800 | 0.65 | 9 189 | 3 489 | 922 | 12.6 | 90.2 | 12.3 | 38.0 | 180.7 | 8.0 |
| 800~850 | 0.72 | 9 711 | 3 467 | 1 244 | 12.1 | 100.3 | 17.8 | 40.2 | 213.2 | 14.1 |
| 850~900 | 0.73 | 7 144 | 4 278 | 1 344 | 10.2 | 115.2 | 16.8 | 45.6 | 187.7 | 20.7 |
| 900~950 | 0.70 | 7 167 | 2 900 | 1 133 | 11.4 | 127.4 | 16.0 | 39.6 | 163.8 | 6.4 |
| 950~1 000 | 0.60 | 11 611 | 5 289 | 1 189 | 8.3 | 132.1 | 16.1 | 39.5 | 192.7 | 24.7 |
| 1 000~1 050 | 0.72 | 5 756 | 2 800 | 1 044 | 12.9 | 112.0 | 16.3 | 38.0 | 151.1 | 12.8 |
| 1 050~1 100 | 0.75 | 6 933 | 3 300 | 1 356 | 11.4 | 118.4 | 15.7 | 38.3 | 183.9 | 24.7 |
| 1 100~1 150 | 0.75 | 9 078 | 4 078 | 1 356 | 11.9 | 156.0 | 15.7 | 42.3 | 220.7 | 59.5 |
表2
各海拔梯度主要树种组成"
| 海拔 Elevation/m | 树种组成 Species composition (DBH≥1 cm) | ||
| 株数百分比 Percentage of stem number(%) | 胸高断面积百分比 Percentage of basal area(%) | 重要值 Importance value | |
| 700~750 | 20.33簇毛槭 Acer barbinerve+19.97 假色槭 A. pseudosieboldianum+16.12色木槭 A. mono+7.69暴马丁香 Syringa reticulata subsp. amurensis+6.59白牛槭 A. mandshuricum+ 其他 Others | 14.14红松 P. koraiensis+13.05水曲柳 F. mandschurica+12.52色木槭 A. mono+11.75假色槭A. pseudosieboldianum +11.60色木槭 A. mono+其他 Others | 33.07簇毛槭 A. barbinerve+17.33假色槭 A. pseudosieboldianum+10.58色木槭 A. mono+9.13红松 P. koraiensis+6.74紫椴 T. amurensis+其他 Others |
| 750~800 | 16.88色木槭 A. mono+11.10水曲柳 Fraxinus mandschurica+9.80暴马丁香 S. reticulata subsp. amurensis+7.20假色槭 A. pseudosieboldianum +6.61青楷槭 A. tegmentosum+其他 Others | 13.16紫椴 T. amurensis+12.92红松 P. koraiensis+11.04水曲柳 F. mandschurica+9.58春榆 Ulmus davidiana var. japonica+9.58色木槭 A. mono+其他 Others | 10.76色木槭 A. mono+ |
| 800~850 | 29.99假色槭 A. pseudosieboldianum+9.22簇毛槭 A. barbinerve+5.78色木槭 A. mono+4.95红松 Pinus koraiensis+4.67蒙古栎 Quercus mongolica+其他 Others | 12.26红松 P. koraiensis+11.00假色槭 A. pseudosieboldianum+9.07紫椴 T. amurensis+8.13色木槭 A. mono+6.46蒙古栎 Q. mongolica+其他 Others | 18.70假色槭 A. pseudosieboldianum+8.90红松 P. koraiensis+6.00簇毛槭 A. barbinerve+5.82紫椴 T. amurensis+5.41蒙古栎 Q. mongolica+其他 Others |
| 850~900 | 31.80假色槭 A. pseudosieboldianum+16.55簇毛槭 A. barbinerve+9.46色木槭 A. mono+6.38紫椴 Tilia amurensis+4.73红松 P. koraiensis+ 其他 Others | 13.76紫椴 T. amurensis+12.20色木槭 A. mono+10.80水曲柳 F. mandschurica+8.16红松 P. koraiensis+5.33蒙古栎 Q. mongolica+其他 Others | 18.81假色槭 A. pseudosieboldianum+10.99色木槭 A. mono+ |
| 900~950 | 25.90簇毛槭 A. barbinerve+16.54色木槭 A. mono+14.23白牛槭 A. mandshuricum+6.28青楷槭 A. tegmentosum+5.89紫椴 T. amurensis+其他 Others | 16.75紫椴 T. amurensis+15.19色木槭 A. mono+10.38白牛槭 A. mandshuricum+9.25 水曲柳 F. mandschurica+8.64臭冷杉 A. nephrolepis+其他 Others | 16.64色木槭 A. mono+15.38簇毛槭 A. barbinerve+10.96紫椴 T. amurensis+9.75白牛槭 A. mandshuricum+6.60臭冷杉 A. nephrolepis+其他 Others |
| 950~1 000 | 30.81簇毛槭 A. barbinerve+13.05色木槭 A. mono+10.27臭冷杉 Abies nephrolepis+9.67青楷槭 A. tegmentosum+7.20紫椴 T. amurensis+其他 Others | 12.00臭冷杉 A. nephrolepis+10.86紫椴 T. amurensis+10.45色木槭 A. mono+8.37红松 P. koraiensis+7.61簇毛槭 A. barbinerve+ 其他 Others | 16.44色木槭 A. mono+15.38簇毛槭 A. barbinerve+10.96紫椴 T. amurensis+9.75白牛槭 A. mandshuricum+6.6臭冷杉 A. nephrolepis+其他 Others |
| 1 000~1 050 | 37.79簇毛槭 A. barbinerve+14.06假色槭 A. pseudosieboldianum+9.67色木槭 A. mono+7.73白牛槭 A. mandshuricum+6.15花楷槭 A. ukurunduense+其他 Others | 15.00色木槭 A. mono+11.43紫椴 T. amurensis+11.03臭冷杉 A. nephrolepis+9.08黑桦 Betula dahurica+8.81簇毛槭 A. barbinerve+其他 Others | 18.48簇毛槭 A. barbinerve+12.95色木槭 A. mono+9.66臭冷杉 A. nephrolepis+9.35假色槭 A. pseudosieboldianum +8.44紫椴 T. amurensis+其他 Others |
| 1 050~1 100 | 16.20臭冷杉 A. nephrolepis+14.49簇毛槭 A. barbinerve+10.90花楷槭 A. ukurunduense+10.59色木槭 A. mono+9.19青楷槭 A. tegmentosum+其他 Others | 15.47红松 P. koraiensis+12.76臭冷杉 A. nephrolepis+10.27紫椴 T. amurensis+8.90色木槭 A. mono+6.23鱼鳞云杉 P. jezoensis+ 其他 Others | 11.67簇毛槭 A. barbinerve+10.94臭冷杉 A. nephrolepis+10.82色木槭 A. mono+9.13红松 P. koraiensis+7.76花楷槭 A. ukurunduense+其他 Others |
| 1 100~1 150 | 27.61臭冷杉 A. nephrolepis+13.37鱼鳞云杉 Picea jezoensis+13.13花楷槭 A. ukurunduense+9.08紫椴 T. amurensis+6.50长白落叶松 Larix olgensis+其他 Others | 21.78长白落叶松 L. olgensis+18.26臭冷杉 A. nephrolepis+13.60红松 P. koraiensis+10.53紫椴 T. amurensis+9.08鱼鳞云杉 P. jezoensis+其他 Others | 119.32臭冷杉 A. nephrolepis+10.03红松 P. koraiensis+9.96鱼鳞云杉 P. jezoensis+9.61花楷槭 A. ukurunduense+9.53长白落叶松 L. olgensis+其他 Others |
图3
阔叶红松林不同生活型物种多样性与环境因子相关性 Shannon: Shannon-Wiener指数 Shannon-Wiener index; Evenness: 均匀度指数 Pielou's evenness; SR: 物种丰富度 Species richness;Elevation: 海拔 Elevation;SI: 坡度 Slope inclination;SD: 坡向 Slope direction;Soil C: 土壤碳 Soil carbon;Soil N: 土壤氮 Soil nitrogen; Soil P: 土壤磷Soil phosphorus;MAT: 年平均温度 Mean annual temperature;FCD: 森林郁闭度 Forest canopy density;TLH: 乔木层高度 Tree layer height;DBH: 乔木层胸径 Diameter at breast height of trees;CD: 乔木层冠幅 Crown breadth of trees. *:P<0.05, **:P<0.01, ***:P<0.001."
图4
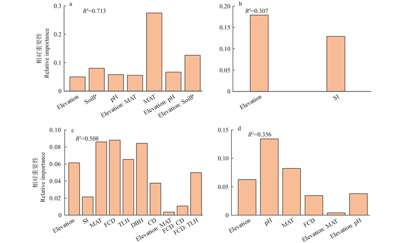
影响变量对乔木均匀度(a)、灌木丰富度(b)、草本丰富度(c)和Shannon-Wiener指数(d)的方差分解 Elevation: 海拔Elevation;SoilP: 土壤磷Soil phosphorus;MAT: 年平均温度 Mean annual temperature;SI: 坡度 Slope inclination;FCD: 森林郁闭度 Forest canopy density;TLH:乔木层高度Tree layer height;DBH:乔木层胸径Diameter at breast height of trees;CD:乔木层冠幅Crown breadth of trees.*P<0.05, **P<0.01, ***P<0.001."
| 白雪娇, 李步杭, 张 健, 等. 长白山阔叶红松林灌木物种组成、结构和空间分布. 应用生态学报, 2010, 21 (8): 1899- 1906. | |
| Bai X J, Li B H, Zhang J, et al. Species composition, structure, and spatial distribution of shrubs in broad-leaved korean pine (Pinus koraiensis) mixed forest in Changbai Mountains. Chinese Journal of Applied Ecology, 2010, 21 (8): 1899- 1906. | |
| 鲍士旦. 2000. 土壤农化分析. 3版. 北京: 中国农业出版社. | |
| Bao S D. 2000. Soil and agricultural chemistry analysis. 3rd ed. Beijing: China Agriculture Press. [in Chinese] | |
| 程根伟, 余新晓, 赵玉涛. 2004. 山地森林生态系统水文循环与数学模拟. 北京: 科学出版社. | |
| Cheng G W, Yu X X, Zhao Y T. 2004. The hydrological cycle and its mathematical models of forest ecosystem in mountains. Beijing: Science Press. [in Chinese] | |
|
方精云, 王襄平, 沈泽昊, 等. 植物群落清查的主要内容、方法和技术规范. 生物多样性, 2009, 17 (6): 533- 548.
doi: 10.3724/SP.J.1003.2009.09253 |
|
|
Fang J Y, Wang X P, Shen Z H, et al. Methods and protocols for plant community inventory. Biodiversity Science, 2009, 17 (6): 533- 548.
doi: 10.3724/SP.J.1003.2009.09253 |
|
| 郝占庆, 李步杭, 张 健, 等. 长白山阔叶红松林样地(CBS), 群落组成与结构. 植物生态学报, 2008, 32 (2): 238- 250. | |
| Hao Z Q, Li B H, Zhang J, et al. Broad-leaved korean pine (Pinus Koraiensis) mixed forest plot in Changbaishan (CBS) of China: community composition and structure. Journal of Plant Ecology, 2008, 32 (2): 238- 250. | |
| 郝占庆, 于德永, 杨晓明, 等. 2002. 长白山北坡植物群落α多样性及其随海拔梯度的变化. 应用生态学报, 13(7): 785−789. | |
| Hao Z Q, Yu D Y, Yang X M, et al. 2002. α diversity of communities and their variety along altitude gradient on northern slope of Changbai Mountain. Chinese Journal of Applied Ecology, 13(7): 785−789. [in Chinese] | |
| 姜 萍, 赵 光, 叶 吉, 等. 长白山北坡森林群落结构组成及其海拔变化. 生态学杂志, 2003, 22 (6): 28- 32. | |
| Jiang P, Zhao G, Ye J, et al. Structure of forest communities on the northern slope of Changbai Mountain and its variation along elevation gradients. Chinese Journal of Ecology, 2003, 22 (6): 28- 32. | |
| 秦 浩, 张殷波, 董 刚, 等. 2019. 山西关帝山森林群落物种、谱系和功能多样性海拔格局. 植物生态学报, 43(9): 762−773. | |
| Qin H, Zhang Y B, Dong G, et al. 2019. Altitudinal patterns of taxonomic, phylogenetic and functional diversity of forest communities in Mount Guandi, Shanxi, China. Chinese Journal of Plant Ecology, 43(9): 762−773. [in Chinese] | |
|
王国宏. 祁连山北坡中段植物群落多样性的垂直分布格局. 生物多样性, 2002, 10 (1): 7- 14.
doi: 10.17520/biods.2002002 |
|
|
Wang G H. Species diversity of plant communities along an altitudinal gradient in the middle section of northern slopes of Qilian Mountains, Zhangye, Gansu, China. Biodiversity Science, 2002, 10 (1): 7- 14.
doi: 10.17520/biods.2002002 |
|
|
王芸芸, 师 帅, 蔺 菲, 等. 长白山阔叶红松林木本植物繁殖特征及其关联性. 科学通报, 2014, 59 (24): 2407- 2415.
