林业科学 ›› 2026, Vol. 62 ›› Issue (3): 211-222.doi: 10.11707/j.1001-7488.LYKX20250455
华夏辉1,2,丁显印1,吴绍泽1,黄琴韵1,3,刁姝1,吴亚荻1,栾启福1,*(
)
收稿日期:2025-07-26
修回日期:2025-12-12
出版日期:2026-03-15
发布日期:2026-03-12
通讯作者:
栾启福
E-mail:qifu.luan@caf.ac.cn
基金资助:
Xiahui Hua1,2,Xianyin Ding1,Shaoze Wu1,Qinyun Huang1,3,Shu Diao1,Yadi Wu1,Qifu Luan1,*(
)
Received:2025-07-26
Revised:2025-12-12
Online:2026-03-15
Published:2026-03-12
Contact:
Qifu Luan
E-mail:qifu.luan@caf.ac.cn
摘要:
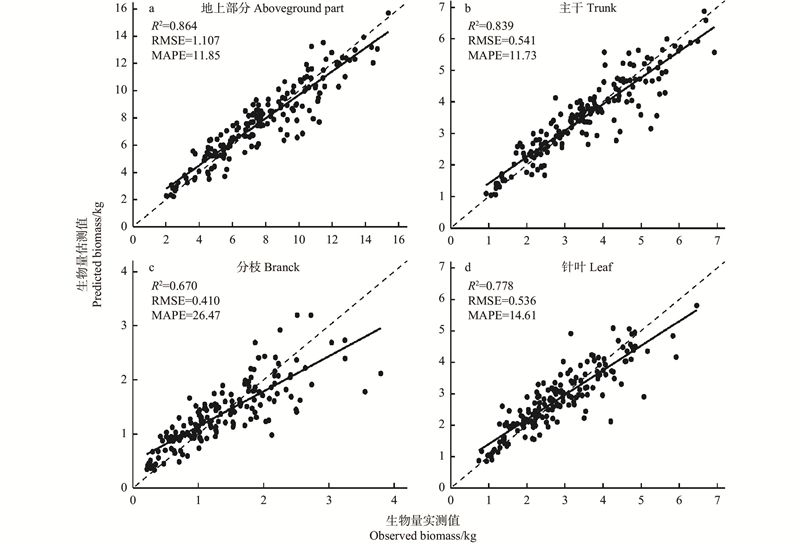
目的: 评估将单木特异性状加入幼龄湿地松人工林异速生长方程对模型性能的影响,并构建适用于湿地松地上生物量估测的幂函数模型,以实现生物量的精准、快速与高效预测。方法: 对4年生湿地松人工林的170棵样本,采用全收获法测定地上部分各器官生物量并分析其分配特征,使用不同生长因子作为预测自变量,构建湿地松地上部分、主干、分枝和针叶的幂函数生物量模型,并验证其准确性。结果: 在基于不同距地高度的树干直径构建的湿地松各器官生物量模型中,拟合效果排序为胸径(DBH)> 地径> 距地1.0 m树干直径>距地1.5 m树干直径;基于最优生长因子实测树高(H)、DBH和木材密度(ρ)构建的三元生物量(W)模型(W=aDBHbHcρd,a、b、c、d为系数)对地上部分和主干生物量的预测效果较优(R2分别为0.864和0.839;RMSE分别为1.107和0.541);基于无人机估测的树高(He)、无人机提取的冠幅面积(Ac)和DBH这3种最优生长因子构建的三元模型W=aDBHbHecAcd,对分枝和针叶生物量的预测效果较优(R2分别为0.670和0.778;RMSE分别为0.410和0.536)。结论: 引入单木特异性状的异速生长方程能够显著提高估测幼年湿地松人工林生物量的精度,基于最优生长因子构建的三元生物量模型可为浙江地区4年生湿地松人工幼林生物量的快速、准确估算提供可靠工具。
中图分类号:
华夏辉,丁显印,吴绍泽,黄琴韵,刁姝,吴亚荻,栾启福. 基于生长因子的湿地松人工幼林地上生物量模型[J]. 林业科学, 2026, 62(3): 211-222.
Xiahui Hua,Xianyin Ding,Shaoze Wu,Qinyun Huang,Shu Diao,Yadi Wu,Qifu Luan. Aboveground Biomass Models for Young Pinus elliottii Plantations Based on Various Growth Factors[J]. Scientia Silvae Sinicae, 2026, 62(3): 211-222.
表1
湿地松生长因子统计"
| 生长因子 Growth parameter | 最小值 Minimum | 最大值 Maximum | 平均值 Average | 标准差 Standard deviation | 变异系数 Coefficient of variation(%) |
| 树高Tree height(H)/m | 2.820 | 5.740 | 4.130 | 0.548 | 13.27 |
| 胸径 Diameter at breast height(DBH)/cm | 4.043 | 9.708 | 6.910 | 1.180 | 17.08 |
| 地上部分生物量Aboveground biomass(AGB)/kg | 2.012 | 15.373 | 7.750 | 3.000 | 38.79 |
| 主干生物量 Stem biomass(SB)/kg | 0.933 | 6.920 | 3.530 | 1.351 | 38.29 |
| 分枝生物量Branch biomass (BB)/kg | 0.213 | 3.800 | 1.370 | 0.715 | 52.22 |
| 针叶生物量 Leaf biomass(LB)/kg | 0.741 | 6.460 | 2.850 | 1.141 | 40.06 |
| 木材密度Density of wood(ρ)/(g·cm?3) | 0.286 | 0.605 | 0.400 | 0.047 | 11.76 |
| 地径Ground diameter(SB)/cm | 4.775 | 14.579 | 10.05 | 1.774 | 17.65 |
| 距地1.0 m树干直径Diameter at 1.0 m height(D1.0 m)/cm | 4.200 | 10.190 | 7.220 | 1.198 | 16.60 |
| 距地1.5 m树干直径Diameter at 1.5 m height(D1.5 m)/cm | 3.597 | 9.167 | 6.380 | 1.218 | 19.10 |
| 地上部分碳储量Aboveground carbon storage(ACG)/kg | 1.035 | 7.420 | 3.838 | 1.496 | 38.97 |
图1
湿地松生长因子的相关性 上三角为变量之间的相关系数,下三角为2个变量的散点图,对角线为每个变量密度分布情况。DBH:胸径;H:树高;AGB:地上部分生物量;SB:主干生物量;BB:分枝生物量;LB:针叶生物量;D:地径;D1.0 m:距地1.0 m树干直径;D1.5 m:距地1.5 m树干直径;ρ:木材密度;ACG:地上部分碳储量。The upper triangle shows the correlation coefficients between variables, the lower triangle displays scatter plots between pairs of variables, and the diagonal represents the density distribution of each variable. DBH:Diameter at breast height;H: Tree height;AGB: Above-ground biomass;SB: S tem biomass;BB: Branch biomass;LB:Leaf biomass;D:Ground diameter;D1.0 m:Diameter at 1.0 m height;D1.5 m:Diameter at 1.5 m height;ρ:Density of wood;ACG: Above-ground carbon storage. ***:P<0.001;**:P<0.01;*:P<0.05。"
表3
用不同生长因子构建的湿地松生物量模型"
| 模型 Model | 器官生物量 Organ biomass | R2 | RMSE | MAE | MAPE(%) | 参数 Parameter | |
| a | b | ||||||
W=aDBHb | 地上部分生物量Aboveground biomass | 0.857 | 1.134 | 0.893 | 12.46 | 0.107 | 2.198 |
| 主干生物量 Stem biomass | 0.802 | 0.599 | 0.451 | 13.77 | 0.061 | 2.080 | |
| 分枝生物量Branch biomass | 0.635 | 0.431 | 0.317 | 27.97 | 0.009 | 2.547 | |
| 针叶生物量 Leaf biomass | 0.770 | 0.546 | 0.411 | 15.33 | 0.041 | 2.175 | |
W=a(DBHH)b | 地上部分生物量Aboveground biomass | 0.751 | 1.496 | 1.171 | 16.78 | 0.116 | 1.247 |
| 主干生物量 Stem biomass | 0.764 | 0.654 | 0.493 | 49.33 | 0.054 | 1.241 | |
| 分枝生物量Branch biomass | 0.460 | 0.524 | 0.381 | 36.46 | 0.017 | 1.301 | |
