欢迎访问林业科学,今天是

林业科学 ›› 2026, Vol. 62 ›› Issue (4): 154-163.doi: 10.11707/j.1001-7488.LYKX20250229

• 研究论文 • 上一篇    下一篇

基于大兴安岭季节性火灾风险动态调整地面临时扑救基地

宗学政1,田晓瑞1,*(),崔文彬2,舒立福1,王明玉1   

  1. 1. 中国林业科学研究院森林生态环境与自然保护研究所 国家林业和草原局森林保护学重点实验室 北京 100091
    2. 加拿大安大略省自然资源部 苏圣玛丽 P6A 6V5
  • 收稿日期:2025-04-13 出版日期:2026-04-15 发布日期:2026-04-11
  • 通讯作者: 田晓瑞 E-mail:tianxr@caf.ac.cn
  • 基金资助:
    国家自然科学基金项目(42171082);国家重点研发计划项目(2023YFD2202002)。

Dynamic Adjustment of Temporary Ground Firefighting Bases Based on Seasonal Fire Risk in Daxing’anling

Xuezheng Zong1,Xiaorui Tian1,*(),Wenbin Cui2,Lifu Shu1,Mingyu Wang1   

  1. 1. Ecology and Nature Conservation Institute, Chinese Academy of Forestry Key Laboratory of Forest Protection of National Forestry and Grassland Administration Beijing 100091
    2. Ontario Ministry of Natural Resources Sault Ste Marie P6A 6V5
  • Received:2025-04-13 Online:2026-04-15 Published:2026-04-11
  • Contact: Xiaorui Tian E-mail:tianxr@caf.ac.cn

摘要:

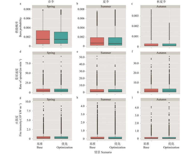
目的: 基于燃烧概率模型揭示季节性森林火灾风险的空间分异规律,优化林火扑救资源配置,为改进森林扑火资源管理模式、提升森林火灾防控能力提供理论支持和实践指导。方法: 以我国重要林区大兴安岭为研究对象,采用改进的燃烧概率模型模拟春季、夏季、秋季3个火险期的燃烧概率时空分布。通过大量迭代模拟,量化不同季节的燃烧概率(BP)、火蔓延速率(ROS)和火强度(FI),并评估初始扑救成功率。模拟情景包括基准情景(当前的扑火资源配置)和优化情景(基于燃烧概率调整地面临时扑火基地)。基于每个季节的森林火灾风险,将临时扑火基地(或扑火点)从低BP区调整到高BP区。春季重点加强东部和南部落叶针叶林的资源配置,秋季加强混交林区域的资源配置。利用单因素重复方差分析比较季节间的BP、ROS、FI差异,并通过配对样本t检验验证调整前后的效果。评估指标包括响应时间、初始扑救成功率和燃烧概率。结果: 大兴安岭森林火灾风险存在显著的季节性差异。春季森林火灾的过火面积占全年的80%以上。春季的干燥可燃物条件(FFMC 85+)和高火天气指数会加剧火的蔓延,夏季和秋季的降水对火灾风险有显著抑制作用。BP模型结果显示,春季平均BP为0.002 6,有94.6%区域可能发生燃烧,ROS(6.3 m·min?1)和FI(4 504.6 kW·m?1)年内最高。夏季平均BP为0.000 9,比春季降低73.6%;ROS和FI分别降至2.6 m·min?1和1 864.1 kW·m?1。秋季只有20.3%的区域可能燃烧,平均BP为0.000 1,ROS和FI进一步降至2.4 m·min?1和1 512.7 kW·m?1。基于BP模拟结果动态调整地面临时扑火基地后,春季、夏季和秋季临时扑火点数量分别减少14.4%、27.1%和33.3%,响应时间仍满足<1.5 h要求,初始扑救成功率维持在77.2%~93.5%。优化调整地面临时扑火资源后,燃烧概率(P=0.84)和火行为(P=0.91)也未发生显著变化。结论: 本研究量化大兴安岭季节性森林火灾风险的空间分异规律,提出基于BP动态调整地面有限扑火资源,实现了减少14%~33%临时扑火基地并能维持当前扑救效率的目的。