doi: 10.1360/N972014-00278 |
|
|
Wang Y Y, Shi S, Lin F, et al. Reproductive traits and their correlation among woody plants in a broadleaf-Korean pine (Pinus koraiensis) mixed forest in northeast China. Chinese Science Bulletin, 2014, 59 (24): 2407- 2415.
doi: 10.1360/N972014-00278 |
|
|
吴晓莆, 朱 彪, 赵淑清, 等. 东北地区阔叶红松林的群落结构及其物种多样性比较. 生物多样性, 2004, 12 (1): 174- 181.
doi: 10.17520/biods.2004021 |
|
|
Wu X P, Zhu B, Zhao S Q, et al. Comparison of community structure and species diversity of mixed forests of deciduous broad-leaved tree and Korean pine in Northeast China. Biodiversity Science, 2004, 12 (1): 174- 181.
doi: 10.17520/biods.2004021 |
|
| 吴晓煜, 赵秀海. 长白山阔叶红松林物种多样性格局及其尺度效应. 林业科学, 2025, 61 (2): 40- 49. | |
| Wu X Y, Zhao X H. Patterns of Species diversity and itʼs scale effects in the broad-leaved korean pine forests of Changbai Mountain. Scientia Silvae Sinicae, 2025, 61 (2): 40- 49. | |
| 肖 欢, 叶尔江·拜克吐尔汗, 张春雨, 等. 长白山阔叶红松林林层群落结构与生产力的关系. 林业科学, 2024, 60 (3): 57- 64. | |
| Xiao H, Baiketuerhan Y E J, Zhang C Y, et al. Relationship between forest layer community structure and productivity of broad-leaved korean pine forest in Changbai Mountain. Scientia Silvae Sinicae, 2024, 60 (3): 57- 64. | |
| 徐文铎, 何兴元, 陈 玮, 等. 2004. 长白山植被类型特征与演替规律的研究. 生态学杂志, 23(5): 162−174. | |
| Xu W D, He X Y, Chen W, et al. 2004 Characteristics and succession rules of vegetation types in Changbai Mountain. Chinese Journal of Ecology, 23(5): 162−174. [in Chinese] | |
| 张金峰, 葛树森, 梁金花, 等. 长白山阔叶红松林红松种群年龄结构与数量动态特征. 植物生态学报, 2022a, 46 (6): 667- 677. | |
| Zhang J F, Ge S F, Liang J H, et al. Age structure and quantitative dynamics of Pinus koraiensis population in broad-leaved Korean pine forest in Changbai Mountain. Journal of Plant Ecology, 2022a, 46 (6): 667- 677. | |
| 张金峰, 葛树森, 梁金花, 等. 长白山阔叶红松林紫椴种群结构与动态特征. 生态学报, 2022b, 42 (13): 5381- 5390. | |
| Zhang J F, Ge S F, Liang J H, et al. Population structure and dynamic characteristics of Tilia amurensis in broad-leaved Korean pine mixed forest in Changbai Mountain. Acta Ecologica Sinica, 2022b, 42 (13): 5381- 5390. | |
| 张殷波, 秦 浩, 孟庆欣, 等. 太行山森林群落物种多样性空间格局及其影响因素. 应用与环境生物学报, 2022, 28 (2): 331- 338. | |
| Zhang Y B, Qin H, Meng Q X, et al. Spatial patterns of and factors influencing species diversity in the forest communities of China’s Taihang Mountains. Chinese Journal of Apply and Environmental Biology, 2022, 28 (2): 331- 338. | |
| 赵家豪, 叶钰倩, 陈 斌, 等. 江西武夷山南方铁杉针阔混交林主要植物生态位特征. 林业科学, 2021, 57 (1): 191- 199. | |
| Zhao J H, Ye Y Q, Chen B, et al. Niche characteristics of dominant plants of coniferous (Tsuga chinensis var. tchekiangensis) and broad-leaf mixed forest in Jiangxi Wuyishan, China. Scientia Silvae Sinicae, 2021, 57 (1): 191- 199. | |
|
赵淑清, 方精云, 宗占江, 等. 长白山北坡植物群落组成、结构及物种多样性的垂直分布. 生物多样性, 2004, 12 (1): 164- 173.
doi: 10.17520/biods.2004020 |
|
|
Zhao S Q, Fang J Y, Zong Z J, et al. Composition, structure and species diversity of plant communities along an altitudinal gradient on the northern slope of Mt. Changbai, Northeast China. Biodiversity Science, 2004, 12 (1): 164- 173.
