林业科学 ›› 2026, Vol. 62 ›› Issue (4): 55-67.doi: 10.11707/j.1001-7488.LYKX20250710
收稿日期:2025-11-25
出版日期:2026-04-15
发布日期:2026-04-11
通讯作者:
雷相东
E-mail:xdlei@ifirit.ac.cn
基金资助:
Wenqiang Gao1,Xiangdong Lei1,*(
),Xiao He1,Yutang Li2
Received:2025-11-25
Online:2026-04-15
Published:2026-04-11
Contact:
Xiangdong Lei
E-mail:xdlei@ifirit.ac.cn
摘要:
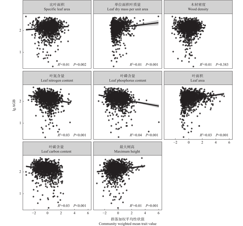
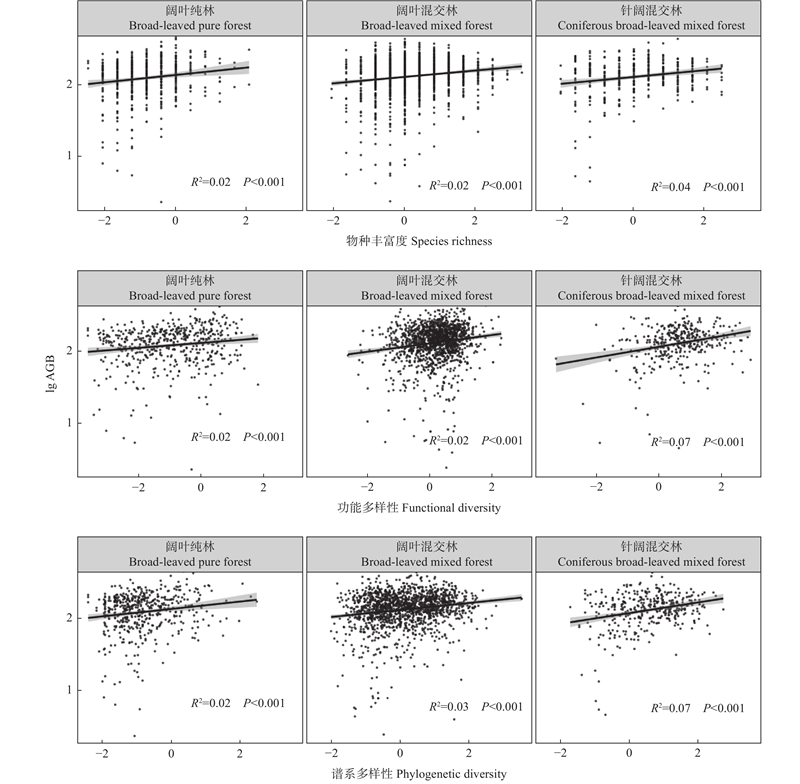
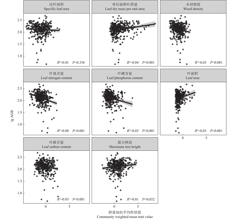
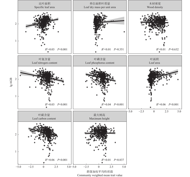
目的: 分析东北温带森林树种多样性与地上生物量的关系随森林类型和发育阶段的变化规律,揭示生态位互补效应和质量比效应在其中的作用机制,为通过优化树种组成提升东北林区次生林质量的经营实践提供科学依据。方法: 基于吉林省国家森林资源连续清查样地数据,采用线性混合效应模型,在控制气候、土壤和林分因子的基础上,分析不同森林类型(阔叶纯林、阔叶混交林和针阔混交林)和发育阶段下树种多维多样性(物种丰富度、功能多样性、谱系多样性和群落加权平均性状值)对地上生物量的影响。应用广义可加模型,揭示多样性效应随森林发育阶段的动态变化,并借助结构方程模型,解析环境因子、森林类型、发育阶段和林分密度对树种多样性与地上生物量关系的直接和间接影响。结果: 1) 在3类温带森林中,物种丰富度、功能多样性和谱系多样性均对地上生物量具有显著正效应,群落加权平均性状值则表现出显著的正向或负向影响,表明生态位互补效应和质量比效应在温带森林地上生物量积累过程中共同发挥作用。2) 树种多样性对地上生物量的影响随森林发育阶段变化呈现显著的森林类型依赖性。3类森林的多样性(物种丰富度、功能多样性、谱系多样性)效应均从幼龄林到成熟林阶段表现为递减趋势;阔叶纯林和针阔混交林的群落加权平均性状值效应(质量比效应)均在幼龄林、成熟林和过熟林较高,阔叶混交林的群落加权平均性状值效应随森林发育阶段变化无明显趋势。阔叶混交林和针阔混交林在成熟林和过熟林阶段的群落加权平均性状值效应均大于功能多样性效应。3) 结构方程模型分析表明,环境因素(气候、土壤)、林分特征、森林类型和发育阶段共同调控森林生物多样性和地上生物量,其中森林类型和发育阶段通过调控林分密度和生物多样性间接影响地上生物量。结论: 在东北温带森林中,物种丰富度、功能多样性、谱系多样性和群落加权平均性状值均对地上生物量具有显著影响,但其影响强度因森林类型和发育阶段而异。在森林管理和生态恢复实践中,应依据具体森林类型和发育阶段分类实施精准管理:幼龄林阶段,除增加树种多样性外,还应着重培育资源获取能力强的树种;成熟林阶段,则应注重发展和保留具有长寿、保守性状的优势树种,注重目标树培育。
中图分类号:
高文强,雷相东,何潇,李玉堂. 东北温带森林类型和发育阶段的树种多样性−地上生物量关系分异性[J]. 林业科学, 2026, 62(4): 55-67.
Wenqiang Gao,Xiangdong Lei,Xiao He,Yutang Li. Variability in Tree Species Diversity-Aboveground Biomass Relationship in Temperate Forest Types and Developmental Stages in Northeast China[J]. Scientia Silvae Sinicae, 2026, 62(4): 55-67.
表1
不同森林类型5个发育阶段的林分平均年龄统计量①"
| 发育阶段 Developmental stage | 样地数量 Number of plots | 林分平均年龄 Stand average age/a | ||
| 阔叶纯林 Broad-leaved pure forest | 阔叶混交林 Broad-leaved mixed forest | 针阔混交林 Coniferous and broad-leaved mixed forest | ||
| 幼龄林 Young forest | 220 | 23 (5~30) | 25 (4~30) | 23 (5~30) |
| 中龄林 Middle-aged forest | 459 | 42 (6~50) | 42 (6~50) | 42 (7~50) |