关键词: 燃烧概率模型, 林火模拟, 林火管理, 火行为, 大兴安岭

Abstract:

Objective: Based on the burn probability model, this study aims to uncover the spatial patterns of seasonal forest fire risks, and optimize the allocation of forest fire suppression resources, so as to provide theoretical support and practical guidance for improving the firefighting resource management in northern forests and enhancing forest fire prevention and control capabilities. Method: The Daxing’anling Mountains, an important forest area in China, was targeted. An enhanced burn probability model was employed to simulate the spatiotemporal dynamics of burn probabilities across the three distinct fire-risk seasons: spring, summer, and autumn for Daxing’anling forest region. Extensive iterative simulations were used to quantify seasonal variations in burn probabilities (BP), fire spread rates (ROS), and fire intensities (FI), and thereby assess the initial attack success rate. Two simulation scenarios were developed for comparative analysis: a baseline scenario reflecting current firefighting resource allocations and an optimized scenario that adjusted the placement and amount of temporary ground firefighting bases according to BP distribution. Resource reallocation strategies were designed to relocate temporary firefighting bases from areas of low BP areas to high BP areas. The resource allocation was strengthened in deciduous coniferous forests in the eastern and southern regions during spring, and the resource allocation was strengthened in mixed forest zones in autumn. One-way repeated measures ANOVA was used to examine seasonal differences in BP, ROS, and FI, and paired-sample t-tests was used to validate the efficacy of pre- and post-adjustment outcomes. Key evaluation metrics encompassed response time, initial attack success rate, and burn probability, providing a comprehensive framework for assessing the impact of resource optimization on fire management effectiveness. Result: There were significant seasonal variations in forest fire risks in Daxing’anling region, with the burnt area in spring accounting for over 80% of the annual burnt area. The combination of dry fuel conditions (fine fuel moisture code, FFMC > 85) and elevated fire weather index (FWI) during spring significantly amplified fire spread, whereas precipitation in summer and autumn exerted a strong suppressive effect on fire risks. The model simulations revealed that the average BP in spring was 0.002 6, with 94.6% of the area exhibiting potential for combustion. During this period, the ROS peaked at 6.3 m·min?1, and FI reached its highest annual value of 4 504.6 kW·m?1. In contrast, summer showed a substantial decline in BP to an average of 0.000 9, which is 73.6% lower than that in spring, accompanied by decreases in ROS to 2.6 m·min?1 and FI to 1864.1 kW·m?1. Autumn experienced the lowest fire risk, with only 20.3% of the area at risk of burning, with an average BP of 0.000 1, and further reductions in ROS to 2.4 m·min?1 and FI to 1 512.7 kW·m?1. Following the dynamic reallocation of temporary ground firefighting bases informed by BP simulation outcomes, the number of temporary firefighting bases in spring, summer, and autumn was reduced by 14.4%, 27.1%, and 33.3%, respectively. Despite these reductions, the response times continued to meet the critical threshold of <1.5 hours, while the initial attack success rate was sustained within the range of 77.2%?93.5%. The optimization of temporary ground firefighting resource allocation resulted in no statistically significant changes in burn probability (P = 0.84) or fire behavior (P = 0.91), underscoring the efficacy of the adaptive management strategy. Conclusion: This study can quantify the spatial differentiation patterns of seasonal forest fire risks in Daxing’anling and proposes a dynamic adjustment approach for optimizing the allocation of limited ground firefighting resources based on the BP simulations. The approach has successfully achieved the dual objective of reducing the number of temporary firefighting bases by 14%?33% while maintaining established firefighting goals.

Key words: burn probability model, wildfire behavior simulation, wildfire management, fire behavior, Daxing’anling

中图分类号: