林业科学 ›› 2026, Vol. 62 ›› Issue (3): 100-110.doi: 10.11707/j.1001-7488.LYKX20250346
收稿日期:2025-05-30
修回日期:2025-11-10
出版日期:2026-03-15
发布日期:2026-03-12
通讯作者:
范少辉
E-mail:fansh@icbr.ac.cn
基金资助:
Shaohui Fan*(
),Shihui Zheng,Songpo Wei,Guanglu Liu
Received:2025-05-30
Revised:2025-11-10
Online:2026-03-15
Published:2026-03-12
Contact:
Shaohui Fan
E-mail:fansh@icbr.ac.cn
摘要:
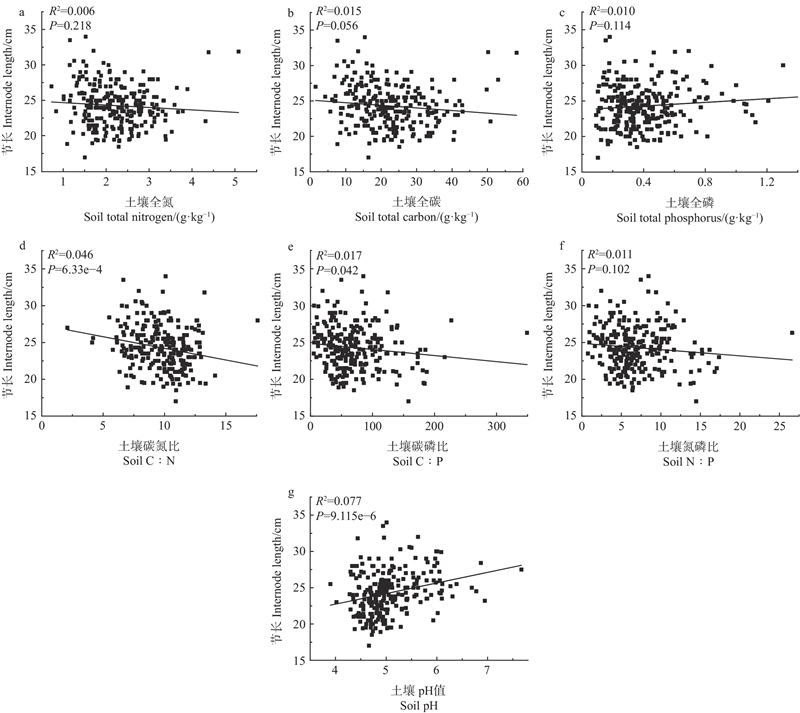
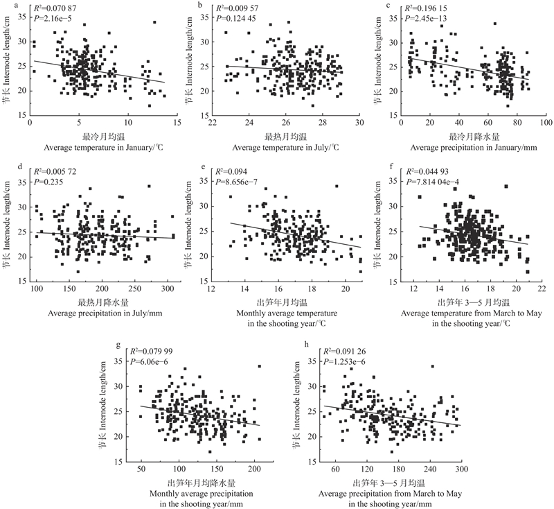
目的: 解析毛竹节长的地理分异规律及其关键环境因子,为长节毛竹优良种质选育和竹林定向培育提供理论依据。方法: 基于我国毛竹资源分布情况,按照150 km ×150 km网格设置调查点,采用回归分析揭示地理因子、气候因子、地形因子和土壤因子对毛竹节长的影响规律,筛选影响毛竹节长的关键环境因子。结果: 1) 我国毛竹1.5 m处节长的变化范围在17~34 cm之间,平均值为(24.39±2.86)cm,变异系数为11.72%。2) 节长与经度、年均气温、年均降水量、年均日照时数、坡度、碳氮比呈负相关,与纬度、海拔、pH呈正相关,相关性达到极显著水平(P<0.01)。经度每增加1°,节长减少0.18 cm;纬度每升高1°,节长增加0.37 cm;年均气温每升高1 ℃,节长减少0.61 cm;年均降水量每增加100 mm,节长缩短0.36 cm;年均日照时数每增加100 h,节长减少0.24 cm。3) 气候因子、地形因子和土壤因子对节长的总解释方差为24.52%,其中,气候因子的贡献率为8%,气候与土壤交互作用的贡献率为5.28%,地形因子的贡献率为4.58%。4) 基于经纬地理坐标添加指数空间相关,筛选出影响毛竹节长的关键环境因子为最冷月降水量和坡度。结论: 毛竹节长主要受气候和地形因子的综合影响,关键环境因子为最冷月降水量和坡度,开展长节毛竹林定向培育需综合考虑区域气候条件,确保关键生长期的环境条件管理。
中图分类号:
范少辉,郑世慧,魏松坡,刘广路. 影响毛竹节长的关键环境因子[J]. 林业科学, 2026, 62(3): 100-110.
Shaohui Fan,Shihui Zheng,Songpo Wei,Guanglu Liu. Key Environmental Factors Affecting Internode Length of Moso Bamboo[J]. Scientia Silvae Sinicae, 2026, 62(3): 100-110.
表1
气候因子与节长关系模型的模型平均系数"
| 变量 Variable | 条件平均系数 Conditional mean coefficient | 标准误 Standard error | 调整后的标准误 Adjusted standard error | z值 z-value | P值 P-value | 显著性 Significance |
| 截距Intercept | 3.184 | 0.234 | 0.234 | 13.59 | 0 | *** |
| PRE_1 | ?0.002 | 0 | 0 | 5.34 | 0 | *** |
| TEM_1 | ?0.007 | 0.003 | 0.003 | 2.1 | 0.036 | * |
| TEM_7 | 0.009 | 0.006 | 0.006 | 1.51 | 0.132 | |
| PRE_g | 0 | 0 | 0 | 0.84 | 0.401 | |
| RHU | 0.003 | 0.004 | 0.004 | 0.7 | 0.485 | |
| PRE_7 | 0 | 0 | 0 | 0.58 | 0.562 | |
| PRE_g3 | 0 | 0 | 0 | 0.35 | 0.725 |
表3
土壤因子与节长关系模型的模型平均系数"
| 变量 Variable | 条件平均系数 Conditional mean coefficient | 标准误 Standard error | 调整后的标准误 Adjusted standard error | z值 z-value | P值 P-value | 显著性 Significance |
| 截距Intercept | 2.989 | 0.122 | 0.122 | 24.5 | 0 | *** |
| C∶N | ?0.007 | 0.005 | 0.005 | 1.53 | 0.125 | |
| pH | 0.051 | 0.016 | 0.017 | 3.07 | 0.002 | ** |
| SNCP | ?0.225 | 0.133 | 0.133 | 1.69 | 0.091 | |
| SM | 0.096 | 0.104 | 0.104 | 0.92 | 0.356 | |
| N | 0.012 | 0.013 | 0.013 | 0.87 | 0.384 | |
| C∶P | 0 | 0 | 0 | 0.90 | 0.369 | |
| SBD | ?0.018 | 0.039 | 0.04 | 0.45 | 0.651 |
| 陈 铭. 2023. 毛竹(Phyllostachys edulis)笋快速生长的细胞路线图、转录组图谱及环境调控因子. 南京: 南京林业大学. | |
| Chen M. 2023. Cellular road map, transcriptome atlas, and environmental regulatory factors of rapid shoot growth in Phyllostachys edulis. Nanjing: Nanjing Forestry University. [in Chinese] | |
| 兰标新. 不同海拔高度毛竹秆形结构变化规律研究. 广东科技, 2014, 23 (2): 127- 128. | |
| Lan B X. Study on variation patterns of culm structure of Phyllostachys edulis at different altitudes. Guangdong Science & Technology, 2014, 23 (2): 127- 128. | |
|
李东宝, 吴 敏, 余 蓉, 等. 不同种源麻竹表型多样性及其与环境因子的相关性. 植物资源与环境学报, 2023, 32 (5): 39- 50.
doi: 10.3969/j.issn.1674-7895.2023.05.04 |
|
|
Li D B, Wu M, Yu R, et al. Phenotypic diversity of Dendrocalamus latiflorus from different provenances and its correlation with environmental factors. Journal of Plant Resources and Environment, 2023, 32 (5): 39- 50.
doi: 10.3969/j.issn.1674-7895.2023.05.04 |
|
|
李玉敏, 冯鹏飞. 基于第九次全国森林资源清查的中国竹资源分析. 世界竹藤通讯, 2019, 17 (6): 45- 48.
doi: 10.12168/sjzttx.2019.06.010 |
|
|
Li Y M, Feng P F. Bamboo resources in China based on the ninth national forest inventory data. World Bamboo and Rattan, 2019, 17 (6): 45- 48.
doi: 10.12168/sjzttx.2019.06.010 |
|
| 刘继平. 毛竹产区气候区划的研究. 竹子研究汇刊, 1987, 6 (3): 1- 12. | |
| Liu J P. A study on climatic zoning in Phyllostachys edulis distribution range. Journal of Bamboo Research, 1987, 6 (3): 1- 12. | |
|
苏文会, 顾小平, 岳晋军, 等. 大木竹秆形结构的研究. 林业科学研究, 2006, 19 (1): 98- 101.
doi: 10.3321/j.issn:1001-1498.2006.01.019 |
|
|
Su W H, Gu X P, Yue J J, et al. Study on the structure of culm form of Bambusa wenchouensis. Forest Research, 2006, 19 (1): 98- 101.
doi: 10.3321/j.issn:1001-1498.2006.01.019 |
|
|
汪阳东, 韦德煌. 气象因素对毛竹秆形生长变异的影响. 竹子研究汇刊, 2002, 21 (1): 46- 52.
doi: 10.3969/j.issn.1000-6567.2002.01.010 |
|
|
Wang Y D, Wei D H. The effect of weather factors on the culm growth of moso bamboo. Journal of Bamboo Research, 2002, 21 (1): 46- 52.
doi: 10.3969/j.issn.1000-6567.2002.01.010 |
|
| 谢 芳. 毛竹节间性状及其海拔效应研究. 江西农业大学学报, 2002, 24 (1): 86- 89. | |
| Xie F. A study on the main internode characters of Mao bamboo and its altitude effect. Acta Agriculturae Universitatis Jiangxiensis, 2002, 24 (1): 86- 89. | |
| 杨 帆, 汤孟平. 浙江省毛竹秆形结构特征. 浙江农林大学学报, 2021, 38 (6): 1289- 1296. | |
| Yang F, Tang M P. On the structure characteristics of culm form of Phyllostachys edulis in Zhejiang Province. Journal of Zhejiang A & F University, 2021, 38 (6): 1289- 1296. | |
|
于金光, 郝际平, 田黎敏, 等. 圆竹的力学性能及影响因素研究. 西安建筑科技大学学报(自然科学版), 2018, 50 (1): 30- 36.
doi: 10.15986/j.1006-7930.2018.01.006 |
|
|
Yu J G, Hao J P, Tian L M, et al. The study on the main influencing factors and mechanical properties of Phyllostachys pubescens. Journal of Xi’an University of Architecture & Technology, 2018, 50 (1): 30- 36.
doi: 10.15986/j.1006-7930.2018.01.006 |
|
| 张 雷, 杨光耀, 黎祖尧, 等. 不同产地厚竹秆形结构比较. 竹子学报, 2017, 36 (1): 19- 24. | |
| Zhang L, Yang G Y, Li Z Y, et al. Form and structure of bamboo culm of Phyllostachys edulis‘Pachyloen’growing in different habitats. Journal of Bamboo Research, 2017, 36 (1): 19- 24. | |
|
张闻博, 费本华, 田根林, 等. 不同地区毛竹生长和表型性状的比较. 东北林业大学学报, 2019, 47 (1): 1- 5.
doi: 10.3969/j.issn.1000-5382.2019.01.001 |
|
|
Zhang W B, Fei B H, Tian G L, et al. Comparative study on growth and phenotypic traits of Phyllostachys edulis in different areas. Journal of Northeast Forestry University, 2019, 47 (1): 1- 5.
doi: 10.3969/j.issn.1000-5382.2019.01.001 |
|
| 周文伟. 降水对毛竹林生长的影响分析. 竹子研究汇刊, 1991, 10 (2): 33- 39. | |
| Zhou W W. An analysis of the influence of precipitation on the growth of bamboo forest. Journal of Bamboo Research, 1991, 10 (2): 33- 39. | |
|
de Oliveira Buzatti R S, Pfeilsticker T R, Muniz A C, et al. Disentangling the environmental factors that shape genetic and phenotypic leaf trait variation in the tree Qualea grandiflora across the Brazilian savanna. Frontiers in Plant Science, 2019, 10, 1580.
doi: 10.3389/fpls.2019.01580 |
|
|
Chen M, Guo L, Ramakrishnan M, et al. Rapid growth of moso bamboo (Phyllostachys edulis): Cellular roadmaps, transcriptome dynamics, and environmental factors. The Plant Cell, 2022, 34 (10): 3577- 3610.