| 近熟林 Near-mature forest | 843 | 62 (6~70) | 61 (6~70) | 60 (5~70) |
| 成熟林 Mature forest | 525 | 81 (9~100) | 81 (8~100) | 85 (8~100) |
| 过熟林 Over-mature forest | 345 | 126 (16~168) | 125 (16~203) | 134 (22~202) |
表2
树种多样性计算公式①"
| 指标Index | 计算公式Formula |
| 物种丰富度Species richness (S) | S=Ns |
| 功能多样性Functional diversity (FD) | |
| 群落加权平均性状值 Community weighted mean trait values (CWM) | |
| 谱系多样性Phylogenetic diversity (PD) |
表3
树种功能性状统计"
| 树种功能性状 Tree species functional traits | 单位 Units | 平均值 ± 标准差 Mean value ± standard deviation |
| 最大树高Maximum tree height | m | 23.824±11.061 |
| 叶面积Leaf area | m2 | 0.003±0.005 |
| 比叶面积Specific leaf area | m2·kg?1 | 19.904±10.168 |
| 单位面积叶质量 Leaf dry mass per unit area | kg·m?2 | 0.084±0.069 |
| 叶碳含量 Leaf carbon content | g·kg?1 | 422.288±84.501 |
| 叶氮含量Leaf nitrogen content | g·kg?1 | 18.914±7.422 |
| 叶磷含量Leaf phosphorus content | g·kg?1 | 1.786±0.753 |
| 木材密度Wood density | g·cm?3 | 0.512±0.121 |
| 国家林业和草原局. 2020. 森林资源连续清查技术规程(GB/T 38590—2020). 北京: 中国标准出版社. | |
| National Forestry and Grassland Administration. 2020. Technical regulations for continuous forest inventory (GB/T 38590—2020). Beijing: China Standard Press. [in Chinese] | |
| 欧阳志云, 王如松, 赵景柱. 生态系统服务功能及其生态经济价值评价. 应用生态学报, 1999, 10 (5): 635- 640. | |
| Ouyang Z Y, Wang R S, Zhao J Z. Ecosystem services and their economic valuation. Chinese Journal of Applied Ecology, 1999, 10 (5): 635- 640. | |
| 吴初平, 韩文娟, 江 波, 等. 浙江定海次生林内物种丰富度与生物量和生产力关系的环境依赖性. 生物多样性, 2018, 26 (6): 545- 553. | |
| Wu C P, Han W J, Jiang B, et al. Relationships between species richness and biomass/productivity depend on environmental factors in secondary forests of Dinghai, Zhejiang Province. Biodiversity Science, 2018, 26 (6): 545- 553. | |
| 吴兆飞, 张雨秋, 张忠辉, 等. 东北温带森林林分结构与生产力关系研究. 北京林业大学学报, 2019, 41 (5): 48- 55. | |
| Wu Z F, Zhang Y Q, Zhang Z H, et al. Study on the relationship between forest structure and productivity of temperate forests in northeast China. Journal of Beijing Forestry University, 2019, 41 (5): 48- 55. | |
|
袁鹤洋, 郝珉辉, 何怀江, 等. 长白山物种丰富度与物种组成对森林生产力的影响及其随演替的变化. 植物生态学报, 2024, 48 (12): 1602- 1611.
doi: 10.17521/cjpe.2024.0060 |
|
|
Yuan H Y, Hao M H, He H J, et al. Impact of species richness and composition on productivity and its changes with forest succession in Changbai Mountains, China. Chinese Journal of Plant Ecology, 2024, 48 (12): 1602- 1611.
doi: 10.17521/cjpe.2024.0060 |
|
| 徐 炜, 马志远, 井 新, 等. 生物多样性与生态系统多功能性: 进展与展望. 生物多样性, 2016, 24 (1): 55- 71. | |
| Xu W, Ma Z Y, Jing X, et al. Biodiversity and ecosystem multifunctionality: advances and perspectives. Biodiversity Science, 2016, 24 (1): 55- 71. | |
| 中国植物志编辑委员会. 2004. 中国植物志. 北京: 科学出版社. | |
| Editorial Committee of Flora of China. 2024. Flora reipublicae popularis sinicae. Beijing: Science Press. [in Chinese] | |
|
Ali A, Lin S L, He J K, et al. Climate and soils determine aboveground biomass indirectly via species diversity and stand structural complexity in tropical forests. Forest Ecology and Management, 2019, 432, 823- 831.
doi: 10.1016/j.foreco.2018.10.024 |
|
|
Ammer C. Diversity and forest productivity in a changing climate. The New Phytologist, 2019, 221 (1): 50- 66.
doi: 10.1111/nph.15263 |
|
|
Balvanera P, Pfisterer A B, Buchmann N, et al. Quantifying the evidence for biodiversity effects on ecosystem functioning and services. Ecology Letters, 2006, 9 (10): 1146- 1156.
doi: 10.1111/j.1461-0248.2006.00963.x |
|
|
Bongers F J, Schmid B, Bruelheide H, et al. Functional diversity effects on productivity increase with age in a forest biodiversity experiment. Nature Ecology & Evolution, 2021, 5 (12): 1594- 1603.
doi: 10.1038/s41559-021-01564-3 |
|
|
Bordin K M, Esquivel-Muelbert A, Klipel J, et al. No relationship between biodiversity and forest carbon sink across the subtropical Brazilian Atlantic Forest. Perspectives in Ecology and Conservation, 2023, 21 (2): 112- 120.
doi: 10.1016/j.pecon.2023.02.003 |
|
|
Cai H Y, Di X Y, Chang S X, et al. Stand density and species richness affect carbon storage and net primary productivity in early and late successional temperate forests differently. Ecological Research, 2016, 31 (4): 525- 533.
doi: 10.1007/s11284-016-1361-z |
|
|
Cardinale B J, Gross K, Fritschie K, et al. Biodiversity simultaneously enhances the production and stability of community biomass, but the effects are independent. Ecology, 2013, 94 (8): 1697- 1707.
doi: 10.1890/12-1334.1 |
|
|
Chapin III F S, Zavaleta E S, Eviner V T, et al. Consequences of changing biodiversity. Nature, 2000, 405 (6783): 234- 242.
doi: 10.1038/35012241 |
|
|
Chave J, Coomes D, Jansen S, et al. Towards a worldwide wood economics spectrum. Ecology Letters, 2009, 12 (4): 351- 366.
doi: 10.1111/j.1461-0248.2009.01285.x |
|
| Chen S P, Wang W T, Xu W T, et al. Plant diversity enhances productivity and soil carbon storage. Proceedings of the National Academy of Sciences of the United States of America, 2018, 115 (16): 4027- 4032. | |
|
Chiang J M, Spasojevic M J, Muller-Landau H C, et al. Functional composition drives ecosystem function through multiple mechanisms in a broadleaved subtropical forest. Oecologia, 2016, 182 (3): 829- 840.
doi: 10.1007/s00442-016-3717-z |
|
|
Dı́az S, Cabido M. Vive la différence: plant functional diversity matters to ecosystem processes. Trends in Ecology & Evolution, 2001, 16 (11): 646- 655.
doi: 10.1016/S0169-5347(01)02283-2 |
|
|
Faith D P. Conservation evaluation and phylogenetic diversity. Biological Conservation, 1992, 61 (1): 1- 10.
doi: 10.1016/0006-3207(92)91201-3 |
|
|
Feng Y H, Schmid B, Loreau M, et al. Multispecies forest plantations outyield monocultures across a broad range of conditions. Science, 2022, 376 (6595): 865- 868.
doi: 10.1126/science.abm6363 |
|
|
Finegan B, Peña-Claros M, de Oliveira A, et al. Does functional trait diversity predict above-ground biomass and productivity of tropical forests? Testing three alternative hypotheses. Journal of Ecology, 2015, 103 (1): 191- 201.
doi: 10.1111/1365-2745.12346 |
|
|
Forrester D I. The spatial and temporal dynamics of species interactions in mixed-species forests: from pattern to process. Forest Ecology and Management, 2014, 312, 282- 292.
doi: 10.1016/j.foreco.2013.10.003 |
|
|
Forrester D I, Ammer C, Annighöfer P J, et al. Effects of crown architecture and stand structure on light absorption in mixed and monospecific Fagus sylvatica and Pinus sylvestris forests along a productivity and climate gradient through Europe. Journal of Ecology, 2018, 106 (2): 746- 760.
doi: 10.1111/1365-2745.12803 |
|
|
Fotis A T, Murphy S J, Ricart R D, et al. Above-ground biomass is driven by mass-ratio effects and stand structural attributes in a temperate deciduous forest. Journal of Ecology, 2018, 106 (2): 561- 570.
doi: 10.1111/1365-2745.12847 |
|
|
Gao W Q, Lei X D, Gao D L, et al. Mass-ratio and complementarity effects simultaneously drive aboveground biomass in temperate Quercus forests through stand structure. Ecology and Evolution, 2021, 11 (23): 16806- 16816.
doi: 10.1002/ece3.8312 |
|
|
Gao W Q, Liang M W, Xiang W H, et al. Development stage-dependent effects of biodiversity on aboveground biomass of temperate forests. Ecography, 2025, 2025 (4): e07414.
doi: 10.1111/ecog.07414 |
|
|
Garnier E, Cortez J, Billès G, et al. Plant functional markers capture ecosystem properties during secondary succession. Ecology, 2004, 85 (9): 2630- 2637.
doi: 10.1890/03-0799 |
|
| Gonzalez A, Germain R M, Srivastava D S, et al. Scaling-up biodiversity-ecosystem functioning research. Ecology Letters, 2020, 23 (4): 757- 776. | |
|
Guerrero-Ramírez N R, Craven D, Reich P B, et al. Diversity-dependent temporal divergence of ecosystem functioning in experimental ecosystems. Nature Ecology & Evolution, 2017, 1 (11): 1639- 1642.
doi: 10.1038/s41559-017-0325-1 |
|
|
Hao M H, Messier C, Geng Y, et al. Functional traits influence biomass and productivity through multiple mechanisms in a temperate secondary forest. European Journal of Forest Research, 2020, 139 (6): 959- 968.
doi: 10.1007/s10342-020-01298-0 |
|
|
Hooper D U, Adair E C, Cardinale B J, et al. A global synthesis reveals biodiversity loss as a major driver of ecosystem change. Nature, 2012, 486 (7401): 105- 108.
doi: 10.1038/nature11118 |
|
|
Huang Y Y, Chen Y X, Castro-Izaguirre N, et al. Impacts of species richness on productivity in a large-scale subtropical forest experiment. Science, 2018, 362 (6410): 80- 83.
doi: 10.1126/science.aat6405 |
|
|
Jucker T, Avăcăriţei D, Bărnoaiea I, et al. Climate modulates the effects of tree diversity on forest productivity. Journal of Ecology, 2016, 104 (2): 388- 398.
doi: 10.1111/1365-2745.12522 |
|
|
Kröber W, Zhang S R, Ehmig M, et al. Linking xylem hydraulic conductivity and vulnerability to the leaf economics spectrum: a cross-species study of 39 evergreen and deciduous broadleaved subtropical tree species. PLoS One, 2014, 9 (11): e109211.
doi: 10.1371/journal.pone.0109211 |
|
|
Laganière J, Cavard X, Brassard B W, et al. The influence of boreal tree species mixtures on ecosystem carbon storage and fluxes. Forest Ecology and Management, 2015, 354, 119- 129.
doi: 10.1016/j.foreco.2015.06.029 |
|
|
Laliberté E, Legendre P. A distance-based framework for measuring functional diversity from multiple traits. Ecology, 2010, 91 (1): 299- 305.
doi: 10.1890/08-2244.1 |
|
|
Lasky J R, Uriarte M, Boukili V K, et al. The relationship between tree biodiversity and biomass dynamics changes with tropical forest succession. Ecology Letters, 2014, 17 (9): 1158- 1167.
doi: 10.1111/ele.12322 |
|
|
Lei X D, Wang W F, Peng C H. Relationships between stand growth and structural diversity in spruce-dominated forests in New Brunswick, Canada. Canadian Journal of Forest Research, 2009, 39 (10): 1835- 1847.
doi: 10.1139/X09-089 |
|
|
Liang J J, Crowther T W, Picard N, et al. Positive biodiversity-productivity relationship predominant in global forests. Science, 2016, 354 (6309): 8957.
doi: 10.1126/science.aaf8957 |
|
| Lohbeck M, Poorter L, Paz H, et al. 2012. Functional diversity changes during tropical forest succession. Perspectives in Plant Ecology, Evolution and Systematics, 14(2): 89−96. | |
| Loreau M. 1998. Biodiversity and ecosystem functioning: a mechanistic model. Proceedings of the National Academy of Sciences of the United States of America, 95: 5632–5636. | |
|
Luo Y H, Cadotte M W, Burgess K S, et al. Greater than the sum of the parts: how the species composition in different forest strata influence ecosystem function. Ecology Letters, 2019, 22 (9): 1449- 1461.
doi: 10.1111/ele.13330 |
|
|
Mahaut L, Fort F, Violle C, et al. Multiple facets of diversity effects on plant productivity: species richness, functional diversity, species identity and intraspecific competition. Functional Ecology, 2020, 34 (1): 287- 298.
doi: 10.1111/1365-2435.13473 |
|
| Niu C Y, Meinzer F C, Hao G Y. Divergence in strategies for coping with winter embolism among co-occurring temperate tree species. Functional Ecology, 2017, 31 (8): 1550- 1560. | |
| Norden N, Letcher S G, Boukili V, et al. Demographic drivers of successional changes in phylogenetic structure across life-history stages in plant communities. Ecology, 2012, 93 (8): 70- 82. | |
|
Pan Y D, Birdsey R A, Fang J Y, et al. A large and persistent carbon sink in the world’s forests. Science, 2011, 333 (6045): 988- 993.
doi: 10.1126/science.1201609 |
|
|
Paquette A, Messier C. The effect of biodiversity on tree productivity: from temperate to boreal forests. Global Ecology and Biogeography, 2011, 20 (1): 170- 180.
doi: 10.1111/j.1466-8238.2010.00592.x |
|
|
Poorter H, Niinemets Ü, Poorter L, et al. Causes and consequences of variation in leaf mass per area (LMA): a meta-analysis. New Phytologist, 2009, 182 (3): 565- 588.
doi: 10.1111/j.1469-8137.2009.02830.x |
|
|
Poorter L, Bongers F, Sterck F J, et al. Beyond the regeneration phase: differentiation of height-light trajectories among tropical tree species. Journal of Ecology, 2005, 93 (2): 256- 267.
doi: 10.1111/j.1365-2745.2004.00956.x |
|
|
Poorter L, van der Sande M T, Arets E J M M, et al. Biodiversity and climate determine the functioning of Neotropical forests. Global Ecology and Biogeography, 2017, 26 (12): 1423- 1434.
doi: 10.1111/geb.12668 |
|
|
Ruiz-Benito P, Ratcliffe S, Jump A S, et al. Functional diversity underlies demographic responses to environmental variation in European forests. Global Ecology and Biogeography, 2017, 26 (2): 128- 141.
doi: 10.1111/geb.12515 |
|
|
Satdichanh M, Ma H X, Yan K, et al. Phylogenetic diversity correlated with above-ground biomass production during forest succession: Evidence from tropical forests in Southeast Asia. Journal of Ecology, 2019, 107 (3): 1419- 1432.
doi: 10.1111/1365-2745.13112 |
|
|
Seidel D, Leuschner C, Scherber C, et al. The relationship between tree species richness, canopy space exploration and productivity in a temperate broad-leaf mixed forest. Forest Ecology and Management, 2013, 310, 366- 374.
doi: 10.1016/j.foreco.2013.08.058 |
|
|
Tatsumi S. Tree diversity effects on forest productivity increase through time because of spatial partitioning. Forest Ecosystems, 2020, 7 (1): 24.
doi: 10.1186/s40663-020-00238-z |
|
|
Taylor A R, Gao B L, Chen H Y H. The effect of species diversity on tree growth varies during forest succession in the boreal forest of central Canada. Forest Ecology and Management, 2020, 455, 117641.
doi: 10.1016/j.foreco.2019.117641 |
|
| Tilman D, Lehman C L, Thomson K T. Plant diversity and ecosystem productivity: theoretical considerations. Proceedings of the National Academy of Sciences of the United States of America, 1997, 94 (5): 1857- 1861. | |
|
van der Plas F. Biodiversity and ecosystem functioning in naturally assembled communities. Biological Reviews, 2019, 94 (4): 1220- 1245.
doi: 10.1111/brv.12499 |
|
|
Wang H, Harrison S P, Prentice I C, et al. The China plant trait database: toward a comprehensive regional compilation of functional traits for land plants. Ecology, 2018, 99 (2): 500.
doi: 10.1002/ecy.2091 |
|
|
Watson J E M, Evans T, Venter O, et al. The exceptional value of intact forest ecosystems. Nature Ecology & Evolution, 2018, 2 (4): 599- 610.
doi: 10.1038/s41559-018-0490-x |
|
| Webb C O, Ackerly D D, Kembel S W. 2008. Phylocom: software for the analysis of phylogenetic community structure and trait evolution. Bioinformatics, 24: 2098−2100. | |
|
Xu W, Luo W X, Zhang C Y, et al. Biodiversity-ecosystem functioning relationships of overstorey versus understorey trees in an old-growth temperate forest. Annals of Forest Science, 2019, 76 (3): 64.
doi: 10.1007/s13595-019-0845-8 |
|
|
Yuan Z Q, Wang S P, Ali A, et al. Aboveground carbon storage is driven by functional trait composition and stand structural attributes rather than biodiversity in temperate mixed forests recovering from disturbances. Annals of Forest Science, 2018, 75 (3): 67.
doi: 10.1007/s13595-018-0745-3 |
|
|
Yuan Z Q, Wang S P, Gazol A, et al. Multiple metrics of diversity have different effects on temperate forest functioning over succession. Oecologia, 2016, 182 (4): 1175- 1185.
doi: 10.1007/s00442-016-3737-8 |
|
|
Zhang Y, Chen H Y H, Reich P B. Forest productivity increases with evenness, species richness and trait variation: a global meta-analysis. Journal of Ecology, 2012, 100 (3): 742- 749.
doi: 10.1111/j.1365-2745.2011.01944.x |
| [1] | 邓敏,何怀江,吴相菊,张新娜,张春雨,赵秀海. 东北温带森林幼苗生长受生物量分配权衡和性状影响[J]. 林业科学, 2026, 62(3): 48-60. |
| [2] | 周晟,蒋馥根,陈帅,龙依,王彬彬,宋子戈,孙华. 联合星−空激光雷达和Sentinel-2数据的森林地上生物量估测方法[J]. 林业科学, 2026, 62(3): 74-87. |
| [3] | 杜月伟,萨日娜,金海炎,胡艳波,张弓乔,刘文桢,赵中华. 基于林分状态特征的次生林发育阶段划分方法——以锐齿槲栎次生林为例[J]. 林业科学, 2026, 62(3): 111-121. |
| [4] | 毛慧,赵飞飞,李杰,张春雨. 东北中温带森林树种多样性和环境因子对土壤多功能性的影响[J]. 林业科学, 2026, 62(2): 40-52. |
| [5] | 刘世荣,陈远其,聂秀青,明安刚,王晖. 树种多样性对森林生态系统多功能性和韧性的影响[J]. 林业科学, 2026, 62(1): 1-18. |
| [6] | 黄柳源,郑炎,程欣杰,曾伟生,徐晴,侯正阳. 面向非全覆盖遥感辅助数据的森林地上生物量估算[J]. 林业科学, 2025, 61(9): 22-38. |
| [7] | 张宇娇,赵恒谦,付含聪,刘哿,皇甫霞丹,刘轩绮. 基于无人机遥感多特征的单木地上生物量反演模型[J]. 林业科学, 2025, 61(8): 129-141. |
| [8] | 熊晓燕,李彩霞,柴国奇,陈龙,贾翔,雷令婷,张晓丽. 联合UAV-LiDAR和GEDI数据的区域森林地上生物量估算[J]. 林业科学, 2025, 61(8): 142-153. |
| [9] | 杨菲菲,张王菲,赵磊,赵含,姬永杰,王梦金. 基于GF-1数据的二阶段遥感特征优选与森林地上生物量反演模型[J]. 林业科学, 2025, 61(4): 9-19. |
| [10] | 杨润露,王娟,张春雨. 东北天然次生针阔混交林乔木层碳储量变化的采伐干扰响应[J]. 林业科学, 2024, 60(7): 17-27. |
| [11] | 王薇,赵涵,黄欣,侯卓梁,姜在民,蔡靖. 白杨无性系叶片水力及经济性状与生物量的关系[J]. 林业科学, 2023, 59(10): 89-98. |
| [12] | 石永磊,王志慧,李世明,李春意,肖培青,张攀,常晓格. 基于光学遥感的稀疏乔灌木地上部分生物量反演方法[J]. 林业科学, 2022, 58(2): 13-22. |
| [13] | 陈星京,冯林艳,张宇超,刘清旺,杨朝晖,符利勇,白晋华. 基于机载激光雷达的崇礼冬奥核心区林分地上生物量反演[J]. 林业科学, 2022, 58(10): 35-46. |
| [14] | 丁家祺,黄文丽,刘迎春,胡杨. 基于机器学习和多源数据的湘西北森林地上生物量估测[J]. 林业科学, 2021, 57(10): 36-48. |
| [15] | 庞荣荣,彭潔莹,闫琰. 太白山次生锐齿栎林地上生物量影响因素[J]. 林业科学, 2021, 57(10): 157-165. |
| 阅读次数 | ||||||
|
全文 |
|
|||||
|
摘要 |
|
|||||