林业科学 ›› 2021, Vol. 57 ›› Issue (6): 169-179.doi: 10.11707/j.1001-7488.20210619
张燕林,黄彩凤,包明琢,周垂帆*,何宗明
收稿日期:2020-06-30
出版日期:2021-06-25
发布日期:2021-08-06
通讯作者:
周垂帆
基金资助:Yanlin Zhang,Caifeng Huang,Mingzhuo Bao,Chuifan Zhou*,Zongming He
Received:2020-06-30
Online:2021-06-25
Published:2021-08-06
Contact:
Chuifan Zhou
摘要:
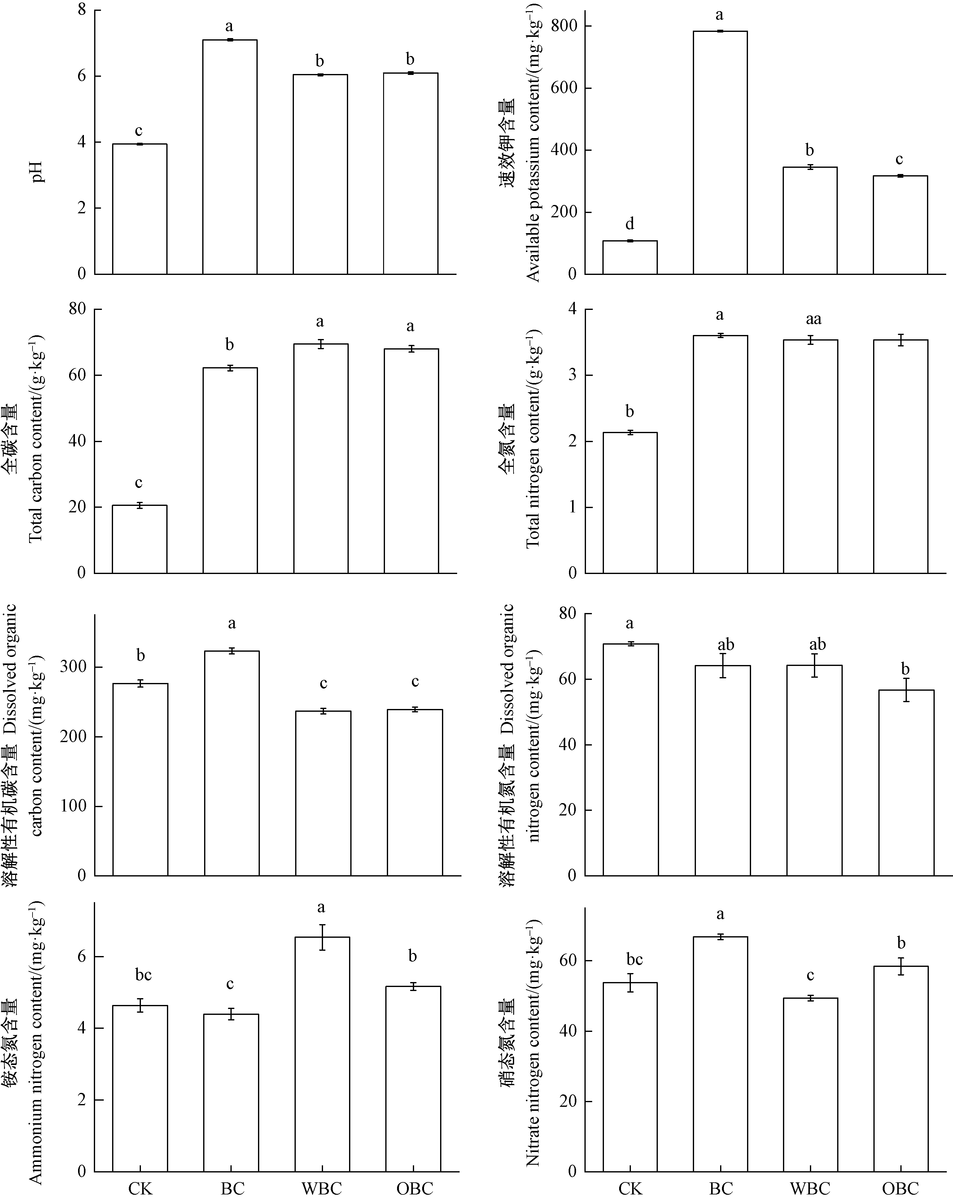
目的: 探讨生物炭的输入以及经历老化后对杉木人工林土壤主要养分含量和微生物群落组成的影响,为我国南方杉木林地施用生物炭提供合理依据。方法: 以杉木叶为原材料制备生物炭,并对其进行水洗和酸化处理以模拟加速生物炭在自然环境中的长期老化,同时以2代杉木林红壤为供试土壤,设置土壤中未加生物炭(CK)、加入3%的生物炭(BC)、3%的水洗老化生物炭(WBC)以及3%的酸化老化生物炭(OBC)4组处理,进行150天室内培养后测定土壤主要养分,同时采用高通量测序技术分析土壤细菌、真菌的群落组成,并分析土壤主要养分含量与主要微生物类群的相关性。结果: 生物炭添加能显著提高土壤全碳、全氮、溶解性有机碳、速效钾和硝态氮的含量;老化后的生物炭降低了土壤溶解性有机碳含量,OBC对土壤溶解性有机氮含量也有显著抑制作用(P < 0.05)。韦恩图分析表明,OBC对土壤微生物物种数的促进效果最明显。对细菌而言,生物炭老化前后均能显著提高土壤变形菌门、芽单胞菌门、拟杆菌门、芽单胞菌科、鞘脂单胞菌科和红螺菌科的相对丰度;OBC显著提高了土壤疣微菌门和浮霉菌门的相对丰度;绿弯菌门、放线菌门和厚壁菌门与全碳、全氮含量呈显著负相关,变形菌门、拟杆菌门与速效钾、硝态氮含量呈显著正相关。对真菌而言,子囊菌门和担子菌门是主要的优势菌门,WBC提高了土壤担子菌门、毛霉亚门和灵芝科的相对丰度;OBC降低了土壤壶菌门的相对丰度;子囊菌门与铵态氮、溶解性有机碳含量呈显著正相关,被孢霉门的相对丰度与溶解性有机氮含量显著正相关。结论: 生物炭添加能有效改善杉木人工林土壤主要养分状况,然而经水洗和酸化老化处理后的生物炭提高土壤养分的效果有所减弱;老化前后生物炭的添加总体上均能增加土壤微生物的物种数,但对主要微生物类群相对丰度的调节有差异。
中图分类号:
张燕林,黄彩凤,包明琢,周垂帆,何宗明. 生物炭及其老化对杉木林土壤养分含量和微生物群落组成影响的室内模拟[J]. 林业科学, 2021, 57(6): 169-179.
Yanlin Zhang,Caifeng Huang,Mingzhuo Bao,Chuifan Zhou,Zongming He. Effects of Biochar and Its Aging Biochar on Soils Nutrients and Microbial Community Composition in Cunninghamia lanceolata Plantations: a Laboratory Simulation Experiment[J]. Scientia Silvae Sinicae, 2021, 57(6): 169-179.
图5
不同处理土壤的细菌(A、B)和真菌(C、D)在门水平的相对丰度 图中数据为平均值±标准误差(n=3),同一图中不同小写字母表示呈显著差异性(P < 0.05)The data in the figure is the mean ± standard error (n=3), bars with different letters are significantly different (P < 0.05). Pro: 变形菌门Proteobacteria; Aci: 酸杆菌门Acidobacteria; Chl: 绿弯菌门Chloroflexi; Act: 放线菌门Actinobacteria; Fir: 厚壁菌门Firmicutes; Ver: 疣微菌门Verrucomicrobia; Sac: 螺旋体菌门Saccharibacteria; Gem: 芽单胞菌门Gemmatimonadetes; Pla: 浮霉菌门Planctomycetes; Bac: 拟杆菌门Bacteroidetes; Asc: 子囊菌门Ascomycota; Bas: 担子菌门Basidiomycota; Mor: 被孢霉菌门Mortierellomycota; Muc: 毛霉亚门Mucoromycota; Roz: 类原生动物门Rozellomycota; Chy: 壶菌门Chytridiomycota; Cer: 丝足虫门Cercozoa; GS1: GS19; Glo: 球囊菌门Glomeromycota; Ent: 虫霉亚门Entomophthoromycota. 下同。The same below."
