欢迎访问林业科学,今天是

林业科学 ›› 2026, Vol. 62 ›› Issue (4): 106-117.doi: 10.11707/j.1001-7488.LYKX20250136

• 研究论文 • 上一篇    下一篇

点云语义引导的无人机激光雷达单木分割与参数估算

练一宁1,2,卢昊1,2,*(),淮永建1,2,*(),徐海峰3,霍朗宁4,王智超5   

  1. 1. 北京林业大学信息学院 北京 100083
    2. 河北省智慧国家公园重点实验室 北京 100083
    3. 西南林业大学大数据与智能工程研究院 昆明 650233
    4. 瑞典农业科学大学森林资源管理系 于默奥 SE-90183
    5. 北京林业大学精准林业北京市重点实验室 北京 100083
  • 收稿日期:2025-03-11 出版日期:2026-04-15 发布日期:2026-04-11
  • 通讯作者: 卢昊,淮永建 E-mail:luhao@bjfu.edu.cn;huaiyj@bjfu.edu.cn
  • 基金资助:
    国家重点研发计划项目(2023YFC3304000);国家自然科学基金项目(42001376)。

Point Cloud Semantic-Guided Individual Tree Segmentation and Parameter Estimation Using UAV Laser Scanning

Yining Lian1,2,Hao Lu1,2,*(),Yongjian Huai1,2,*(),Haifeng Xu3,Langning Huo4,Zhichao Wang5   

  1. 1. School of Information Science and Technology, Beijing Forestry University Beijing 100083
    2. Hebei Key Laboratory of Smart National Park Beijing 100083
    3. College of Big Data and Intelligent Engineering, Southwest Forestry University Kunming 650233
    4. Department of Forest Resource Management, Swedish University of Agriculture Sciences Ume? Sweden SE-90183
    5. Beijing Key Laboratory of Precision Forestry, Beijing Forestry University Beijing 100083
  • Received:2025-03-11 Online:2026-04-15 Published:2026-04-11
  • Contact: Hao Lu,Yongjian Huai E-mail:luhao@bjfu.edu.cn;huaiyj@bjfu.edu.cn

摘要:

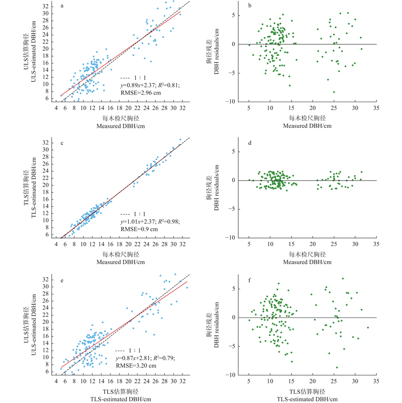
目的: 针对无人机激光雷达(ULS)点云在桉树人工纯林单木分割与参数估算中存在树冠重叠、树干点稀疏和噪声干扰等问题,构建一种基于语义引导的单木分割与参数提取方法,以提高ULS点云的单木分割精度和参数提取准确性。方法: 以广西南宁市高峰林场为研究区,构建完整的点云处理流程。采用深度学习模型对点云进行语义分割,将其划分为树干、树叶和地面等语义类别,同时集成基于密度的空间聚类(DBSCAN)与最近邻分配(KNN)的混合算法,利用语义信息完成单木分割。针对ULS点云在树干处点云稀疏的问题,运用树干曲线拟合方法估算胸径,并采用高度伪波形方法估算树高。在不同结构复杂度的样地中对基于语义引导的单木分割与参数提取方法进行验证,以评估其适用性和精度。结果: 该方法在桉树人工纯林中实现了较高的单木分割精度,总体召回率为0.92,精确率为0.95,平均F分数为0.93。在单木参数提取方面,树高估算的决定系数(R2)为0.98,均方根误差(RMSE)为1.03 m;胸径估算的R2为0.81,RMSE为2.96 cm。结论: 基于语义引导的单木分割与参数提取方法能够较高精度地实现桉树人工纯林ULS点云的单木分割与参数提取,证明语义引导框架在提升ULS点云独立应用能力方面的有效性,可为森林资源监测中ULS数据的高效应用提供参考。

关键词: 单木分割, 单木参数, 激光雷达, 无人机, 点云

Abstract:

Objective: To address crown overlap, sparse stem points, and noise interference in unmanned aerial vehicle laser scanning (ULS) point clouds for individual tree segmentation (ITS) and parameter estimation in eucalyptus plantations, a semantic-guided method for individual tree segmentation and parameter extraction was developed to improve segmentation accuracy and parameter estimation performance. Method: Gaofeng Forest Farm in Nanning, Guangxi was selected as the study area, and a complete point-cloud processing workflow was established. A deep learning model was used to perform semantic segmentation on point clouds, the point clouds were classified into semantic categories, including stems, leaves, and ground. Subsequently, a hybrid algorithm combining density-based spatial clustering of applications with noise (DBSCAN) and K-nearest neighbors (KNN) was used for individual tree segmentation by incorporating semantic information. To counter the sparsity of ULS point clouds at the stem level, stem curve fitting was adopted for diameter at breast height (DBH) estimation, and a height pseudo-waveform method was employed for tree height estimation. The proposed method was validated across plots with varying structural complexities to assess its applicability and accuracy. Result: Experimental results showed that high ITS accuracy was achieved in the eucalyptus plantations, with an overall recall of 0.92, precision of 0.95, and an average F-score of 0.93. For individual tree parameter estimation, tree height estimation showed a coefficient of determination (R2) of 0.98 with a root mean square error (RMSE) of 1.03 m. DBH estimation yielded an R2 of 0.81 and an RMSE of 2.96 cm. Conclusion: The proposed method enables accurate individual tree segmentation and parameter extraction from ULS point clouds in eucalyptus plantations, indicating that semantic guidance can improve the applicability of ULS point clouds for individual-tree-level analysis. This study provides a reference for the efficient use of ULS data in forest resource monitoring.

Key words: individual tree segmentation, individual tree parameters, light detectionand ranging (LiDAR), unmanned aerial vehicle (UAV), point cloud

中图分类号: