林业科学 ›› 2026, Vol. 62 ›› Issue (2): 40-52.doi: 10.11707/j.1001-7488.LYKX20250360
• 前沿热点 • 上一篇
收稿日期:2025-06-04
修回日期:2025-12-15
出版日期:2026-02-25
发布日期:2026-03-04
通讯作者:
张春雨
E-mail:zcy_0520@163.com
基金资助:
Hui Mao,Feifei Zhao,Jie Li,Chunyu Zhang*(
)
Received:2025-06-04
Revised:2025-12-15
Online:2026-02-25
Published:2026-03-04
Contact:
Chunyu Zhang
E-mail:zcy_0520@163.com
摘要:
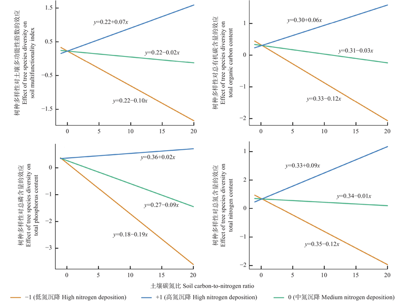
目的: 探究东北中温带森林树种多样性和环境因子对土壤多功能性的驱动机制,深化对自然条件下环境因子影响土壤多功能性的认识,明晰树种多样性?土壤多功能性关系的变化规律,为森林保护与管理提供科学依据。方法: 基于东北中温带森林279块样地数据,选取土壤总有机碳含量、总氮含量、总磷含量、有效氮含量和有效磷含量5个土壤功能指标,采用平均值法计算土壤多功能性指数,运用多元线性回归和结构方程模型探讨大气氮沉降通量、气候和地形等环境因子对树种多样性?土壤多功能性关系的影响及土壤多功能性的驱动机制,分析树种多样性与上述环境因子的交互效应。结果: 1) 树种多样性对土壤总有机碳含量、总磷含量、总氮含量、有效氮含量和土壤多功能性指数产生显著正效应(β=0.31、0.27、0.34、0.34、0.22,P<0.05),对土壤有效磷含量产生显著负效应(β=?0.16,P<0.05);氮沉降通量与土壤总有机碳含量、总磷含量、总氮含量、有效氮含量和土壤多功能性指数呈显著负相关(β=?0.14、?0.35、?0.17、?0.22、?0.18,P <0.05);土壤pH值与总磷含量、有效磷含量和土壤多功能性指数呈显著正相关(β=0.17、0.44、0.15,P<0.05);土壤碳氮比与总有机碳含量、总氮含量和土壤多功能性指数呈显著正相关(β=0.38、0.16、0.13,P<0.05);2) 树种多样性与部分土壤单功能指标和土壤多功能性指数的关系受氮沉降通量和土壤碳氮比交互作用的调控,表现为树种多样性对土壤总有机碳含量、总磷含量、总氮含量和土壤多功能性指数的正效应在中高氮沉降环境下随土壤碳氮比增加而减弱,在低氮沉降环境下则随土壤碳氮比增加而增强;3) 结构方程模型表明,氮沉降通量既可对土壤多功能性指数直接产生负效应(β=?0.19,P <0.01),也可通过土壤pH值和碳氮比间接产生负效应;气候因子主要通过树种多样性和土壤pH值间接影响土壤多功能性指数,地形因子则通过树种多样性、土壤pH值和碳氮比间接影响土壤多功能性指数;土壤pH值通过影响树种多样性间接调控土壤多功能性指数。结论: 树种多样性、氮沉降通量、土壤pH值和碳氮比是驱动土壤多功能性的关键直接因子,气候和地形因子通过调控生物与非生物因子产生间接影响,树种多样性对土壤多功能性的正效应受氮沉降通量与土壤碳氮比的调节。本研究结果强调大气氮沉降背景下应注重对土壤pH值和土壤碳氮比的调控,这有助于生物多样性的保护和森林生态系统功能的维持。
中图分类号:
毛慧,赵飞飞,李杰,张春雨. 东北中温带森林树种多样性和环境因子对土壤多功能性的影响[J]. 林业科学, 2026, 62(2): 40-52.
Hui Mao,Feifei Zhao,Jie Li,Chunyu Zhang. Impacts of Tree Species Diversity and Environmental Factors on Soil Multifunctionality in the Middle Temperate Forests of Northeast China[J]. Scientia Silvae Sinicae, 2026, 62(2): 40-52.
图2
东北中温带森林气候条件的主成分分析 MAT:年均气温 Annual mean temperature;TS:气温季节性变动系数 Temperature seasonal variation coefficient;MTD:最干季度平均温度 Mean temperature of the driest quarter;AP:年降水量 Annual precipitation;PS:降水量季节性变动系数 Precipitation seasonal variation coefficient;PD:最干季度降水量 Precipitation of the driest quarter."
表1
东北中温带森林土壤、树种多样性、氮沉降通量和地形描述统计"
| 统计量 Statistic | 最大值 Maximum | 最小值 Minimum | 平均值 Mean value | 标准差 Standard deviation | 标准误差 Standard error |
| 土壤多功能性指数Soil multifunctionality index | 2.45 | ?2.77 | 0.00 | 0.79 | 0.05 |
| 总有机碳含量Total organic carbon content (%) | 25.96 | 0.05 | 4.26 | 3.11 | 0.19 |
| 总氮含量Total nitrogen content (%) | 1.85 | 0.02 | 0.33 | 0.21 | 0.01 |
| 总磷含量Total phosphorus content/(g·kg?1) | 2.25 | 0.18 | 0.79 | 0.38 | 0.02 |
| 有效氮含量Available nitrogen content/(g·kg?1) | 2.47 | 0.06 | 0.45 | 0.28 | 0.02 |
| 有效磷含量Available phosphorus content/(mg·kg?1) | 85.84 | 1.99 | 13.77 | 14.44 | 0.87 |
| 土壤pH值Soil pH | 7.78 | 4.07 | 5.59 | 0.59 | 0.04 |
| 土壤碳氮比Soil carbon-to-nitrogen ratio | 18.32 | 2.39 | 12.75 | 1.77 | 0.11 |
| 树种多样性Tree species diversity | 20.00 | 1.00 | 7.39 | 4.23 | 0.25 |
| 氮沉降通量Nitrogen deposition flux/(kg·hm?2 a?1) | 59.82 | 17.70 | 28.26 | 4.70 | 0.28 |
| 海拔Elevation/m | 1 255.00 | 79.00 | 409.27 | 197.46 | 11.82 |
| 坡度Slope/(°) | 47.00 | 0.00 | 13.24 | 10.94 | 0.66 |
图3
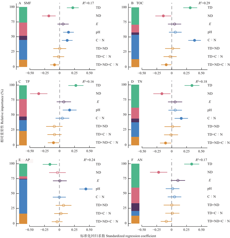
土壤多功能性指数(A)和单功能指标(B–F)的多元线性回归结果 模型显示变量及其交互作用对土壤多功能性指数和单功能指标的影响。每张图左侧展示各类解释变量的相对重要性,黄色、蓝色、紫色、粉色和绿色条分别代表交互作用类、土壤因子类、海拔、氮沉降通量和树种多样性;右侧为模型参数估计。图中“×”表示交互作用,圆圈和短线分别表示标准化回归系数及其95%置信区间,其中实心圆圈代表显著参数(P<0.05),空心圆圈代表不显著参数(P>0.05)。The models show the effects of variables and their interactions on soil multifunctionality index and individual functions indicators. On the left side of each graph is the relative importance of each type of explanatory variable. The yellow, blue, purple, pink, and green bars represent the categories of interaction terms, soil factors, elevation, nitrogen deposition flux, and tree species diversity, respectively. On the right side is the parameter estimates of the model. In the figure, the “×” indicates an interaction effect. The circles and short lines represent the standardized regression coefficients and 95% confidence intervals, respectively, and solid circles and hollow circles represent significant parameters (P<0.05) and non-significant parameters (P>0.05), respectively. SMF:土壤多功能性指数 Soil multifunctionality index;TOC:总有机碳含量 Total organic carbon content;TP:总磷含量 Total phosphorus content;TN:总氮含量 Total nitrogen content;AN:有效氮含量 Available nitrogen content;AP:有效磷含量 Available phosphorus content;TD:树种多样性 Tree species diversity;ND:氮沉降通量Nitrogen deposition flux;pH:土壤pH值 Soil pH;C∶N:土壤碳氮比 Soil carbon-to-nitrogen ratio;E:海拔 Elevation."
图5
土壤多功能性指数(A)和单功能指标(B–F)的结构方程模型结果 实线代表正效应,虚线代表负效应,箭头线附近的数值表示标准化路径系数。图B中路径“C∶N→TOC”和图D中路径“C∶N→TN”分别表示有机质质量(用C∶N表示)对土壤总有机碳含量和总氮含量的影响,而非表示数学上的计算关系。Solid arrows represent positive effects, while dashed arrows represent negative effects. The numbers near the arrow lines represent standardized path coefficients. The path “C∶N → TOC” in Figure B and “C∶N → TN” in Figure D represent the influence of organic matter quality (represented by C∶N ratio) on soil total organic carbon content and total nitrogen content, respectively, rather than denoting a mathematical computational relationship. *: P<0.05;**: P<0.01;***: P<0.001. CFI:比较拟合指数 Comparative fit index;SRMR:标准化均方根残差 Standardized root mean square residual;SMF:土壤多功能性指数 Soil multifunctionality index;TOC:总有机碳含量 Total organic carbon content;TP:总磷含量 Total phosphorus content;TN:总氮含量 Total nitrogen content;AN:有效氮含量 Available nitrogen content;AP:有效磷含量 Available phosphorus content;TD:树种多样性 Tree species diversity;ND:氮沉降通量 Nitrogen deposition flux;PC1,PC2:气候因子 Climate factor;pH:土壤pH值 Soil pH;C∶N:土壤碳氮比 Soil carbon-to-nitrogen ratio; S:坡度 Slope;E:海拔 Elevation."
|
付 伟, 武 慧, 赵爱花, 等. 陆地生态系统氮沉降的生态效应: 研究进展与展望. 植物生态学报, 2020, 44 (5): 475- 493.
doi: 10.17521/cjpe.2019.0163 |
|
|
Fu W, Wu H, Zhao A H, et al. Ecological impacts of nitrogen deposition on terrestrial ecosystems: research progresses and prospects. Chinese Journal of Plant Ecology, 2020, 44 (5): 475- 493.
doi: 10.17521/cjpe.2019.0163 |
|
| 贾彦龙, 王秋凤, 朱剑兴, 等. 1996—2015年中国大气无机氮湿沉降时空格局数据集. 中国科学数据, 2019, 4 (1): 8- 17. | |
| Jia Y L, Wang Q F, Zhu J X, et al. A spatial and temporal dataset of atmospheric inorganic nitrogen wet deposition in China (1996—2015). China Scientific Data, 2019, 4 (1): 8- 17. | |
| 贾彦龙, 王秋凤, 朱剑兴, 等. 2006—2015年中国大气无机氮干沉降时空格局数据集. 中国科学数据, 2021, 6 (2): 213- 221. | |
| Jia Y L, Wang Q F, Zhu J X, et al. A spatial and temporal dataset of atmospheric inorganic nitrogen dry deposition in China (2006—2015). China Scientific Data, 2021, 6 (2): 213- 221. | |
|
江康威, 张青青, 王亚菲, 等. 天山北坡中段草地生态系统多功能性对放牧的响应. 生态学报, 2024, 44 (8): 3440- 3456.
doi: 10.20103/j.stxb.202308111737 |
|
|
Jiang K W, Zhang Q Q, Wang Y F, et al. Response of grassland ecosystem multifunctionality to grazing in the middle part of the northern slope, Tianshan Mountain. Acta Ecologica Sinica, 2024, 44 (8): 3440- 3456.
doi: 10.20103/j.stxb.202308111737 |
|
|
李 杰, 郝珉辉, 范春雨, 等. 东北温带森林树种和功能多样性对生态系统多功能性的影响. 植物生态学报, 2023, 47 (11): 1507- 1522.
doi: 10.17521/cjpe.2023.0098 |
|
|
Li J, Hao M H, Fan C Y, et al. Effect of tree species and functional diversity on ecosystem multifunctionality in temperate forests of northeast China. Chinese Journal of Plant Ecology, 2023, 47 (11): 1507- 1522.
doi: 10.17521/cjpe.2023.0098 |
|
|
王 凯, 王 聪, 冯晓明, 等. 生物多样性与生态系统多功能性的关系研究进展. 生态学报, 2022, 42 (1): 11- 23.