图6
不同处理土壤的细菌(A、B)和真菌(C、D)在科水平的相对丰度 图中数据为平均值±标准误差(n=3),同一图中不同小写字母表示呈显著差异性(P < 0.05)。The data in the figure is the mean ± standard error (n=3), bars with different letters are significantly different (P < 0.05). DA1: DA111; Xan: 黄色杆菌科Xanthobacteraceae; Acid: 酸热菌科亚群1 Acidobacteriaceae_Subgroup_1; Sol: 梭菌科亚群3 Solibacteraceae_Subgroup_3; Xant: Xanthomonadales_Incertae_Sedis; Acido: 酸杆菌科Acidothermaceae; Gemm: 芽单胞菌科Gemmatimonadaceae; Sph: 鞘脂单胞菌科Sphingomonadaceae; Plan: 浮霉菌科Planctomycetaceae; Rho: 红螺菌科Rhodospirillaceae; Mort: 被孢霉科Mortierellaceae; Tri: Trimorphomycetaceae; Cha: 毛壳科Chaetomiaceae; Nec: 丛赤壳科Nectriaceae; Hyp: 肉座菌科Hypocreaceae; Sor: 粪壳菌科Sordariaceae; Gan: 灵芝科Ganodermataceae; Asp: 曲霉科Aspergillaceae; Her: 小疱毛壳科Herpotrichiellaceae; Chae: Chaetosphaeriaceae."
| 陈威, 胡学玉, 陆海楠. 生物炭输入对土壤本体有机碳矿化的影响. 环境科学, 2015, 36 (6): 2300- 2305. | |
| Chen W , Hu X Y , Lu H N . Impacts of biochar input on mineralization of native soil organic carbon. Environmental Science, 2015, 36 (6): 2300- 2305. | |
| 陈颖, 刘玉学, 陈重军, 等. 生物炭对土壤有机碳矿化的激发效应及其机理研究进展. 应用生态学报, 2018, 29 (1): 314- 320. | |
| Chen Y , Liu Y X , Chen C J , et al. Priming effect of biochar on the minerialization of native soil organic carbon and the mechanisms: a review. Journal of Applied Ecology, 2018, 29 (1): 314- 320. | |
| 胡华英, 殷丹阳, 曹升, 等. 生物炭对杉木人工林土壤养分、酶活性及细菌性质的影响. 生态学报, 2019a, 39 (11): 4138- 4148. | |
| Hu H Y , Yin D Y , Cao S , et al. Effects of biochar on soil nutrient, enzyme activity, and bacterial properties of Chinese fir plantation. Acta Ecologica Sinica, 2019a, 39 (11): 4138- 4148. | |
| 胡华英, 张虹, 曹升, 等. 杉木人工林土壤施用生物炭对细菌群落结构及多样性的影响. 林业科学, 2019b, 55 (8): 184- 193. | |
| Hu H Y , Zhang H , Cao S , et al. Effects of biochar application on soil bacterial community structure and diversity in Cunninghamia lanceolata plantation. Scientia Silvae Sinicae, 2019b, 55 (8): 184- 193. | |
| 黄修梅, 李明, 戎素萍, 等. 生物炭添加对马铃薯根际土壤真菌多样性和产量的影响. 中国蔬菜, 2019, (1): 51- 56. | |
| Huang X M , Li M , Rong S P , et al. Effects of biochar addition on fungi diversity of potato rhizosphere soil and yield of potato. China Vegetables, 2019, (1): 51- 56. | |
| 李金融, 侯湖平, 王琛, 等. 基于高通量测序的复垦土壤细菌多样性研究. 环境科学与技术, 2018, 41 (12): 148- 157. | |
| Li J R , Hou H P , Wang C , et al. Soil bacteria diversity of reclaimed soil based on high throughput sequencing. Environmental Science and Technology, 2018, 41 (12): 148- 157. | |
|
林庆毅, 姜存仓, 张梦阳. 生物炭老化后理化性质及微观结构的表征. 环境化学, 2017, 36 (10): 2107- 2114.
doi: 10.7524/j.issn.0254-6108.2017021703 |
|
|
Lin Q Y , Jiang C C , Zhang M Y . Characterization of the physical and chemical structures of biochar under simulated aging condition. Environmental Chemistry, 2017, 36 (10): 2107- 2114.
doi: 10.7524/j.issn.0254-6108.2017021703 |
|
| 刘丽, 徐明恺, 汪思龙, 等. 杉木人工林土壤质量演变过程中土壤微生物群落结构变化. 生态学报, 2013, 33 (15): 4692- 4706. | |
| Liu L , Xu M K , Wang S L , et al. Effect of different Cunninghamia lanceolata plantation soil qualities on soil microbial community structure. Acta Ecologica Sinica, 2013, 33 (15): 4692- 4706. | |
| 王晶, 马丽娟, 龙泽华, 等. 秸秆炭化还田对滴灌棉田土壤微生物代谢功能及细菌群落组成的影响. 环境科学, 2020, 41 (1): 420- 429. | |
| Wang J , Ma L J , Long Z H , et al. Effects of straw biochar on soil microbial metabolism and bacterial community composition in drip-irrigated cotton field. Environmental Science, 2020, 41 (1): 420- 429. | |
| 文方园, 陈建, 田路萍, 等. 过氧化氢氧化对生物炭表面性质的改变及其对双酚A吸附的影响. 生态毒理学报, 2016, 11 (2): 628- 635. | |
| Wen F Y , Chen J , Tian L P , et al. Chemcial oxidation of biochars and the impact on bisphenol A sorption. Journal of Ecotoxicology, 2016, 11 (2): 628- 635. | |
| 夏丽丹, 于姣妲, 邓玲玲, 等. 杉木人工林地力衰退研究进展. 世界林业研究, 2018, 31 (2): 37- 42. | |
| Xia L D , Yu J D , Deng L L , et al. Researches on soil decline of Chinese fir plantation. World Forestry Research, 2018, 31 (2): 37- 42. | |
|
Ameloot N , Graber E R , Verheijen F G A , et al. Interactions between biochar stability and soil organisms: review and research needs. European Journal of Soil Science, 2013, 64 (4): 379- 390.
doi: 10.1111/ejss.12064 |
|
|
Ahmed A , Kurian J , Raghavan V . Biochar influences on agricultural soils, crop production, and the environment: a review. Environmental Reviews, 2016, 24 (4): 495- 502.
doi: 10.1139/er-2016-0008 |
|
| Allison S D , Martiny J B H . Colloquium paper: resistance, resilience, and redundancy in microbial communities. Proceedings of the National Academy of Sciences, 2008, 105 (Supp 1): 11512- 11519. | |
| Dickie I A , Xu B , Koide R T . Vertical niche differentiation of ectomycorrhizal hyphae in soil as shown by T-RFLP analysis. New Phytologist, 2010, 156 (3): 527- 535. | |
|
Dong X , Li G , Lin Q , et al. Quantity and quality changes of biochar aged for 5 years in soil under field conditions. Catena, 2017, 159, 136- 143.
doi: 10.1016/j.catena.2017.08.008 |
|
|
Edgar R C . UPARSE: Highly accurate OTU sequences from microbial amplicon reads. Nature Methods, 2013, 10 (10): 996- 998.
doi: 10.1038/nmeth.2604 |
|
|
Farrell M , Kuhn T K , Macdonald L M , et al. Microbial utilisation of biochar-derived carbon. Science of the Total Environment, 2013, 465, 288- 297.
doi: 10.1016/j.scitotenv.2013.03.090 |
|
|
Fierer N , Bradford M A , Jackson R B . Toward and ecological classification of soil bacteria. Ecology, 2007, 88 (6): 1354- 1364.
doi: 10.1890/05-1839 |
|
|
Fontaine S , Hénault C , Aamor A , et al. Fungi mediate long term sequestration of carbon and nitrogen in soil through their priming effect. Soil Biology and Biochemistry, 2011, 43 (1): 86- 96.
doi: 10.1016/j.soilbio.2010.09.017 |
|
|
Gao L , Wang R , Shen G , et al. Effects of biochar on nutrients and the microbial community structure of tobacco-planting soils. Journal of Soil Science and Plant Nutrition, 2017, 17 (4): 884- 896.
doi: 10.4067/S0718-95162017000400004 |
|
|
Haas B J , Gevers D , Earl A M , et al. Chimeric 16S rRNA sequence formation and detection in Sanger and 454-pyrosequenced PCR amplicons. Genome Research, 2011, 21 (3): 494- 504.
doi: 10.1101/gr.112730.110 |
|
|
Jiao S , Liu Z , Lin Y , et al. Bacterial communities in oil contaminated soils: Biogeography and co-occurrence patterns. Soil biology and Biochemistry, 2016, 98, 64- 73.
doi: 10.1016/j.soilbio.2016.04.005 |
|
| Jin H. 2010. Characterization of microbial life colonizing biochar and biochar-amended soils. New York: Cornell University. | |
| Klimek B , Niklińska M , Jaźwa M , et al. Covariation of soil bacteria functional diversity and vegetation diversity along an altitudinal climatic gradient in the Western Carpathians. Pedobiologia, 2015, 58 (2/3): 105- 112. | |
|
Kõljalg U , Nilsson R H , Abarenkov K , et al. Towards a unified paradigm for sequence-based identification of fungi. Molecular Ecology, 2013, 22 (21): 5271- 5277.
