林业科学 ›› 2026, Vol. 62 ›› Issue (2): 85-96.doi: 10.11707/j.1001-7488.LYKX20250304
• 研究论文 • 上一篇
尹海锋1,2,*(
),刘思泽3,曾杰1,苏宇4,余安卫2,李贤伟2
收稿日期:2025-05-12
修回日期:2025-08-25
出版日期:2026-02-25
发布日期:2026-03-04
通讯作者:
尹海锋
E-mail:yhfeng312@163.com
基金资助:
Haifeng Yin1,2,*(
),Size Liu3,Jie Zeng1,Yu Su4,Anwei Yu2,Xianwei Li2
Received:2025-05-12
Revised:2025-08-25
Online:2026-02-25
Published:2026-03-04
Contact:
Haifeng Yin
E-mail:yhfeng312@163.com
摘要:
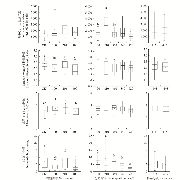
目的: 探究马尾松根系分解动态与土壤线虫功能群的互馈作用及其对林窗改造的响应,为基于生物多样性维持和土壤养分提升的人工林近自然经营提供依据。方法: 在马尾松人工林内设置不同大小林窗(100、200和400 m2)及对照样地,通过根系分级、分解袋试验分析马尾松不同等级根系的分解速率和养分释放,采用形态学方法鉴定根系分解袋中的土壤线虫,结合结构方程模型分析,系统探究林窗大小对根系分解、线虫群落和土壤化学性质的影响及其相互作用。结果: 1) 林窗大小显著影响根系质量残留率(P < 0.05),1~3级根(低级根)在200 m2林窗中分解较100和400 m2林窗中快,4~5级根(高级根)0~360天在200 m2林窗中分解最快,360~720天在400 m2林窗中分解最快。低级根分解速率高于高级根。在分解过程中,根系氮和磷含量整体上呈先增高后降低的趋势,且在不同大小林窗中变化趋势较为一致,而根系钾含量波动较大。2) 林窗改造可提高土壤线虫丰度,在200 m2林窗中土壤线虫Shannon-Wiener多样性指数、成熟度(c-p 2~5)指数和生物量最高,且显著高于400 m2林窗(P < 0.05)。随着根系分解时间推移,土壤线虫的丰度和生物量呈先升高后降低的趋势,在第210天达到最高值。植食性线虫为优势类群(50.13%),其次为食细菌线虫(21.76%),植食性线虫丰度占比在各处理中均为最高,且随着根系分解时间推移整体呈上升趋势。3) 根系分解与土壤线虫功能群形成双向互馈关系。结构方程模型显示,根系分解时间和根系质量残留率对杂食性线虫丰度占比有显著负向影响,而杂食性和捕食性线虫对食细菌线虫有显著正向影响,食细菌线虫对根系氮含量有显著正效应,构成“根系分解?线虫功能群?土壤养分”的互馈调控路径。结论: 林窗改造可显著影响马尾松根系分解动态,改变土壤线虫多样性和群落结构。在林窗改造下,马尾松根系通过分解速率和养分释放调控土壤线虫功能群组成,高营养级的土壤线虫功能群通过捕食作用控制群落结构进而影响根系分解和土壤养分循环。200 m2林窗在根系分解与土壤线虫多样性协同提升方面表现最优。本研究结果可为亚热带退化马尾松林生态恢复及人工林可持续经营提供科学依据。
中图分类号:
尹海锋,刘思泽,曾杰,苏宇,余安卫,李贤伟. 林窗改造下马尾松根系分解与土壤线虫功能群的互馈作用[J]. 林业科学, 2026, 62(2): 85-96.
Haifeng Yin,Size Liu,Jie Zeng,Yu Su,Anwei Yu,Xianwei Li. Mutual Feedback between Root Decomposition of Pinus massoniana and Soil Nematode Trophic Groups under Forest Gap Transformation[J]. Scientia Silvae Sinicae, 2026, 62(2): 85-96.
表1
林窗大小、分解时间对土壤线虫多样性和生物量的影响①"
| 根序 Root order | 生态学指数 Ecological index | 林窗大小 Gap size | 分解时间 Decomposition time | 林窗大小× 分解时间 Gap size × decomposition time |
| 1~3级 1–3 order | 丰度 Abundance | 25.04** | 30.65** | 6.51** |
| 丰富度 Richness | 1.52 | 3.90* | 1.23 | |
| Shannon-Wiener 多样性 Shannon-Wiener diversity | 7.61** | 2.41 | 4.40** | |
| Pielou均匀度 Pielou evenness | 8.80** | 0.82 | 5.58** | |
| Simpson多样性 Simpson diversity | 11.56** | 1.90 | 5.15** | |
| 成熟度 Maturity | 3.26 | 3.06* | 2.46* | |
| 成熟度(c-p 2~5) Maturity (c-p 2–5) | 3.25 | 0.90 | 1.64 | |
| 生物量 Biomass | 4.31* | 6.78** | 1.41 | |
| 4~5级 4–5 order | 丰度 Abundance | 0.98 | 59.08** | 5.41** |
| 丰富度 Richness | 1.66 | 1.20 | 4.18** | |
| Shannon-Wiener 多样性 Shannon-Wiener diversity | 11.08** | 1.45 | 5.31** | |
| Pielou均匀度 Pielou evenness | 9.70** | 1.25 | 3.43** | |
| Simpson多样性 Simpson diversity | 10.85** | 1.07 | 4.23** | |
| 成熟度 Maturity | 3.01 | 1.76 | 2.08* | |
| 成熟度(c-p 2~5) Maturity (c-p 2–5) | 4.98* | 8.29** | 4.26** | |
| 生物量 Biomass | 4.85* | 23.65** | 4.98** |
图6
土壤线虫功能群丰度占比、根系质量残留率、根系养分含量与土壤养分的相关性分析 * P<0.05;** P<0.01;***P<0.001. pH:土壤pH值 Soil pH value;SOM:土壤有机质含量Soil organic matter content;TN:土壤全氮含量Soil total nitrogen content;TP:土壤全磷含量Soil total phosphorus content;TK:土壤全钾含量Soil total potassium content;MR:根系质量残留率Root mass remaining rate;Root-N:根系氮含量Root nitrogen content;Root-P:根系磷含量Root phosphorus content;Root-K:根系钾含量Root potassium content. 方格越大代表相关性越强A larger square denotes a stronger correlation."
图7
林窗大小和根系分解时间对根系分解、土壤线虫、土壤养分的结构方程模型分析 Gap Size:林窗大小Forest gap size;Time:根系分解时间Root decomposition time;MR:根系质量残留率Mass remaining rate;Root-N:根系氮含量Root nitrogen content;SOM:土壤有机质含量Soil organic matter content;TN:土壤全氮含量Soil total nitrogen content;PRED:捕食线虫丰度占比Abundance proportion of predators;OMNI:杂食线虫占比Abundance proportion of omnivores;HERI:植食性线虫占比Abundance proportion of herbivores;FUNG:食真菌线虫占比Abundance proportion of fungivores;BACT:食细菌线虫占比Abundance proportion of bacterivores."
| 白昱欣, 刘润洪, 苏洁桦, 等. 树种混交对马尾松和红锥根际与非根际土壤微生物资源限制的影响. 生态学报, 2024, 44 (23): 10770- 10781. | |
| Bai Y X, Liu R H, Su J H, et al. Effects of tree species mixing on bulk and rhizosphere soil microbial resource limitation in stands of Pinus massoniana and Castanopsis hystrix. Acta Ecologica Sinica, 2024, 44 (23): 10770- 10781. | |
| 杜晓芳, 李英滨, 刘 芳, 等. 土壤微食物网结构与生态功能. 应用生态学报, 2018, 29 (2): 403- 411. | |
| Du X F, Li Y B, Liu F, et al. Structure and ecological functions of soil micro-food web. Chinese Journal of Applied Ecology, 2018, 29 (2): 403- 411. | |
| 费 菲, 肖文娅, 刁娇娇, 等. 林窗尺度对侧柏人工林土壤微生物生物量碳氮的短期影响. 生态学报, 2018, 38 (3): 1087- 1096. | |
| Fei F, Xiao W Y, Diao J J, et al. Short-term effects of forest gap size on soil microbial biomass carbon and nitrogen in the Platycladus orientalis plantation. Acta Ecologica Sinica, 2018, 38 (3): 1087- 1096. | |
| 管云云, 叶钰倩, 钟远标, 等. 林窗尺度对侧柏人工林土壤微生物量和功能多样性的影响. 生态学报, 2018, 38 (2): 698- 710. | |
| Guan Y Y, Ye Y Q, Zhong Y B, et al. Effects of forest gap size on the biomass and functional diversity of soil microbes in Platycladus orientalis plantations. Acta Ecologica Sinica, 2018, 38 (2): 698- 710. | |
|
郭大立, 王政权. 根系生态学. 植物生态学报, 2008, 32 (6): 1213- 1216.
doi: 10.3773/j.issn.1005-264x.2008.06.001 |
|
|
Guo D L, Wang Z Q. Root ecology. Journal of Plant Ecology, 2008, 32 (6): 1213- 1216.
doi: 10.3773/j.issn.1005-264x.2008.06.001 |
|
|
郭佳欢, 孙杰杰, 冯会丽, 等. 杉木人工林土壤肥力质量的演变趋势及维持措施的研究进展. 浙江农林大学学报, 2020, 37 (4): 801- 809.
doi: 10.11833/j.issn.2095-0756.20190478 |
|
|
Guo J H, Sun J J, Feng H L, et al. Research progress on evolution trends and maintenance measures of soil fertility quality in Cunninghamia lanceolata plantations. Journal of Zhejiang A& F University, 2020, 37 (4): 801- 809.
doi: 10.11833/j.issn.2095-0756.20190478 |
|
| 胡建文, 刘常富, 勾蒙蒙, 等. 林龄对马尾松人工林微生物残体碳积累的影响机制. 应用生态学报, 2024, 35 (1): 153- 160. | |
| Hu J W, Liu C F, Gou M M, et al. Influencing mechanism of stand age to the accumulation of microbial residue carbon in the Pinus massoniana plantations. Chinese Journal of Applied Ecology, 2024, 35 (1): 153- 160. | |
|
李昌明, 王晓玥, 孙 波. 不同气候和土壤条件下秸秆腐解过程中养分的释放特征及其影响因素. 土壤学报, 2017, 54 (5): 1206- 1217.
doi: 10.11766/trxb201605050226 |
|
|
Li C M, Wang X Y, Sun B. Characteristics of nutrient release and its affecting factors during plant residue decomposition under different climate and soil conditions. Acta Pedologica Sinica, 2017, 54 (5): 1206- 1217.
doi: 10.11766/trxb201605050226 |
|
| 李德会, 李相君, 吴庆贵, 等. 柏木人工林林窗位置对香椿细根分解及土壤真菌群落多样性的影响. 生态学报, 2022, 42 (7): 2784- 2797. | |
| Li D H, Li X J, Wu Q G, et al. Effects of gap locations on the decomposition of fine root of Toona sinensis and soil fungal community diversity in cypress plantation forest. Acta Ecologica Sinica, 2022, 42 (7): 2784- 2797. | |
| 李 勋, 崔宁洁, 张 艳, 等. 马尾松与乡土阔叶树种凋落叶纤维素、总酚以及缩合单宁降解的混合效应. 生态环境学报, 2022, 31 (9): 1813- 1822. | |
| Li X, Cui N J, Zhang Y, et al. Mixed effects on cellulose, total phenols and condensed tannins degradation in the litter leaves of Pinus massoniana and native broad-leaved tree species. Ecology and Environment Sciences, 2022, 31 (9): 1813- 1822. | |
| 梁思维, 刘笑彤, 李英滨, 等. 我国土壤线虫生态研究新进展. 应用生态学报, 2024, 35 (8): 2282- 2290. | |
| Liang S W, Liu X T, Li Y B, et al. Recent research progress of soil nematode ecology in China. Chinese Journal of Applied Ecology, 2024, 35 (8): 2282- 2290. | |
| 刘超华, 李凤巧, 廖杨文科, 等. 人工林对土壤地力的影响过程及其调控研究进展. 土壤学报, 2023, 60 (3): 644- 656. | |
| Liu C H, Li F Q, Liao-Yang W K, et al. Research progress on effects and regulation of plantation on soil fertility. Acta Pedologica Sinica, 2023, 60 (3): 644- 656. | |
| 刘 华, 张丹桔, 张 健, 等. 马尾松人工林林窗大小对四种凋落叶质量损失和养分释放的影响. 生态学报, 2017, 37 (2): 513- 522. | |
| Liu H, Zhang D J, Zhang J, et al. Effects of forest gap size on leaf litter weight loss and nutrient release of four species in Pinus massoniana plantations. Acta Ecologica Sinica, 2017, 37 (2): 513- 522. | |
|
刘世荣, 杨予静, 王 晖. 中国人工林经营发展战略与对策: 从追求木材产量的单一目标经营转向提升生态系统服务质量和效益的多目标经营. 生态学报, 2018, 38 (1): 1- 10.
doi: 10.1016/j.chnaes.2017.02.003 |
|
|
Liu S R, Yang Y J, Wang H. Development strategy and management countermeasures of planted forests in China: transforming from timber-centered single objective management towards multi-purpose management for enhancing quality and benefits of ecosystem services. Acta Ecologica Sinica, 2018, 38 (1): 1- 10.
doi: 10.1016/j.chnaes.2017.02.003 |
|
|
刘思琪, 满秀玲, 张 頔, 等. 寒温带4种乔木树种不同径级根系分解及碳氮释放动态. 北京林业大学学报, 2023, 45 (7): 36- 46.
doi: 10.12171/j.1000-1522.20210490 |
|
|
Liu S Q, Man X L, Zhang D, et al. Dynamics of root decomposition and carbon and nitrogen release of four tree species with different diameter classes in the cold temperate zone. Journal of Beijing Forestry University, 2023, 45 (7): 36- 46.
doi: 10.12171/j.1000-1522.20210490 |
|
| 刘 月, 张利敏, 徐胜楠, 等. 高通量测序分析冻融期碳源输入方式对土壤线虫群落的影响. 生态学报, 2022, 42 (9): 3482- 3493. | |
| Liu Y, Zhang L M, Xu S N, et al. Effects of different carbon input methods on soil nematode community in freeze-thaw period based on high-throughput sequencing. Acta Ecologica Sinica, 2022, 42 (9): 3482- 3493. | |
|
罗永清, 赵学勇, 王 涛, 等. 植物根系分解及其对生物和非生物因素的响应机理研究进展. 草业学报, 2017, 26 (2): 197- 207.
doi: 10.11686/cyxb2016136 |
|
|
Luo Y Q, Zhao X Y, Wang T, et al. Plant root decomposition and its responses to biotic and abiotic factors. Acta Prataculturae Sinica, 2017, 26 (2): 197- 207.
doi: 10.11686/cyxb2016136 |
|
| 欧 江, 刘 洋, 张 健, 等. 长江上游马尾松人工林采伐林窗对土壤磷含量的初期影响. 生态学杂志, 2014, 33 (3): 592- 601. | |
| Ou J, Liu Y, Zhang J, et al. Early influence of forest gap harvesting on soil phosphorus in Pinus massoniana plantation in a hilly area of the reaches of Yangtze River. Chinese Journal of Ecology, 2014, 33 (3): 592- 601. | |
| 沙 欢, 梁咏亮, 彭 妞, 等. 林窗大小对青海云杉林灌草层维管植物物种多样性的影响. 生态学杂志, 2024, 43 (8): 2382- 2394. | |
| Sha H, Liang Y L, Peng N, et al. Effects of forest gap size on species diversity of vascular plants in shrub and herb layers of Picea crassifolia forest in Helan Mountains. Chinese Journal of Ecology, 2024, 43 (8): 2382- 2394. | |
| 施 赟, 樊晓婧, 刘俊利, 等. 凋落物输入对刺槐林土壤线虫群落结构和代谢足迹的影响. 生态学报, 2024, 44 (24): 11276- 11285. | |
| Shi Y, Fan X J, Liu J L, et al. Effects of litter inputs on soil nematode community structure and metabolic footprint in a Robinia pseudoacacia forest. Acta Ecologica Sinica, 2024, 44 (24): 11276- 11285. | |
|
王雪琳, 刘金福, 何中声, 等. 格氏栲林窗土壤微生物群落功能多样性季节动态特征. 北京林业大学学报, 2020, 42 (7): 77- 88.
doi: 10.12171/j.1000-1522.20200052 |
|
|
Wang X L, Liu J F, He Z S, et al. Seasonal dynamics of functional diversity of soil microbial communities in Castanopsis kawakamii forest gaps. Journal of Beijing Forestry University, 2020, 42 (7): 77- 88.
doi: 10.12171/j.1000-1522.20200052 |
|
| 王 阳, 王雪峰, 张伟东. 土壤线虫群落对森林凋落物分解主场效应的作用. 生态学报, 2018, 38 (21): 7840- 7849. | |
| Wang Y, Wang X F, Zhang W D. Effect of soil nematode communities on the home-field advantage of forest litter decomposition. Acta Ecologica Sinica, 2018, 38 (21): 7840- 7849. | |
| 温璐宁, 张红光, 孙 涛, 等. 不同土壤深度落叶松细根分解及N动态变化. 生态学报, 2019, 39 (13): 4865- 4871. | |
| Wen L N, Zhang H G, Sun T, et al. Fine root decomposition and N dynamics of Larix gmelinii at different soil depths. Acta Ecologica Sinica, 2019, 39 (13): 4865- 4871. | |
| 肖建强, 张维维, 于立忠, 等. 辽东山区次生林林窗大小对土壤微生物量碳、氮、磷的影响. 生态学杂志, 2017, 36 (11): 3043- 3048. | |
| Xiao J Q, Zhang W Q, Yu L Z, et al. Effects of gap size on soil microbial biomass carbon, nitrogen and phosphorus in a secondary forest in a montane region of eastern Liaoning Province, China. Chinese Journal of Ecology, 2017, 36 (11): 3043- 3048. | |
| 谢雨彤, 唐骄萍, 李贤伟, 等. 低效柏木林窗改造对土壤动物多样性的影响. 应用与环境生物学报, 2016, 22 (5): 800- 807. | |
| Xie Y T, Tang J P, Li X W, et al. Effect of forest gaps of low efficiency Cupressus funebris on soil fauna diversity. Chinese Journal of Applied and Environmental Biology, 2016, 22 (5): 800- 807. | |
| 姚俊宇, 伍炫蓓, 孙千惠, 等. 林窗大小对川西马尾松人工林林下物种多样性和生物量的影响. 应用与环境生物学报, 2018, 24 (2): 214- 220. | |
| Yao J Y, Wu X B, Sun Q H, et al. Effects of canopy gap size on understory species diversity and biomass in a Pinus massoniana plantation in western Sichuan. Chinese Journal of Applied and Environmental Biology, 2018, 24 (2): 214- 220. | |
| 尹海锋. 2022. 马尾松人工林林窗大小对根系分解及土壤线虫、微生物群落的影响. 成都: 四川农业大学. | |
| Yin H F. 2022. Effects of gap sizes on root decomposition and soil nematodes and microbial communities in Pinus massoniana plantations. Chengdu: Sichuan Agricultural University. [in Chinese] | |
| 尹文英. 1998. 中国土壤动物检索图鉴. 北京: 科学出版社. | |
| Yin W Y. 1998. Pictorical keys to soil animals of China. Beijing: Science Press. | |
|
张晓珂, 梁文举, 李 琪. 我国土壤线虫生态学研究进展和展望. 生物多样性, 2018, 26 (10): 1060- 1073.
doi: 10.17520/biods.2018082 |
|
|
Zhang X K, Liang W J, Li Q. Recent progress and future directions of soil nematode ecology in China. Biodiversity Science, 2018, 26 (10): 1060- 1073.
doi: 10.17520/biods.2018082 |
|
| 赵学春, 来利明, 朱林海, 等. 三工河流域两种琵琶柴群落细根生物量、分解与周转. 生态学报, 2014, 34 (15): 4295- 4303. | |
| Zhao X C, Lai L M, Zhu L H, et al. Fine root biomass, decomposition and turnover of Reaumuria soongorica communities in the Sangong River basin. Acta Ecologica Sinica, 2014, 34 (15): 4295- 4303. | |
| Andrássy I. 2007,. Free-living nematodes of Hungary. Budapest: Hungarian Natural History Museum and Systematic Zoology Research Group of the Hungarian Academy of Sciences. | |
|
Bennett J A, Klironomos J. Mechanisms of plant-soil feedback: interactions among biotic and abiotic drivers. New Phytologist, 2019, 222 (1): 91- 96.
doi: 10.1111/nph.15603 |
|
| Bongers T. 1988. De nematoden van nederland. Schoorl: Pirola. | |
|
Cheng K, Yang H T, Tao S L, et al. Carbon storage through China’s planted forest expansion. Nature Communications, 2024, 15 (1): 4106.
doi: 10.1038/s41467-024-48546-0 |
|
|
De Ruiter P C, Van Veen J A, Moore J C, et al. Calculation of nitrogen mineralization in soil food webs. Plant and Soil, 1993, 157, 263- 273.
doi: 10.1007/BF00011055 |
|
| Ferris H, Griffiths B S, Porazinska D L, et al. Reflections on plant and soil nematode ecology: past, present and future. Journal of Nematology, 2012, 44, 115- 126. | |
| Goodey J B. 1963,. Soil and freshwater nematodes. London: Methuen. | |
| Hartmann M, Six J. Soil structure and microbiome functions in agroecosystems. Nature Reviews Earth & Environment, 2023, 4, 4- 18. | |
|
Hu J W, Hassi U, Gebremikael M T, et al. Root traits explain multitrophic interactions of belowground microfauna on soil nitrogen mineralization and plant productivity. Soil Biology and Biochemistry, 2023, 184, 109093.
doi: 10.1016/j.soilbio.2023.109093 |
|
|
Hua F Y, Bruijnzeel L A, Meli P, et al. The biodiversity and ecosystem service contributions and trade-offs of forest restoration approaches. Science, 2022, 376 (6595): 839- 844.
doi: 10.1126/science.abl4649 |
|
| Hunt H W, Coleman D C, Ingham E R, et al. The detrital food web in a shortgrass prairie. Biology and Fertility of Soils, 1987, 3, 57- 68. | |
|
Li G, Liu T, Whalen J K, et al. Nematodes: an overlooked tiny engineer of plant health. Trends in Plant Science, 2024, 29 (1): 52- 63.
doi: 10.1016/j.tplants.2023.06.022 |
|
| Lin N, Bartsch N, Heinrichs S, et al. Long-term effects of canopy opening and liming on leaf litter production, and on leaf litter and fine-root decomposition in a European beech (Fagus sylvatica L. ) forest. Forest Ecology & Management, 2015, 338, 183- 190. | |
| Lindedam J, Magid J, Poulsen P, et al. Tissue architecture and soil fertility controls on decomposer communities and decomposition of roots. Soil Biology & Biochemistry, 2009, 41 (6): 1040- 1049. | |
|
Pan J, See C R, Wang R, et al. Decoupling of nitrogen, phosphorus, and carbon release from fine and coarse roots during 7 years of decomposition. Journal of Ecology, 2024, 112 (2): 348- 359.
doi: 10.1111/1365-2745.14238 |
|
|
Pregitzer K S, Deforest J L, Burton A J, et al. Fine root architecture of nine north American trees. Ecological Monographs, 2002, 72 (2): 293- 309.
doi: 10.1890/0012-9615(2002)072[0293:FRAONN]2.0.CO;2 |
|
|
Sieriebriennikov B, Ferris H, De Goede R G M. NINJA: an automated calculation system for nematode-based biological monitoring. European Journal of Soil Biology, 2014, 61, 90- 93.
doi: 10.1016/j.ejsobi.2014.02.004 |
|
|
Tu C W, Lu Q Q, Zhang Y, et al. The soil nematode community indicates the soil ecological restoration of the Pinus massoniana plantation gap replanted with Cinnamomum longipaniculatum. Ecological Indicators, 2022, 136, 108678.
doi: 10.1016/j.ecolind.2022.108678 |
|
|
Tu C W, Zhang A J, Luo R Y, et al. Linking nematode trophic diversity to plantation identity and soil nutrient cycling. Geoderma, 2024, 448, 116945.
doi: 10.1016/j.geoderma.2024.116945 |
|
|
Wang J Q, Mao J Y, Tan Y Y, et al. Leaf phenology rather than mycorrhizal type regulates soil nematode abundance, but collectively affects nematode diversity in seven common subtropical tree species. Forest Ecosystems, 2023, 10, 100103.
doi: 10.1016/j.fecs.2023.100103 |
|
|
Wilschut R A, Geisen S. Nematodes as drivers of plant performance in natural systems. Trends in Plant Science, 2021, 26 (3): 237- 247.
doi: 10.1016/j.tplants.2020.10.006 |
|
|
Wu A M, Yin R, Xu Z F, et al. Forest gaps slow lignin and cellulose degradation of fir (Abies faxoniana) twig litter in an alpine forest. Geoderma, 2022, 424, 116010.
doi: 10.1016/j.geoderma.2022.116010 |
|
|
Yang X, Wang B R, Fakher A, et al. Contribution of roots to soil organic carbon: from growth to decomposition experiment. Catena, 2023, 231, 107317.
doi: 10.1016/j.catena.2023.107317 |
|
|
Yeates G W, Bongers T, de Goede R G M, et al. Feeding habits in soil nematode families and genera e an outline for soil ecologists. Journal of Nematology, 1993, 25, 315e331.
doi: 10.0000/PMID19279775 |
|
|
Yin H F, Su Y, Zeng J, et al. Forest gap regulates soil nematode community through understory plant diversity and soil pH. Geoderma, 2024, 451, 117086.
doi: 10.1016/j.geoderma.2024.117086 |
|
|
Yin L M, Zhang T S, Dijkstra F A, et al. Priming effect varies with root order: a case of Cunninghamia lanceolata. Soil Biology and Biochemistry, 2021, 160, 108354.
doi: 10.1016/j.soilbio.2021.108354 |
|
|
Zhang C Z, Wang J J, Ren Z H, et al. Root traits mediate functional guilds of soil nematodes in an ex-arable field. Soil Biology and Biochemistry, 2020, 151, 108038.
doi: 10.1016/j.soilbio.2020.108038 |
|
| Zhang C Z, Wright I J, Nielsen U N, et al. Linking nematodes and ecosystem function: a trait-based framework. Trends in Ecology & Evolution, 2024, 39 (7): 644- 653. | |
| Zhang J R, Hu Z K, Zhang C Z, et al. Roots with larger specific root length and C: N ratio sustain more complex rhizosphere nematode community. Plant and Soil, 2022, 477 (1): 693- 706. | |
|
Zhu B J, Whalen J K, Wu J T, et al. Soil food web structure coordinated by soil omnivores sustains soil multifunctionality in moderate vermicompost amended fields. Soil Biology and Biochemistry, 2024, 192, 109391.