doi: 10.17520/biods.2004020 |
|
|
Carvalho J C, Cardoso P, Gomes P. Determining the relative roles of species replacement and species richness differences in generating beta-diversity patterns. Global Ecology and Biogeography, 2012, 21 (7): 760- 771.
doi: 10.1111/j.1466-8238.2011.00694.x |
|
| Chase J M. 2003. Community assembly: when should history matter? Oecologia, 136(4): 489-498. | |
|
Cheng C J, He N P, Li M X, et al. Plant species richness on the Tibetan Plateau: patterns and determinants. Ecography, 2023, 2023, e06265.
doi: 10.1111/ecog.06265 |
|
|
Chun J H, Lee C B. Diversity patterns and phylogenetic structure of vascular plants along elevational gradients in a mountain ecosystem, South Korea. Journal of Mountain Science, 2018, 15 (2): 280- 295.
doi: 10.1007/s11629-017-4477-x |
|
|
Diniz-Filho J A F, Bini L M, Hawkins B A. Spatial autocorrelation and red herrings in geographical ecology. Global Ecology and Biogeography, 2003, 12 (1): 53- 64.
doi: 10.1046/j.1466-822X.2003.00322.x |
|
|
Harms K E, Condit R, Hubbell S P, et al. Habitat associations of trees and shrubs in a 50-ha neotropical forest plot. Journal of Ecology, 2001, 89 (6): 947- 959.
doi: 10.1111/j.1365-2745.2001.00615.x |
|
|
Hao M H, Zhang C Y, Zhao X H, et al. Functional and phylogenetic diversity determine woody productivity in a temperate forest. Ecology and Evolution, 2018, 8 (5): 2395- 2406.
doi: 10.1002/ece3.3857 |
|
|
He D N, Peng D L, Yang H, et al. The response of seedlings and saplings to canopy structure and light in different gaps in a spruce-fir mixed stand in Changbai Mountains, China. Forest Ecology and Management, 2023, 546, 121365.
doi: 10.1016/j.foreco.2023.121365 |
|
|
Jost L. Partitioning diversity into independent alpha and beta components. Ecology, 2007, 88 (10): 2427- 2439.
doi: 10.1890/06-1736.1 |
|
|
Legendre P, Mi X C, Ren H B, et al. Partitioning beta diversity in a subtropical broad-leaved forest of China. Ecology, 2009, 90 (3): 663- 674.
doi: 10.1890/07-1880.1 |
|
|
McCain C M. Area and mammalian elevational diversity. Ecology, 2007, 88 (1): 76- 86.
doi: 10.1890/0012-9658(2007)88[76:AAMED]2.0.CO;2 |
|
|
Pashirzad M, Ejtehadi H, Vaezi J, et al. Plant–plant interactions influence phylogenetic diversity at multiple spatial scales in a semi-arid mountain rangeland. Oecologia, 2019, 189 (3): 745- 755.
doi: 10.1007/s00442-019-04345-9 |
|
|
Qian H, Ricklefs R E. A latitudinal gradient in large-scale beta diversity for vascular plants in North America. Ecology Letters, 2007, 10 (8): 737- 744.
doi: 10.1111/j.1461-0248.2007.01066.x |
|
| Rowe R J, Lidgard S. 2009. Elevational gradients and species richness: do methods change pattern perception? Global Ecology and Biogeography, 18(2): 163−177. | |
| Shi B K, Gao W F, Cai H Y, et al. Spatial variation of soil respiration is linked to the forest structure and soil parameters in an old-growth mixed broadleaved-Korean pine forest in northeastern China. Plant and Soil, 2016, 400 (1): 263- 274. | |
|
Vetaas O R, Grytnes J A. Distribution of vascular plant species richness and endemic richness along the Himalayan elevation gradient in Nepal. Global Ecology and Biogeography, 2002, 11 (4): 291- 301.
doi: 10.1046/j.1466-822X.2002.00297.x |
|
|
Wang G H, Zhou G S, Yang L M, et al. Distribution, species diversity and life-form spectra of plant communities along an altitudinal gradient in the northern slopes of Qilianshan Mountains, Gansu, China. Plant Ecology, 2003, 165 (2): 169- 181.
doi: 10.1023/A:1022236115186 |
|
|
Wang G R, Sun Y, Zhou M, et al. Effect of thinning intensity on understory herbaceous diversity and biomass in mixed coniferous and broad-leaved forests of Changbai Mountain. Forest Ecosystems, 2021, 8 (1): 53.
doi: 10.1186/s40663-021-00331-x |
|
|
Yue Q M, Hao M H, Li X Y, et al. Assessing biotic and abiotic effects on forest productivity in three temperate forests. Ecology and Evolution, 2020, 10 (14): 7887- 7900.
doi: 10.1002/ece3.6516 |
|
|
Zhang W X, Huang D Z, Wang R Q, et al. Altitudinal patterns of species diversity and phylogenetic diversity across temperate mountain forests of northern China. PLoS One, 2016, 11 (7): e0159995.
doi: 10.1371/journal.pone.0159995 |
|
|
Zhao F Q, Yang J, Liu Z H, et al. Balancing multiple objectives using a classification-based forest management system in Changbai Mountains, China. Environmental Management, 2011, 48 (6): 1136- 1147.
doi: 10.1007/s00267-011-9669-5 |
| [1] | 毛慧,赵飞飞,李杰,张春雨. 东北中温带森林树种多样性和环境因子对土壤多功能性的影响[J]. 林业科学, 2026, 62(2): 40-52. |
| [2] | 尹海锋,刘思泽,曾杰,苏宇,余安卫,李贤伟. 林窗改造下马尾松根系分解与土壤线虫功能群的互馈作用[J]. 林业科学, 2026, 62(2): 85-96. |
| [3] | 林昕怡,周星鲁,张磊,王丽娟,安新民,胡建军. 转BtCry1Ac基因杨树的生物安全性评价[J]. 林业科学, 2026, 62(2): 134-146. |
| [4] | 刘世荣,陈远其,聂秀青,明安刚,王晖. 树种多样性对森林生态系统多功能性和韧性的影响[J]. 林业科学, 2026, 62(1): 1-18. |
| [5] | 竹万宽,王志超,许宇星,黄润霞,陶怡,钟源源,杜阿朋. 基于机器学习算法的雷州半岛桉树复层混交林土壤呼吸模拟[J]. 林业科学, 2026, 62(1): 67-82. |
| [6] | 池成林,王剑南,崔嵘,王千雪,张吉利. 穿透雨减少对三江平原蒙古栎林大型土壤动物群落的影响[J]. 林业科学, 2026, 62(1): 231-242. |
| [7] | 于涛,何亮,杨文斌,程一本,冯伟,齐容镰,刘国华,宁岩岩,于远远,李卫. 科尔沁沙地典型乔灌植被的深层渗漏与土壤水分补给特征[J]. 林业科学, 2026, 62(1): 83-94. |
| [8] | 于晓燕,高雅娴,魏光普,张舒宇,张文君. 内蒙古自治区植被恢复力时空格局及其对极端气候的响应[J]. 林业科学, 2025, 61(9): 48-58. |
| [9] | 康敏敏,李平平,万艳芳,段文标,于澎涛,王彦辉,张小全,李未来,高原. 北京山区侧柏人工林液流密度对极端土壤干旱的响应[J]. 林业科学, 2025, 61(9): 59-69. |
| [10] | 杨智慧,韦柳端,于淼,董天心,张星宇,张新娜,马冰倩,徐程扬. 4种树苗生长的干旱胁迫响应取决于低序级根性状[J]. 林业科学, 2025, 61(9): 81-89. |
| [11] | 江雨琦,牛健植,王迪,杨涛,戴正宇,郑佳玉. 基于染色示踪和探地雷达的辽宁老秃顶子天然次生林土壤优先流特征[J]. 林业科学, 2025, 61(8): 32-45. |
| [12] | 黄梓菡,韩巧玲,赵玥,赵燕东,宋美慧. 基于CycleGAN的土壤CT/SEM图像多尺度融合方法[J]. 林业科学, 2025, 61(8): 116-128. |
| [13] | 王汝苗,李晶,刘魏魏,崔丽娟. 微生物代谢可塑性对退化湿地固碳的调控机制及生态恢复启示[J]. 林业科学, 2025, 61(7): 52-58. |
| [14] | 赵忠. 古树健康管理面临的问题和挑战[J]. 林业科学, 2025, 61(7): 94-99. |
| [15] | 王参,Masoudi Abolfazl,王敏,张泽,曹靖锟,徐雨豪,于志军,刘敬泽. 雄安新区典型土地利用转变方式下土壤病原细菌特征及其对微塑料的响应[J]. 林业科学, 2025, 61(7): 231-240. |
| 阅读次数 | ||||||
|
全文 |
|
|||||
|
摘要 |
|
|||||