doi: 10.1111/mec.12481 |
|
|
Lehmann J , Rillig M C , Thies J , et al. Biochar effects on soil biota-a review. Soil Biology and Biochemistry, 2011, 43 (9): 1812- 1836.
doi: 10.1016/j.soilbio.2011.04.022 |
|
|
Li Y , Zhou C , Qiu Y , et al. Effects of biochar and litter on carbon and nitrogen mineralization and soil microbial community structure in a China fir plantation. Journal of Forestry Research, 2019, 30 (5): 1913- 1923.
doi: 10.1007/s11676-018-0731-5 |
|
| Liu L , Duan Z H , Xu M K , et al. Effect of monospecific and mixed Cunninghamia lanceolata plantations on microbial community and two functional genes involved in nitrogen cycling. Plant Soil, 2010, 327 (1/2): 413- 428. | |
|
Liu Y , Sohi S P , Jing F , et al. Oxidative ageing induces change in the functionality of biochar and hydrochar: mechanistic insights from sorption of atrazine. Environmental Pollution, 2019, 249, 1002- 1010.
doi: 10.1016/j.envpol.2019.03.035 |
|
|
Lucheta A R , Cannavan F , Roesch L F W , et al. Fungal community assembly in the Amazonian Dark Earth. Microbial Ecology, 2016, 71 (4): 962- 973.
doi: 10.1007/s00248-015-0703-7 |
|
| Mukherjee A , Zimmerman A R . Organic carbon and nutrient release from a range of laboratory produced biochars and biochar soil mixtures. Geoderma, 2013, 193, 122- 130. | |
|
Paungfoo-Lonhienne C , Yeoh Y K , Kasinadhuni N R P , et al. Nitrogen fertilizer dose alters fungal communities in sugarcane soil and rhizosphere. Scientific Reports, 2015, 5, 8678- 8683.
doi: 10.1038/srep08678 |
|
|
Quan G , Fan Q , Zimmerman A R , et al. Effects of laboratory biotic aging on the characteristics of biochar and its water-soluble organic products. Journal of Hazardous Materials, 2020, 382, 121071.
doi: 10.1016/j.jhazmat.2019.121071 |
|
|
Quast C , Pruesse E , Yilmaz P , et al. The SILVA ribosomal RNA gene database project: improved data processing and web-based tools. Nucleic Acids Research, 2012, 41 (D1): D590- D596.
doi: 10.1093/nar/gks1219 |
|
|
Ren X , Sun H , Wang F , et al. The changes in biochar properties and sorption capacities after being cultured with wheat for 3 months. Chemosphere, 2016, 144, 2257- 2263.
doi: 10.1016/j.chemosphere.2015.10.132 |
|
|
Schoch C L , Seifert K A , Huhndorf S , et al. Nuclear ribosomal internal transcribed spacer (ITS) region as a universal DNA barcode marker for Fungi. Proceedings of the National Academy of Sciences, 2012, 109 (16): 6241- 6246.
doi: 10.1073/pnas.1117018109 |
|
|
Su P , Lou J , Brookes P C , et al. Taxon-specific responses of soil microbial communities to different soil priming effects induced by addition of plant residues and their biochars. Journal of Soils and Sediments, 2017, 17 (3): 674- 684.
doi: 10.1007/s11368-015-1238-8 |
|
|
Syuhada A B , Shamshuddin J , Fauziah C I , et al. Biochar as soil amendment: Impact on chemical properties and corn nutrient uptake in a Podzol. Canadian Journal of Soil Science, 2016, 96 (4): 400- 412.
doi: 10.1139/cjss-2015-0044 |
|
|
Wang Q , Garrity G M , Tiedje J M , et al. Naive Bayesian classifier for rapid assignment of rRNA sequences into the new bacterial taxonomy. Applied and Environmental Microbiology, 2007, 73 (16): 5261- 5267.
doi: 10.1128/AEM.00062-07 |
|
|
Xiong J , Peng F , Sun H , et al. Divergent responses of soil fungi functional groups to short-term warming. Microbial Ecology, 2014, 68 (4): 708- 715.