| 针叶生物量 Leaf biomass | 0.675 | 0.649 | 0.488 | 18.51 | 0.045 | 1.227 | |
W=a(DBH2H)b | 地上部分生物量Aboveground biomass | 0.825 | 1.255 | 0.960 | 13.50 | 0.088 | 0.840 |
| 主干生物量 Stem biomass | 0.814 | 0.581 | 0.432 | 13.36 | 0.044 | 0.822 | |
| 分枝生物量Branch biomass | 0.544 | 0.482 | 0.348 | 31.82 | 0.016 | 0.912 | |
| 针叶生物量 Leaf biomass | 0.741 | 0.580 | 0.434 | 16.25 | 0.035 | 0.827 | |
表4
基于不同高度树干直径构建的湿地松生物量模型"
| 模型 Model | 器官生物量 Organ biomass | R2 | RMSE | MAE | MAPE(%) | 参数 Parameter | |
| a | b | ||||||
W=aDb | 地上部分生物量Aboveground biomass | 0.783 | 1.398 | 1.118 | 15.85 | 0.066 | 2.05 |
| 主干生物量 Stem biomass | 0.703 | 0.734 | 0.589 | 18.01 | 0.044 | 1.887 | |
| 分枝生物量Branch biomass | 0.628 | 0.435 | 0.321 | 28.18 | 0.004 | 2.477 | |
| 针叶生物量 Leaf biomass | 0.706 | 0.617 | 0.47 | 18.12 | 0.025 | 2.044 | |
W=aD1.0 mb | 地上部分生物量Aboveground biomass | 0.838 | 1.206 | 0.931 | 12.90 | 0.093 | 2.217 |
| 主干生物量 Stem biomass | 0.764 | 0.655 | 0.495 | 14.75 | 0.058 | 2.063 | |
| 分枝生物量Branch biomass | 0.665 | 0.413 | 0.302 | 26.51 | 0.006 | 2.666 | |
| 针叶生物量 Leaf biomass | 0.749 | 0.571 | 0.432 | 16.28 | 0.036 | 2.19 | |
W=aD1.5 mb | 地上部分生物量Aboveground biomass | 0.752 | 1.492 | 1.111 | 16.45 | 0.268 | 1.801 |
| 主干生物量 Stem biomass | 0.737 | 0.692 | 0.505 | 16.09 | 0.134 | 1.752 | |
| 分枝生物量Branch biomass | 0.514 | 0.497 | 0.371 | 34.68 | 0.032 | 1.999 | |
| 针叶生物量 Leaf biomass | 0.67 | 0.654 | 0.485 | 19.10 | 0.106 | 1.765 | |
表5
增加实测树高和木材密度变量后的湿地松生物量模型"
| 模型 Model | 器官生物量 Organ biomass | R2 | RMSE | MAE | MAPE(%) | 参数 Parameter | |||
| a | b | c | d | ||||||
W=aDBHbHc | 地上部分生物量Aboveground biomass | 0.861 | 1.118 | 0.866 | 12.13 | 0.094 | 2.107 | 0.216 | |
| 主干生物量 Stem biomass | 0.824 | 0.565 | 0.421 | 12.89 | 0.046 | 1.868 | 0.496 | ||
| 分枝生物量Branch biomass | 0.647 | 0.424 | 0.318 | 28.20 | 0.013 | 2.730 | -0.478 | ||
| 针叶生物量Leaf biomass | 0.773 | 0.542 | 0.407 | 15.17 | 0.036 | 2.085 | 0.204 | ||
W=aDBHbHcρd | 地上部分生物量Aboveground biomass | 0.864 | 1.107 | 0.849 | 11.85 | 0.104 | 2.167 | 0.190 | 0.202 |
| 主干生物量 Stem biomass | 0.839 | 0.541 | 0.387 | 11.73 | 0.058 | 1.997 | 0.442 | 0.449 | |
| 分枝生物量Branch biomass | 0.650 | 0.422 | 0.316 | 27.84 | 2.834 | -0.527 | 0.309 | ||
| 针叶生物量Leaf biomass | 0.775 | 0.540 | 0.409 | 15.26 | 2.040 | 0.224 | -0.153 | ||
表6
增加估测树高和冠幅面积变量后的湿地松生物量扩展模型"
| 模型 Model | 器官生物量 Organ biomass | R2 | RMSE | MAE | MAPE(%) | 参数 Parameter | |||
| a | b | c | d | ||||||
| W=aDBHbHec | 地上部分生物量Aboveground biomass | 0.860 | 1.123 | 0.870 | 12.17 | 0.096 | 2.106 | 0.194 | |
| 主干生物量 Stem biomass | 0.820 | 0.572 | 0.435 | 13.24 | 0.048 | 1.853 | 0.473 | ||
| 分枝生物量Branch biomass | 0.648 | 0.423 | 0.317 | 28.11 | 0.013 | 2.781 | 0.533 | ||
| 针叶生物量 Leaf biomass | 0.773 | 0.542 | 0.405 | 15.15 | 0.037 | 2.071 | 0.213 | ||
| W=aDBHb(HeAc)c | 地上部分生物量Aboveground biomass | 0.862 | 1.112 | 0.846 | 11.78 | 0.121 | 1.999 | 0.103 | |
| 主干生物量 Stem biomass | 0.804 | 0.596 | 0.452 | 13.77 | 0.006 | 1.959 | 0.062 | ||
| 分枝生物量Branch biomass | 0.642 | 0.426 | 0.308 | 27.05 | 0.011 | 2.232 | 0.161 | ||
| 针叶生物量 Leaf biomass | 0.778 | 0.537 | 0.393 | 14.62 | 0.048 | 1.929 | 0.127 | ||
| W=aDBHbHecAcd | 地上部分生物量Aboveground biomass | 0.863 | 1.110 | 0.843 | 11.75 | 0.113 | 1.983 | 0.185 | 0.087 |
| 主干生物量 Stem biomass | 0.820 | 0.572 | 0.434 | 13.23 | 0.047 | 1.873 | 0.474 | 0.014 | |
| 分枝生物量Branch biomass | 0.670 | 0.410 | 0.303 | 26.47 | 0.023 | 2.318 | 0.542 | 0.303 | |
| 针叶生物量 Leaf biomass | 0.778 | 0.536 | 0.392 | 14.61 | 0.045 | 1.915 | 0.197 | 0.113 | |
| 陈文义, 王智勇, 周梦岩, 等. 幼龄楸树生物量分配规律与异速生长模型. 植物生态学报, 2025, 49 (2): 356- 366. | |
| Chen W Y, Wang Z Y, Zhou M Y, et al. Biomass allocation and allometric growth model of young Catalpa bungei. Chinese Journal of Plant Ecology, 2025, 49 (2): 356- 366. | |
| 丁 伟, 谷振军, 黄文晖, 等. 美国引种湿地松在赣南地区生长适应性评价. 南方林业科学, 2020, 48 (5): 37- 40. | |
| Ding W, Gu Z J, Huang W J, et al. Evaluation of growth and adaptability of American Pinus elliottii in south Jiangxi. South China Forestry Seience, 2020, 48 (5): 37- 40. | |
| 冯宗炜, 陈楚莹, 张家武, 等. 湖南会同地区马尾松林生物量的测定. 林业科学, 1982, 28 (2): 127- 134. | |
| Feng Z W, Chen C Y, Zhang J W, et al. Biomass estimation of Pinus massoniana forests in huitong region, Hunan Province. Scientia Silvae Sinicae, 1982, 28 (2): 127- 134. | |
| 国家林业局. 2014,. 立木生物量模型及碳计量参数—湿地松. 北京: 中国标准出版社. | |
| National Forestry Administration. 2014,. Tree biomass models and related parameters to carbon accounting for Pinus elliottii. Beijing: Standards Press of China. [in Chinese] | |
| 侯燕南, 吴惠俐, 项文化, 等. 亚热带4种森林生物量估算转换参数的研究. 中南林业科技大学学报, 2016, 36 (8): 57- 65. | |
| Hou Y N, Wu H L, Xiang W H, et al. Conversion parameters determination for stand biomass estimation off our subtropical forest types based on national forest inventory system. Journal of Central South University of Forestry & Technology, 2016, 36 (8): 57- 65. | |
| 冷寒冰, 景 军, 奉树成. 上海两种常绿阔叶树种生物量分配及异速生长模型. 生态学杂志, 2018, 37 (12): 3590- 3596. | |
| Leng H B, Jing J, Feng S C, et al. Biomass distribution and allometric model of two evergreen broad-leaved tree species in Shanghai. Chinese Journal of Ecology, 2018, 37 (12): 3590- 3596. | |
| 李康杰, 胡中岳, 刘 萍, 等. 广东省珠三角乔木林生物量碳储量评估. 林业资源管理, 2022, 51 (4): 54- 60. | |
| Li K J, Hu Z Y, Liu P, et al. Evaluation on forest biomass and carbon storage in Pearl River Delta in Guangdong Province. Forest and Grassland Resources Research, 2022, 51 (4): 54- 60. | |
| 林 力. 2011,. 马尾松人工林生物量模型的研究. 福州: 福建农林大学. | |
| Lin L. 2011,. Studies on the biomass model of Pinus massoniana plantations. Fuzhou: Fujian Agriculture and Forestry University. [in Chinese] | |
| 刘 坤, 曹 林, 汪贵斌, 等. 银杏生物量分配格局及异速生长模型. 北京林业大学学报, 2017, 39 (4): 12- 20. | |
| Liu K, Cao L, Wang G B, et al. Biomass allocation patterns and allometric models of Ginkgo biloba. Jouranl of Beijing Forestry University, 2017, 39 (4): 12- 20. | |
| 刘晓华, 杜阿朋, 许宇星, 等. 桉树、相思、湿地松生物量估算系数差异特征及其影响因素. 桉树科技, 2023, 40 (4): 9- 16. | |
| Liu X H, Du A P, Xu Y X, et al. Differences in biomass estimation coefficients of Eucalyptus spp. , Acacia spp., and Pinus elliottii and their key influencing factors. Eucalypt Science & Technology, 2023, 40 (4): 9- 16. | |
| 刘迎春, 高显连, 付 超, 等. 基于森林资源清查数据估算中国森林生物量固碳潜力. 生态学报, 2019, 39 (11): 4002- 4010. | |
| Liu Y C, Gao X L, Fu C, et al. Estimation of carbon sequestration potential of forest biomass in China based on National Forest Resources Inventory. Acta Ecologica Sinica, 2019, 39 (11): 4002- 4010. | |
| 马学威, 熊康宁, 张 俞, 等. 森林生态系统碳储量研究进展与展望. 西北林学院学报, 2019, 34 (5): 62- 72. | |
| Ma X W, Xiong K N, Zhang Y, et al. Research progresses and prospects of carbon storage in forest ecosystems. Journal of Northwest Forestry University, 2019, 34 (5): 62- 72. | |
| 孟盛旺, 谷振军, 肖平江, 等. 江西省吉安地区火炬松地上生物量分配特征及模型研建. 北京林业大学学报, 2022, 44 (12): 41- 51. | |
| Meng S W, Gu Z J, Xiao P J, et al. Characteristics of aboveground biomass allocation and model construction for Pinus taeda in Ji ’an Region, Jiangxi Province of eastern China. Jouranl of Beijing Forestry University, 2022, 44 (12): 41- 51. | |
| 欧光龙, 胥 辉. 森林生物量模型研究综述. 西南林业大学学报(自然科学), 2020, 40 (1): 1- 11. | |
| Ou G L, Xu H. A review on forest biomass models. Journal of Southwest Forestry University(Natural Sciences), 2020, 40 (1): 1- 11. | |
| 孙操稳, 仲文雯, 洑香香, 等. 2022,. 青钱柳幼林地上部分生物量生长模型研究. 南京林业大学学报(自然科学版), 46(1): 138-144. | |
| Sun C W, Zhong W W, Fu X X, et al. 2022,. A study on growth and aboveground biomass production of juvenile Cyclocarya paliurus plantations. Journal of Nanjing Forestry University(Natural Sciences Edition), 46(1): 138-144. [in Chinese] | |
| 唐守正, 张会儒, 胥 辉. 相容性生物量模型的建立及其估计方法研究. 林业科学, 2000, 46 (S1): 19- 27. | |
| Tang S Z, Zhang H R, Xu H. Study on edtimate method of method oecompatible biomass model. Scientia Silvae Sinicae, 2000, 46 (S1): 19- 27. | |
|
王辽阔, 何介南. 湘北湿地松人工林生物量分配格局与碳汇潜力研究. 湖南林业科技, 2025, 52 (2): 10- 18.
doi: 10.3969/j.issn.1003-5710.2025.02.002 |
|
|
Wang L K, He J N. Study on biomass allocation pattern and carbon sink potential of Pinus elliottii plantation in northern Hunan. Hunan Forestry Science & Technology, 2025, 52 (2): 10- 18.
doi: 10.3969/j.issn.1003-5710.2025.02.002 |
|
| 王轶夫, 孙玉军. 马尾松生物量模型的对比研究. 中南林业科技大学学报, 2012, 32 (10): 29- 33. | |
| Wang Y F, Sun Y J. Comparative study on biomass models for Pinus massoniana. Journal of Central South University of Forestry & Technology, 2012, 32 (10): 29- 33. | |
| 韦理电, 唐生森, 韦钧翔, 等. 湿地松人工林生长规律. 广西林业科学, 2016, 45 (3): 276- 279,287. | |
| Wei L D, Tang S S, Wei J X, et al. The growth rules of slash pine plantation. Guangxi Forestry Science, 2016, 45 (3): 276- 279,287. | |
| 向 玮, 雷相东, 刘 刚, 等. 近天然落叶松云冷杉林单木枯损模型研究. 北京林业大学学报, 2008, 30 (6): 90- 98. | |
| Xiang W, Lei X D, Liu G, et al. Individual tree mortality models for semi-natural larch-spruce-fir forests in Jilin Province, northeastern China. Journal of Beijing Forestry University, 2008, 30 (6): 90- 98. | |
| 叶功富, 高 伟, 郑兆飞, 等. 闽北高海拔地区湿地松人工林的生物量和生长量研究. 林业资源管理, 2013, 42 (6): 76- 80. | |
| Ye G F, Gao W, Zheng Z F, et al. Biomass and increment of Pinus elliottii plantationin high altitude area of northern Fujian. Forest Resources Management, 2013, 42 (6): 76- 80. | |
|
曾伟生. 森林蓄积量和生物量多元混合模型研建. 林业资源管理, 2021, 50 (6): 23- 28.
doi: 10.13466/j.cnki.lyzygl.2021.06.005 |
|
|
Zeng W S. Development of multivariate mixed models for forest volume and biomass. Forest Resources Management, 2021, 50 (6): 23- 28.
doi: 10.13466/j.cnki.lyzygl.2021.06.005 |
|
| 曾伟生, 唐守正. 一个新的通用性相对生长生物量模型. 林业科学, 2012, 48 (1): 48- 52. | |
| Zeng W S, Tang S Z. A new general biomass allometric model. Scientia Silvae Sinicae, 2012, 48 (1): 48- 52. | |
| 张帅楠, 栾启福, 姜景民. 基于无损检测技术的湿地松生长及材性性状遗传变异分析. 林业科学, 2017, 53 (6): 30- 36. | |
| Zhang S N, Luan Q F, Jiang J M. Genetic variation analysis for growth and wood properties of slash pine based on the non-destructive testing technologies. Scientia Silvae Sinicae, 2017, 53 (6): 30- 36. | |
| 张宇娇, 赵恒谦, 付含聪, 等. 基于无人机遥感多特征的单木地上生物量反演模型研究. 林业科学, 2025, 61 (8): 1- 16. | |
| Zhang Y J, Zhao H Q, Fu H C, et al. Research on the inversion model of aboveground biomass at individual tree scale based on the multiple features of UAV remote sensing. Scientia Silvae Sinicae, 2025, 61 (8): 1- 16. | |
|
Aabeyir R, Adu-Bredu S, Agyare W A, et al. Allometric models for estimating aboveground biomass in the tropical woodlands of Ghana, West Africa. Forest Ecosystems, 2020, 7 (1): 41.
doi: 10.1186/s40663-020-00250-3 |
|
| Basuki T M, van Laake P E, Skidmore A K, et al. Allometric equations for estimating the above-ground biomass in tropical lowland Dipterocarp forests. Forest Ecology and Management, 2009, 257 (8): 1684- 1694. | |
|
Chave J, Andalo C, Brown S, et al. Tree allometry and improved estimation of carbon stocks and balance in tropical forests. Oecologia, 2005, 145 (1): 87- 99.
doi: 10.1007/s00442-005-0100-x |
|
|
Chave J, Réjou‐Méchain M, Búrquez A, et al. Improved allometric models to estimate the aboveground biomass of tropical trees. Global Change Biology, 2014, 20 (10): 3177- 3190.
doi: 10.1111/gcb.12629 |
|
| Ding X, Pelser P B, Xu C, et al. Leveraging close-range UAV phenotyping and GWAS for enhanced understanding of slash pine growth dynamics. Information Processing in Agriculture, 2025, 12 (4): 550- 564. | |
|
Du L, Zhou T, Zou Z, et al. Mapping forest biomass using remote sensing and national forest inventory in China. Forests, 2014, 5 (6): 1267- 1283.
doi: 10.3390/f5061267 |
|
|
Feldpausch T R, Lloyd J, Lewis S L, et al. Tree height integrated into pantropical forest biomass estimates. Biogeosciences, 2012, 9 (8): 3381- 3403.
doi: 10.5194/bg-9-3381-2012 |
|
|
Fortier J, Truax B, Gagnon D, et al. Allometric equations for estimating compartment biomass and stem volume in mature hybrid poplars: general or site-specific?. Forests, 2017, 8 (9): 309.
doi: 10.3390/f8090309 |
|
|
Jaakkola A, Hyyppä J, Kukko A, et al. A low-cost multi-sensoral mobile mapping system and its feasibility for tree measurements. ISPRS Journal of Photogrammetry and Remote Sensing, 2010, 65 (6): 514- 522.
doi: 10.1016/j.isprsjprs.2010.08.002 |
|
|
Kittredge J. Estimation of the amount of foliage of trees and stands. Journal of Forestry, 1944, 42 (12): 905- 912.
doi: 10.1093/jof/42.12.905 |
|
|
Luo Y, Wang X, Ouyang Z, et al. A review of biomass equations for China’s tree species. Earth System Science Data, 2020, 12 (1): 21- 40.
doi: 10.5194/essd-12-21-2020 |
|
|
Ma Z, Hartmann H, Wang H, et al. Carbon dynamics and stability between native masson pine and exotic slash pine plantations in subtropical China. European Journal of Forest Research, 2014, 133 (2): 307- 321.
doi: 10.1007/s10342-013-0763-5 |
|
| Pan Y, Birdsey R A, Phillips O L, et al. 2013,. The structure, distribution, and biomass of the world’s forests. Annual Review of Ecology, Evolution, and Systematics, 44(1): 593−622. | |
|
Peichl M, Arain M A. Allometry and partitioning of above- and belowground tree biomass in an age-sequence of white pine forests. Forest Ecology and Management, 2007, 253 (1−3): 68- 80.
doi: 10.1016/j.foreco.2007.07.003 |
|
|
Poorter H, Niklas K J, Reich P B, et al. Biomass allocation to leaves, stems and roots: meta-analyses of interspecific variation and environmental control. New Phytologist, 2012, 193 (1): 30- 50.
doi: 10.1111/j.1469-8137.2011.03952.x |
|
|
Quegan S, Le Toan T, Chave J, et al. The European space agency biomass mission: measuring forest above-ground biomass from space. Remote Sensing of Environment, 2019, 227, 44- 60.
doi: 10.1016/j.rse.2019.03.032 |
|
| Riofrío J, Herrero C, Grijalva J, et al., 2015,. Aboveground tree additive biomass models in Ecuadorian highland agroforestry systems. Biomass and Bioenergy, 80: 252-259. | |
|
Ter-Mikaelian M T, Korzukhin M D. Biomass equations for sixty-five North American tree species. Forest Ecology and Management, 1997, 97 (1): 1- 24.
doi: 10.1016/S0378-1127(97)00019-4 |
|
| Wang C. Biomass allometric equations for 10 co-occurring tree species in Chinese temperate forests. Forest Ecology and Management, 2006, 222 (1): 9- 16. | |
|
Xiang W, Liu S, Deng X, et al. General allometric equations and biomass allocation of Pinus massoniana trees on a regional scale in southern China. Ecological Research, 2011, 26 (4): 697- 711.
doi: 10.1007/s11284-011-0829-0 |
|
| Xu Y, Zhang J, Franklin S B, et al. Improving allometry models to estimate the above- and belowground biomass of subtropical forest, China. Ecosphere, 2015, 6 (12): 1- 15. | |
|
Zeng W, Duo H, Lei X, et al. Individual tree biomass equations and growth models sensitive to climate variables for Larix spp. in China. European Journal of Forest Research, 2017, 136 (2): 233- 249.
doi: 10.1007/s10342-017-1024-9 |
| [1] | 邓敏,何怀江,吴相菊,张新娜,张春雨,赵秀海. 东北温带森林幼苗生长受生物量分配权衡和性状影响[J]. 林业科学, 2026, 62(3): 48-60. |
| [2] | 周晟,蒋馥根,陈帅,龙依,王彬彬,宋子戈,孙华. 联合星−空激光雷达和Sentinel-2数据的森林地上生物量估测方法[J]. 林业科学, 2026, 62(3): 74-87. |
| [3] | 张宇薇,莫梦婷,舒博,姚佳佳,袁志林. 真菌诱导子促进桑黄黄酮类物质积累及主要作用机制[J]. 林业科学, 2026, 62(3): 146-160. |
| [4] | 钟慧奇,柴静瑜,王开良,滕建华,毕文玉,王安妮,林萍. 基于CARS-PLSR的油茶种仁油脂含量和脂肪酸成分的近红外光谱预测模型构建[J]. 林业科学, 2026, 62(2): 111-125. |
| [5] | 竹万宽,王志超,许宇星,黄润霞,陶怡,钟源源,杜阿朋. 基于机器学习算法的雷州半岛桉树复层混交林土壤呼吸模拟[J]. 林业科学, 2026, 62(1): 67-82. |
| [6] | 周宏威,李永正,郭文辉,陈怡帆,胡浩昌,张思岩,崔迪,陈雨茉. 基于元胞自动机模型的松材线虫病小班尺度预测[J]. 林业科学, 2026, 62(1): 133-143. |
| [7] | 黄柳源,郑炎,程欣杰,曾伟生,徐晴,侯正阳. 面向非全覆盖遥感辅助数据的森林地上生物量估算[J]. 林业科学, 2025, 61(9): 22-38. |
| [8] | 王智勇,周梦岩,陈文义,麻文俊,王军辉,张一,吴创业,罗志斌,周婧. 楸树高产高氮利用效率无性系筛选及G×E互作分析[J]. 林业科学, 2025, 61(8): 96-105. |
| [9] | 张宇娇,赵恒谦,付含聪,刘哿,皇甫霞丹,刘轩绮. 基于无人机遥感多特征的单木地上生物量反演模型[J]. 林业科学, 2025, 61(8): 129-141. |
| [10] | 熊晓燕,李彩霞,柴国奇,陈龙,贾翔,雷令婷,张晓丽. 联合UAV-LiDAR和GEDI数据的区域森林地上生物量估算[J]. 林业科学, 2025, 61(8): 142-153. |
| [11] | 吴家敏,王亚欣,孙斌,马志杰,孙维娜,洪亮. 基于无人机的柠条锦鸡儿生物量遥感估测[J]. 林业科学, 2025, 61(6): 13-24. |
| [12] | 吴亚荻,刁姝,丁显印,黄琴韵,栾启福. 基于51K液相探针构建国外松良种的DNA指纹图谱[J]. 林业科学, 2025, 61(6): 109-119. |
| [13] | 李威, 于珍珍, 何徽, 赵佳璐, 刘西军. 碳输入改变对湿地松人工成熟林土壤微生物群落的影响[J]. 林业科学, 2025, 61(6): 232-242. |
| [14] | 杨菲菲,张王菲,赵磊,赵含,姬永杰,王梦金. 基于GF-1数据的二阶段遥感特征优选与森林地上生物量反演模型[J]. 林业科学, 2025, 61(4): 9-19. |
| [15] | 刘霞,凌成星,陈永富,刘华,贺振平,李泽江,孙维娜,马志杰,由海霞,吕文,赵峰,曾浩威,王鑫淼. 鄂尔多斯地区13种典型灌木的可加性生物量模型及含碳率[J]. 林业科学, 2025, 61(4): 117-128. |
| 阅读次数 | ||||||
|
全文 |
|
|||||
|
摘要 |
|
|||||