doi: 10.1093/plcell/koac193 |
|
|
Dong L B, Li J W, Zhang Y, et al. Effects of vegetation restoration types on soil nutrients and soil erodibility regulated by slope positions on the Loess Plateau. Journal of Environmental Management, 2022, 302, 113985.
doi: 10.1016/j.jenvman.2021.113985 |
|
|
Harrison X A, Donaldson L, Correa-Cano M E, et al. A brief introduction to mixed effects modelling and multi-model inference in ecology. PeerJ, 2018, 6, e4794.
doi: 10.7717/peerj.4794 |
|
|
Islam T, Hamid M, Nawchoo I A, et al. Leaf functional traits vary among growth forms and vegetation zones in the Himalaya. Science of the Total Environment, 2024, 906, 167274.
doi: 10.1016/j.scitotenv.2023.167274 |
|
| Läuchli A, Grattan S R. 2017. Plant stress under non-optimal soil pH //Shabala S. Plant Stress Physiology. 2nd Edition. Wallingford: CAB International, 201˗216. | |
|
Liu X, Zhou S X, Hu J, X et al. Variations and trade-offs in leaf and culm functional traits among 77 woody bamboo species. BMC Plant Biology, 2024, 24 (1): 387.
doi: 10.1186/s12870-024-05108-2 |
|
|
Meng X M, Zhang Z C, Wu Y D, et al. A comprehensive evaluation of the effects of bamboo nodes on the mechanical properties of bamboo culms. Engineering Structures, 2023, 297, 116975.
doi: 10.1016/j.engstruct.2023.116975 |
|
|
Rusmayadi G, Safruddin S. Effect of soil pH variation on peanut plant growth. West Science Agro, 2024, 2 (2): 63- 69.
doi: 10.58812/wsa.v2i02.944 |
|
|
Schäfer C, Rötzer T, Thurm E A, et al. Growth and tree water deficit of mixed Norway spruce and European beech at different heights in a tree and under heavy drought. Forests, 2019, 10 (7): 577.
doi: 10.3390/f10070577 |
|
|
Searle E B, Chen H Y H. Complementarity effects are strengthened by competition intensity and global environmental change in the central boreal forests of Canada. Ecology Letters, 2020, 23 (1): 79- 87.
doi: 10.1111/ele.13411 |
|
|
Shi Y J, Xu L, Zhou Y F, et al. Quantifying driving factors of vegetation carbon stocks of moso bamboo forests using machine learning algorithm combined with structural equation model. Forest Ecology and Management, 2018, 429, 406- 413.
doi: 10.1016/j.foreco.2018.07.035 |
|
|
Stotz G C, Salgado-Luarte C, Escobedo V M, et al. Phenotypic plasticity and the leaf economics spectrum: plasticity is positively associated with specific leaf area. Oikos, 2022, 2022 (11): e09342.
doi: 10.1111/oik.09342 |
|
|
Suarez E, Rescalvo F J, Fernandez A, et al. Influence of weathering on mechanical properties of culm samples of Guadua angustifolia Kunth bamboo with and without nodes. Wood Material Science & Engineering, 2023, 18 (2): 434- 445.
doi: 10.1080/17480272.2022.2039961 |
|
|
Taylor D, Kinane B, Sweeney C, et al. The biomechanics of bamboo: investigating the role of the nodes. Wood Science and Technology, 2015, 49 (2): 345- 357.
doi: 10.1007/s00226-014-0694-4 |
|
|
Wang Y L, Li Y. Genetic diversity analysis of phenotypic traits among 37 Xanthoceras sorbifolium elite germplasms. Journal of Forest Research, 2022, 27 (2): 140- 147.
doi: 10.1080/13416979.2021.2009094 |
|
|
Wei Q, Jiao C, Ding Y L, et al. Cellular and molecular characterizations of a slow-growth variant provide insights into the fast growth of bamboo. Tree Physiology, 2018, 38 (4): 641- 654.
doi: 10.1093/treephys/tpx129 |
|
|
Wright I J, Ackerly D D, Bongers F, et al. Relationships among ecologically important dimensions of plant trait variation in seven neotropical forests. Annals of Botany, 2007, 99 (5): 1003- 1015.
doi: 10.1093/aob/mcl066 |
|
|
Wu Y X, Guo J H, Tang Z Y, et al. Moso bamboo (Phyllostachys edulis) expansion enhances soil pH and alters soil nutrients and microbial communities. Science of the Total Environment, 2024, 912, 169346.
doi: 10.1016/j.scitotenv.2023.169346 |
|
|
Xia Y, Feng J N, Zhang H B, et al. Effects of soil pH on the growth, soil nutrient composition, and rhizosphere microbiome of Ageratina adenophora. PeerJ, 2024, 12, e17231.
doi: 10.7717/peerj.17231 |
|
|
Yao L J, Xu Y, Wu C P, et al. Variation in the functional traits of forest vegetation along compound habitat gradients in different climatic zones in China. Forests, 2023, 14 (6): 1232.
doi: 10.3390/f14061232 |
|
|
Yaqoob N, Malekian R, Farooque A A, et al. Topography-driven variability in soil greenhouse gas emissions during potato growth season. Soil Use and Management, 2024, 40 (4): e13123.
doi: 10.1111/sum.13123 |
|
|
Yaulilahua-Huacho R, Sumarriva-Bustinza L A, Gutierrez-Deza L I R, et al. Examining the adaptability of soil pH to soil dynamics using different methodologies: a concise review. Journal of Experimental Biology and Agricultural Sciences, 2024, 12 (4): 573- 587.
doi: 10.18006/2024.12(4).573.587 |
|
|
Zheng S H, Wei S P, Li J R, et al. The phenotypic variation in moso bamboo and the selection of key traits. Plants, 2024, 13 (12): 1625.
doi: 10.3390/plants13121625 |
| [1] | 谷瑞,范少辉,魏松坡,刘广路. 基于表型性状的毛竹核心种质构建[J]. 林业科学, 2025, 61(9): 101-112. |
| [2] | 王晓荣,龚苗,辜忠春,胡兴宜,漆良华,谭海山,戴薛,刘清平,夏少丹,赵虎. 幕阜山区毛竹向杉木林和阔叶林扩张的细根分解及养分释放特征[J]. 林业科学, 2025, 61(8): 46-57. |
| [3] | 王江飞,李慧,朱成磊,狄小琳,李英,王清楠,宛慧茹,孙化雨,高志民. 毛竹PeBAM3在叶片淀粉分解过程的功能[J]. 林业科学, 2025, 61(8): 231-240. |
| [4] | 闫小玲,郝琴,申孜,张雨佳,郭小勤. 毛竹PheFT1基因的表达、蛋白互作及生物学功能分析[J]. 林业科学, 2025, 61(4): 140-152. |
| [5] | 马欣欣,王游,王佳军,冯龙,马建锋. 热解过程中竹材灰分组成变化及硅的转化分布规律[J]. 林业科学, 2025, 61(2): 172-179. |
| [6] | 杨乐梅,张宝刚,陈有超,蔡延江. 毛竹林林下植物叶片功能性状的模拟氮沉降响应[J]. 林业科学, 2025, 61(12): 61-71. |
| [7] | 杨振亚,倪惠菁,李颖,王波,赵建诚. 覆盖经营对毛竹林鞭笋品质及其时序变化的影响[J]. 林业科学, 2025, 61(12): 106-114. |
| [8] | 李慧,王清楠,朱成磊,孙化雨,狄小琳,高志民. 3个竹种Rubisco活化酶基因鉴定及其功能[J]. 林业科学, 2025, 61(11): 35-44. |
| [9] | 谭凤森,李清河. 荒漠灌木的木质部解剖结构与功能权衡——以内蒙西部18种灌木为例[J]. 林业科学, 2025, 61(1): 81-94. |
| [10] | 张翱,李文婷,王天祥,武耀星,雷刚,漆良华. 毛竹林土壤易氧化有机碳区域分异及影响因素[J]. 林业科学, 2024, 60(6): 1-12. |
| [11] | 王一,栾军伟,陈琛,刘世荣. 毛竹林土壤呼吸及组分对氮磷添加的非对等响应[J]. 林业科学, 2023, 59(7): 54-64. |
| [12] | 袁金玲,岳晋军,马婧瑕,于磊,刘蕾. 元宝毛竹的秆形特征[J]. 林业科学, 2023, 59(5): 71-80. |
| [13] | 蔡宗明,邓智文,李秉钧,李士坤,温伟庆,荣俊冬,郑郁善,陈礼光. 带状采伐宽度对毛竹林地下竹鞭结构特征的影响[J]. 林业科学, 2023, 59(4): 79-87. |
| [14] | 曾伟生,蒲莹,杨学云,易善军. 我国5种主要人工林乔木层碳储量生长模型及其气候驱动分析[J]. 林业科学, 2023, 59(3): 21-30. |
| [15] | 郑亚雄,范少辉,张璇,周潇,官凤英. 带状采伐毛竹林生产力变化规律[J]. 林业科学, 2023, 59(2): 22-29. |
| 阅读次数 | ||||||
|
全文 |
|
|||||
|
摘要 |
|
|||||