doi: 10.1007/s00248-014-0385-6 |
|
|
Yao Q , Liu J , Yu Z , et al. Three years of biochar amendment alters soil physiochemical properties and fungal community composition in a black soil of northeast China. Soil Biology and Biochemistry, 2017, 110, 56- 67.
doi: 10.1016/j.soilbio.2017.03.005 |
|
|
Yu Y , Yang J , Zeng S , et al. Soil pH, organic matter, and nutrient content change with the continuous cropping of Cunninghamia lanceolata plantations in South China. Journal of Soils and Sediments, 2017, 17 (9): 2230- 2238.
doi: 10.1007/s11368-016-1472-8 |
|
| Zhou C , Heal K , Tigabu M , et al. Biochar addition to forest plantation soil enhances phosphorus availability and soil bacterial community diversity. Forest Ecology and Management, 2020, 455, 17635. |
| [1] | 郑翔,曹敏敏,纪小芳,方万力,刘胜龙,姜姜. 森林土壤氧化亚氮排放对磷添加响应的研究进展[J]. 林业科学, 2021, 57(6): 150-157. |
| [2] | 谢云,郭芳芸,陈丽华,曹兵. 大气CO2浓度升高对宁夏枸杞根区土壤微生物功能多样性及碳源利用特征的影响[J]. 林业科学, 2021, 57(4): 163-172. |
| [3] | 赵晓红,柴姗姗,张曼曼,范义昌,毛云飞,毛志泉,沈向. 施用贝壳粉对酸化土壤微生物多样性及平邑甜茶幼苗生长的影响[J]. 林业科学, 2020, 56(9): 153-163. |
| [4] | 周晓君,张凯,彭正锋,孙姗姗,押辉远,张延召,程彦伟. 矮牡丹与芍药属其他5个种叶绿体基因组特征的比较[J]. 林业科学, 2020, 56(4): 82-88. |
| [5] | 郭彤彤,朱铭强,李晋鹏,郭新荣,贺虹. 杜仲梦尼夜蛾幼虫肠道可培养细菌的组成及其功能[J]. 林业科学, 2020, 56(11): 124-133. |
| [6] | 申景昕,刘广路,范少辉,冯云,陈本学,吴昌明,刘希珍. 毛竹向撂荒地扩展过程中的土壤养分特征[J]. 林业科学, 2020, 56(10): 26-33. |
| [7] | 曹小玉, 李际平, 委霞. 中亚热带典型林分空间结构对土壤养分含量的影响[J]. 林业科学, 2020, 56(1): 20-28. |
| [8] | 靳微,杨预展,孙海菁,陈连庆,袁志林. 弗吉尼亚栎母树林外生菌根的真菌多样性[J]. 林业科学, 2020, 56(1): 120-132. |
| [9] | 陈秀波, 朱德全, 赵晨晨, 张路路, 陈立新, 段文标. 凉水国家自然保护区不同林型红松林土壤nosZ型反硝化微生物群落组成和多样性分析[J]. 林业科学, 2019, 55(8): 106-117. |
| [10] | 胡华英, 张虹, 曹升, 殷丹阳, 周垂帆, 何宗明. 杉木人工林土壤施用生物炭对细菌群落结构及多样性的影响[J]. 林业科学, 2019, 55(8): 184-193. |
| [11] | 丁令智, 满秀玲, 肖瑞晗, 蔡体久. 寒温带森林根际土壤微生物量碳氮含量生长季内动态变化[J]. 林业科学, 2019, 55(7): 178-186. |
| [12] | 王超群, 焦如珍, 董玉红, 厚凌宇, 赵京京, 赵世荣. 不同林龄杉木人工林土壤微生物群落代谢功能差异[J]. 林业科学, 2019, 55(5): 36-45. |
| [13] | 韩小红, 卢赐鼎, 华银, 林浩宇, 是雨霏, 吴松青, 张飞萍, 梁光红. 星天牛转录组及三大解毒酶家族相关基因系统发育分析[J]. 林业科学, 2019, 55(5): 104-113. |
| [14] | 于涛, 张宇阳, 高健, 柯蕾, 马文宝, 李俊清. 极小种群濒危植物盐桦叶绿体基因组特征分析[J]. 林业科学, 2019, 55(2): 41-49. |
| [15] | 唐欣,刘世荣,许涵,张于光. 海南尖峰岭热带山地雨林60 hm2动态监测样地土壤微生物物种估算[J]. 林业科学, 2019, 55(12): 84-92. |
| 阅读次数 | ||||||
|
全文 |
|
|||||
|
摘要 |
|
|||||