doi: 10.1016/j.soilbio.2024.109391 |
|
|
Zhu T B, Yang C, Wang J, et al. Bacterivore nematodes stimulate soil gross N transformation rates depending on their species. Biology and Fertility of Soils, 2018, 54 (1): 107- 118.
doi: 10.1007/s00374-017-1244-7 |
| [1] | 于贵瑞,郭珂歆,郝天象. 新时期林业生态经济体系构建的初步探索[J]. 林业科学, 2025, 61(7): 8-22. |
| [2] | 胡建文,刘常富,勾蒙蒙,雷蕾,陈会玲,张佳佳,朱粟锋,斛如媛,肖文发. 马尾松人工林土壤有机碳及其组分对林龄的响应及驱动因素[J]. 林业科学, 2025, 61(6): 75-84. |
| [3] | 朱粟锋,勾蒙蒙,赵海平,刘常富,简尊吉,朱建华,肖文发. 基于CBM-CFS3模型的不同采伐情景下马尾松人工林生态系统碳动态[J]. 林业科学, 2025, 61(12): 24-33. |
| [4] | 黄栋才,郭鑫,王得祥,王韵淑,张欣,霍雪莹. 不同经营方法对秦岭华北落叶松林分生长和林下植被的影响[J]. 林业科学, 2024, 60(8): 57-66. |
| [5] | 叶子豪,罗国安,王增,姚任图,陆尤尤,吴家森,许在恩. 毛竹林下栽培食用菌对土壤性质及细菌群落特征的影响[J]. 林业科学, 2024, 60(8): 143-151. |
| [6] | 罗红,普布顿珠,刘宏伟,嘎玛群宗,吴建普,韦红莉. 西藏“一江两河”中部流域人工造林对土壤养分和肥力的影响[J]. 林业科学, 2024, 60(4): 71-78. |
| [7] | 马颢铜,金光泽,刘志理. 小兴安岭红松胸高断面积生长随树龄的变化规律及主要影响因素[J]. 林业科学, 2023, 59(7): 96-105. |
| [8] | 张燕林,黄彩凤,包明琢,周垂帆,何宗明. 生物炭及其老化对杉木林土壤养分含量和微生物群落组成影响的室内模拟[J]. 林业科学, 2021, 57(6): 169-179. |
| [9] | 李益,冯秀秀,赵发珠,郭垚鑫,王俊,任成杰. 秦岭太白山不同海拔锐齿栎林土壤微生物群落的变化特征[J]. 林业科学, 2021, 57(12): 22-31. |
| [10] | 白云星,周运超,张薰元,杜姣姣. 马尾松针阔混交人工林凋落物和土壤水源涵养能力[J]. 林业科学, 2021, 57(11): 24-36. |
| [11] | 申景昕,刘广路,范少辉,冯云,陈本学,吴昌明,刘希珍. 毛竹向撂荒地扩展过程中的土壤养分特征[J]. 林业科学, 2020, 56(10): 26-33. |
| [12] | 曹小玉, 李际平, 委霞. 中亚热带典型林分空间结构对土壤养分含量的影响[J]. 林业科学, 2020, 56(1): 20-28. |
| [13] | 叶钰倩, 赵家豪, 刘畅, 关庆伟. 间伐强度对马尾松人工林根际与非根际土壤中性糖特征的影响[J]. 林业科学, 2019, 55(8): 28-35. |
| [14] | 高尚坤, 肖文发, 曾立雄, 雷蕾, 黄志霖, 王松. 马尾松人工林干扰对土壤微生物群落结构的短期影响[J]. 林业科学, 2018, 54(12): 92-101. |
| [15] | 庞丽, 周志春, 张一, 丰忠平. 持续N沉降对低P下2年生马尾松苗木菌根共生影响[J]. 林业科学, 2016, 52(8): 138-145. |
| 阅读次数 | ||||||
|
全文 |
|
|||||
|
摘要 |
|
|||||