doi: 10.5846/stxb202105141263 |
|
|
Wang K, Wang C, Feng X M, et al. Research progress on the relationship between biodiversity and ecosystem multifunctionality. Acta Ecologica Sinica, 2022, 42 (1): 11- 23.
doi: 10.5846/stxb202105141263 |
|
|
王 倩, 苏连波, 王克勤, 等. 滇中亚热带常绿阔叶林凋落物–土壤–微生物化学计量特征对氮沉降的响应. 西北农林科技大学学报(自然科学版), 2025, 53 (8): 1- 15.
doi: 10.13207/j.cnki.jnwafu.2025.08.009 |
|
|
Wang Q, Su L B, Wang K Q, et al. Response of litter-soil-microbial stoichiometric characteristics to nitrogen deposition of subtropical evergreen broad-leaved forest in Yunnan Province. Journal of Northwest A & F University(Natural Science Edition), 2025, 53 (8): 1- 15.
doi: 10.13207/j.cnki.jnwafu.2025.08.009 |
|
|
Ackerman D, Millet D B, Chen X. Global estimates of inorganic nitrogen deposition across four decades. Global Biogeochemical Cycles, 2019, 33 (1): 100- 107.
doi: 10.1029/2018GB005990 |
|
|
Angst Š, Angst G, Mueller K E, et al. Un(der)explored links between plant diversity and particulate and mineral-associated organic matter in soil. Nature Communications, 2025, 16 (1): 5548.
doi: 10.1038/s41467-025-60712-6 |
|
|
Bowman W D, Cleveland C C, Halada Ĺ, et al. Negative impact of nitrogen deposition on soil buffering capacity. Nature Geoscience, 2008, 1 (11): 767- 770.
doi: 10.1038/ngeo339 |
|
|
Byrnes J E K, Gamfeldt L, Isbell F, et al. Investigating the relationship between biodiversity and ecosystem multifunctionality: challenges and solutions. Methods in Ecology and Evolution, 2014, 5 (2): 111- 124.
doi: 10.1111/2041-210X.12143 |
|
|
Chen X, Chen H Y H, Searle E B, et al. Negative to positive shifts in diversity effects on soil nitrogen over time. Nature Sustainability, 2020, 4 (3): 225- 232.
doi: 10.1038/s41893-020-00641-y |
|
|
Delgado-Baquerizo M, Maestre F T, Reich P B, et al. Microbial diversity drives multifunctionality in terrestrial ecosystems. Nature Communications, 2016, 7, 10541.
doi: 10.1038/ncomms10541 |
|
|
Ding J Y, Eldridge D J. Climate and plants regulate the spatial variation in soil multifunctionality across a climatic gradient. Catena, 2021, 201, 105233.
doi: 10.1016/j.catena.2021.105233 |
|
|
Dong Z J, Li H B, Xiao J N, et al. Soil multifunctionality of paddy field is explained by soil pH rather than microbial diversity after 8-years of repeated applications of biochar and nitrogen fertilizer. Science of The Total Environment, 2022, 853, 158620.
doi: 10.1016/j.scitotenv.2022.158620 |
|
|
Elrys A S, Desoky E S M, Zhu Q, et al. Climate controls on nitrate dynamics and gross nitrogen cycling response to nitrogen deposition in global forest soils. Science of The Total Environment, 2024, 920, 171006.
doi: 10.1016/j.scitotenv.2024.171006 |
|
|
Fick S E, Hijmans R J. WorldClim 2: new 1‐km spatial resolution climate surfaces for global land areas. International Journal of Climatology, 2017, 37, 4302- 4315.
doi: 10.1002/joc.5086 |
|
|
Fox J, Monette G. Generalized collinearity diagnostics. Journal of the American Statistical Association, 1992, 87 (417): 178- 183.
doi: 10.1080/01621459.1992.10475190 |
|
|
Galloway J N, Townsend A R, Erisman J W, et al. Transformation of the nitrogen cycle: recent trends, questions, and potential solutions. Science, 2008, 320 (5878): 889- 892.
doi: 10.1126/science.1136674 |
|
|
Gamfeldt L, Snäll T, Bagchi R, et al. Higher levels of multiple ecosystem services are found in forests with more tree species. Nature Communications, 2013, 4 (1): 1340.
doi: 10.1038/ncomms2328 |
|
|
Garland G, Banerjee S, Edlinger A, et al. A closer look at the functions behind ecosystem multifunctionality: a review. Journal of Ecology, 2021, 109 (2): 600- 613.
doi: 10.1111/1365-2745.13511 |
|
|
Hu W G, Ran J Z, Dong L W, et al. Aridity-driven shift in biodiversity-soil multifunctionality relationships. Nature Communications, 2021, 12 (1): 5350.
doi: 10.1038/s41467-021-25641-0 |
|
|
Hu Y L, Deng Q, Kätterer T, et al. Depth-dependent responses of soil organic carbon under nitrogen deposition. Global Change Biology, 2024a, 30 (3): e17247.
doi: 10.1111/gcb.17247 |
|
|
Hu Z K, Delgado-Baquerizo M, Fanin N, et al. Nutrient-induced acidification modulates soil biodiversity-function relationships. Nature Communications, 2024b, 15 (1): 2858.
doi: 10.1038/s41467-024-47323-3 |
|
|
Isbell F, Calcagno V, Hector A, et al. High plant diversity is needed to maintain ecosystem services. Nature, 2011, 477 (7363): 199- U96.
doi: 10.1038/nature10282 |
|
|
Jiang M T, Huang W G, Ding J X, et al. Declining soil pH reduces microbial biomass-driven soil multifunctionality. Applied Soil Ecology, 2024, 203, 105623.
doi: 10.1016/j.apsoil.2024.105623 |
|
|
Kong D, Luo C, Liu H. Integrative remote sensing and machine learning approaches for SOC and TN spatial distribution: Unveiling C: N ratio in black soil region. Soil and Tillage Research, 2026, 255, 106809.
doi: 10.1016/j.still.2025.106809 |
|
|
Lai M, He S, Yu S, et al. Effects of experimental N addition on plant diversity in an old-growth temperate forest. Ecology and Evolution, 2018, 8 (11): 5900- 5911.
doi: 10.1002/ece3.4127 |
|
|
Le Bagousse-Pinguet Y, Soliveres S, Gross N, et al. Phylogenetic, functional, and taxonomic richness have both positive and negative effects on ecosystem multifunctionality. Proceedings of the National Academy of Sciences, 2019, 116 (17): 8419- 8424.
doi: 10.1073/pnas.1815727116 |
|
|
Li J, Hao M, Cheng Y, et al. Tree diversity across multiple scales and environmental heterogeneity promote ecosystem multifunctionality in a large temperate forest region. Global Ecology and Biogeography, 2024, 33, e13880.
doi: 10.1111/geb.13880 |
|
|
Lieberman H P, von Sperber C, Kallenbach C M. Soil phosphorus dynamics are an overlooked but dominant control on mineral-associated organic matter. Global Change Biology, 2025, 31 (7): e70307.
doi: 10.1111/gcb.70307 |
|
|
Lin S X, Fan C Y, Wang J, et al. Chronic anthropogenic disturbance mediates the biodiversity‐productivity relationship across stand ages in a large temperate forest region. Journal of Applied Ecology, 2024, 61 (3): 502- 512.
doi: 10.1111/1365-2664.14588 |
|
|
Lin S X, Qiao X T, Geng Y, et al. Environmental filtering drives biodiversity–spatial stability relationships in a large temperate forest region. Functional Ecology, 2023, 37 (6): 1688- 1702.
doi: 10.1111/1365-2435.14334 |
|
|
Liu X, Shi X, Zhang S. Soil abiotic properties and plant functional diversity co-regulate the impacts of nitrogen addition on ecosystem multifunctionality in an alpine meadow. Science of The Total Environment, 2021, 780, 146476.
doi: 10.1016/j.scitotenv.2021.146476 |
|
|
Liu Y, Trancoso R, Ma Q, et al. Carbon density in boreal forests responds non-linearly to temperature: an example from the Greater Khingan Mountains, northeast China. Agricultural and Forest Meteorology, 2023, 338, 109519.
doi: 10.1016/j.agrformet.2023.109519 |
|
|
Loreau M, De Mazancourt C. Biodiversity and ecosystem stability: a synthesis of underlying mechanisms. Ecology Letters, 2013, 16 (s1): 106- 115.
doi: 10.1111/ele.12073 |
|
|
Mack M C, Schuur E A G, Bret-Harte M S, et al. Ecosystem carbon storage in arctic tundra reduced by long-term nutrient fertilization. Nature, 2004, 431 (7007): 440- 443.
doi: 10.1038/nature02887 |
|
|
Maestre F T, Callaway R M, Valladares F, et al. Refining the stress‐gradient hypothesis for competition and facilitation in plant communities. Journal of Ecology, 2009, 97 (2): 199- 205.
doi: 10.1111/j.1365-2745.2008.01476.x |
|
|
Maestre F T, Quero J L, Gotelli N J, et al. Plant species richness and ecosystem multifunctionality in global drylands. Science, 2012, 335 (6065): 214- 218.
doi: 10.1126/science.1215442 |
|
| Manning P, Van Der Plas F, Soliveres S, et al. Redefining ecosystem multifunctionality. Nature Ecology & Evolution, 2018, 2 (3): 427- 436. | |
|
Marklein A R, Houlton B Z. Nitrogen inputs accelerate phosphorus cycling rates across a wide variety of terrestrial ecosystems. New Phytologist, 2012, 193 (3): 696- 704.
doi: 10.1111/j.1469-8137.2011.03967.x |
|
|
Mina M, Huber M O, Forrester D I, et al. Multiple factors modulate tree growth complementarity in central European mixed forests. Journal of Ecology, 2018, 106 (3): 1106- 1119.
doi: 10.1111/1365-2745.12846 |
|
| Moi D A, Lansac-Tôha F M, Romero G Q, et al. Human pressure drives biodiversity–multifunctionality relationships in large Neotropical wetlands. Nature Ecology & Evolution, 2022, 6 (9): 1279- 1289. | |
|
Poschenrieder C, Gunsé B, Corrales I, et al. A glance into aluminum toxicity and resistance in plants. Science of The Total Environment, 2008, 400 (1/3): 356- 368.
doi: 10.1016/j.scitotenv.2008.06.003 |
|
|
Qiao X T, Zhang N L, Zhang C Y, et al. Unravelling biodiversity–productivity relationships across a large temperate forest region. Functional Ecology, 2021, 35 (12): 2808- 2820.
doi: 10.1111/1365-2435.13922 |
|
| Radujkovic D, Verbruggen E, Seabloom E W, et al. 2021,. Soil properties as key predictors of global grassland production: have we overlooked micronutrients? Ecology Letters, 24(12): 2713–2725. | |
| Rosseel Y. Lavaan: an R package for structural equation modeling. Journal of Statistical Software, 2012, 48 (2): 1- 36. | |
|
Shen Y, Luo Y, Du L, et al. Nitrogen addition alleviates the negative effects of reduction in precipitation on soil multifunctionality in a typical steppe. Applied Soil Ecology, 2024, 204, 105727.
doi: 10.1016/j.apsoil.2024.105727 |
|
|
Song Z B, Zuo X A, Hu Y, et al. Plant functional traits predict soil multifunctionality under increased precipitation and nitrogen addition in a desert steppe. Catena, 2024, 247, 108486.
doi: 10.1016/j.catena.2024.108486 |
|
|
Spohn M, Bagchi S, Biederman L A, et al. The positive effect of plant diversity on soil carbon depends on climate. Nature Communications, 2023, 14 (1): 6624.
doi: 10.1038/s41467-023-42340-0 |
|
|
Tian D S, Niu S L. A global analysis of soil acidification caused by nitrogen addition. Environmental Research Letters, 2015, 10 (2): 024019.
doi: 10.1088/1748-9326/10/2/024019 |
|
|
Valencia E, Gross N, Quero J L, et al. Cascading effects from plants to soil microorganisms explain how plant species richness and simulated climate change affect soil multifunctionality. Global Change Biology, 2018, 24 (12): 5642- 5654.
doi: 10.1111/gcb.14440 |
|
|
Van Der Plas F. Biodiversity and ecosystem functioning in naturally assembled communities. Biological Reviews, 2019, 94 (4): 1220- 1245.
doi: 10.1111/brv.12499 |
|
|
Van Der Plas F, Manning P, Allan E, et al. Jack-of-all-trades effects drive biodiversity–ecosystem multifunctionality relationships in European forests. Nature Communications, 2016, 7 (1): 11109.
doi: 10.1038/ncomms11109 |
|
| Wagenmakers E J. 2003,. How many parameters does it take to fit an elephant? Journal of Mathematical Psychology, 47(5/6): 580–586. | |
| Wang C, Li X N, Hu Y X, et al. 2023,. Nitrogen addition weakens the biodiversity multifunctionality relationships across soil profiles in a grassland assemblage. Agriculture, Ecosystems & Environment, 342: 108241. | |
|
Wei C Z, Yu Q, Bai E, et al. Nitrogen deposition weakens plant–microbe interactions in grassland ecosystems. Global Change Biology, 2013, 19 (12): 3688- 3697.
doi: 10.1111/gcb.12348 |
|
|
Wei Y N, Jing X, Su F L, et al. Does pH matter for ecosystem multifunctionality? An empirical test in a semi‐arid grassland on the Loess Plateau. Functional Ecology, 2022, 36 (7): 1739- 1753.
doi: 10.1111/1365-2435.14057 |
|
|
Wen Z, Xu W, Li Q, et al. Changes of nitrogen deposition in China from 1980 to 2018. Environment International, 2020, 144, 106022.
doi: 10.1016/j.envint.2020.106022 |
|
|
Wu Z F, Zhang Z H, Wang J. Estimating the productive potential of five natural forest types in northeastern China. Forest Ecosystems, 2019, 6 (1): 42.
doi: 10.1186/s40663-019-0204-0 |
|
|
Xie H T, Wang G G, Yu M K. Ecosystem multifunctionality is highly related to the shelterbelt structure and plant species diversity in mixed shelterbelts of eastern China. Global Ecology and Conservation, 2018, 16, e00470.
doi: 10.1016/j.gecco.2018.e00470 |
|
|
Xu H W, Qu Q, Li G W, et al. Impact of nitrogen addition on plant-soil-enzyme C–N–P stoichiometry and microbial nutrient limitation. Soil Biology and Biochemistry, 2022, 170, 108714.
doi: 10.1016/j.soilbio.2022.108714 |
|
|
Yan P, Fernández‐Martínez M, Van Meerbeek K, et al. The essential role of biodiversity in the key axes of ecosystem function. Global Change Biology, 2023, 29 (16): 4569- 4585.
doi: 10.1111/gcb.16666 |
|
|
Yan Y Z, Zhang Q, Buyantuev A, et al. Plant functional β diversity is an important mediator of effects of aridity on soil multifunctionality. Science of The Total Environment, 2020, 726, 138529.
doi: 10.1016/j.scitotenv.2020.138529 |
|
|
Yang A, Zhu D, Zhang W X, et al. Canopy nitrogen deposition enhances soil ecosystem multifunctionality in a temperate forest. Global Change Biology, 2024, 30 (3): e17250.
doi: 10.1111/gcb.17250 |
|
|
Ye C C, Wang S, Wang Y, et al. Impacts of human pressure and climate on biodiversity-multifunctionality relationships on the Qinghai-Tibetan Plateau. Frontiers in Plant Science, 2023, 14, 1106035.
doi: 10.3389/fpls.2023.1106035 |
|
|
Yuan X B, Niu D C, Gherardi L A, et al. Linkages of stoichiometric imbalances to soil microbial respiration with increasing nitrogen addition: Evidence from a long-term grassland experiment. Soil Biology and Biochemistry, 2019, 138, 107580.
doi: 10.1016/j.soilbio.2019.107580 |
|
|
Yuan Z Q, Ali A, Ruiz‐Benito P, et al. Above- and below-ground biodiversity jointly regulate temperate forest multifunctionality along a local-scale environmental gradient. Journal of Ecology, 2020, 108 (5): 2012- 2024.
doi: 10.1111/1365-2745.13378 |
|
|
Zavaleta E S, Pasari J R, Hulvey K B, et al. Sustaining multiple ecosystem functions in grassland communities requires higher biodiversity. Proceedings of the National Academy of Sciences, 2010, 107 (4): 1443- 1446.
doi: 10.1073/pnas.0906829107 |
|
|
Zhang C F, Ndungu C N, Feng L, et al. Plant diversity is more important than soil microbial diversity in explaining soil multifunctionality in Qinghai-Tibetan plateau wetlands. Journal of Environmental Management, 2024, 365, 121509.
doi: 10.1016/j.jenvman.2024.121509 |
|
|
Zhang C Y, He F L, Zhang Z H, et al. Latitudinal gradients and ecological drivers of β-diversity vary across spatial scales in a temperate forest region. Global Ecology and Biogeography, 2020, 29 (7): 1257- 1264.
doi: 10.1111/geb.13101 |
|
|
Zhao F F, Hao M H, Yue Q M, et al. Community diversity and composition affect ecosystem multifunctionality across environmental gradients in boreal and temperate forests. Ecological Indicators, 2024, 159, 111692.
doi: 10.1016/j.ecolind.2024.111692 |
| [1] | 刘世荣,陈远其,聂秀青,明安刚,王晖. 树种多样性对森林生态系统多功能性和韧性的影响[J]. 林业科学, 2026, 62(1): 1-18. |
| [2] | 王凯波,金光泽,刘志理. 温带阔叶树种不同生活史阶段的资源获取能力和防御能力关系的变化[J]. 林业科学, 2025, 61(8): 219-230. |
| [3] | 贺舒蕾,陈艳梅,刘倩愿,郭文芳. 太行山东麓酸枣果实表型性状特征及主要驱动因子[J]. 林业科学, 2025, 61(2): 101-112. |
| [4] | 马茹月,王瑞福,李鑫豪,高永龙,苏同,魏晓帅,田赟,刘鹏,查天山. 北京喇叭沟门天然落叶阔叶林生态系统净碳交换及其对主要环境因子的响应[J]. 林业科学, 2025, 61(10): 74-86. |
| [5] | 王巍樾,万艳芳,王冬梅,于澎涛,王彦辉,白雨诗. 六盘山华北落叶松优势木径向生长及主要环境因子的坡向差异[J]. 林业科学, 2025, 61(1): 26-36. |
| [6] | 葛婉婷,刘莹,赵智佳,张珅,李洁,杨桂娟,曲冠证,王军辉,麻文俊. 不同气候情景下黄心梓木在我国的潜在适生区预测[J]. 林业科学, 2024, 60(11): 63-74. |
| [7] | 张欣, 张秋良, 孙守家, 王冰. 兴安落叶松生态系统CO2浓度及其δ13C动态对环境因子的响应[J]. 林业科学, 2023, 59(9): 55-65. |
| [8] | 王宏星,孙晓梅,陈东升,吴春燕,张守攻. 适度间伐对日本落叶松人工林生物多样性和土壤多功能性影响[J]. 林业科学, 2023, 59(6): 1-11. |
| [9] | 张淑宁,陈俊兴,敖敦,红梅,张雅茜,包福海,王淋,乌云塔娜,白玉娥,包文泉. 气候变化背景下我国长柄扁桃潜在适生区预测[J]. 林业科学, 2023, 59(12): 25-36. |
| [10] | 王东升,赵伟,程蓓蓓,张吉军. 基于MaxEnt模型的中国山楂潜在适生区[J]. 林业科学, 2022, 58(7): 43-50. |
| [11] | 王立轩,杨光,高佳琪,郑鑫,李兆国,瓮岳太,邸雪颖,于宏洲. 兴安落叶松林火烧迹地地表枯落物燃烧性变化[J]. 林业科学, 2022, 58(6): 110-121. |
| [12] | 赵鹏宇,白雪,燕平梅,赵晓东,武晓英,柴宝峰. 华北落叶松林土壤细菌群落结构与表型的环境异质性响应[J]. 林业科学, 2021, 57(7): 101-110. |
| [13] | 白蕤,李宁,刘少军,陈小敏,邹海平,吕润. 未来气候变化背景下橡胶树白根病在中国的风险分析[J]. 林业科学, 2021, 57(6): 37-45. |
| [14] | 李文博,吕振刚,黄选瑞,张志东. 河北省北部华北落叶松人工林立地指数空间分布预测[J]. 林业科学, 2021, 57(3): 79-89. |
| [15] | 董雪, 李永华, 辛智鸣, 段瑞兵, 姚斌, 包岩峰, 张正国, 刘源. 河西走廊西段荒漠戈壁灌木群落物种多样性的海拔格局[J]. 林业科学, 2021, 57(2): 168-178. |
| 阅读次数 | ||||||
|
全文 |
|
|||||
|
摘要 |
|
|||||