林业科学 ›› 2025, Vol. 61 ›› Issue (10): 135-145.doi: 10.11707/j.1001-7488.LYKX20240656
• 研究论文 • 上一篇
收稿日期:2024-11-05
出版日期:2025-10-25
发布日期:2025-11-05
通讯作者:
夏永秀
E-mail:qjdhtynite@163.com
基金资助:
Jiangtao Guo1,Jingjing Peng2,Xin Ma2,Fan Liu2,Yongxiu Xia2,*(
)
Received:2024-11-05
Online:2025-10-25
Published:2025-11-05
Contact:
Yongxiu Xia
E-mail:qjdhtynite@163.com
摘要:
目的: 针对北方沙地杨树大径材人工林综合地力差、生产力低下等问题,通过常规施肥与滴灌施肥方式,解析杨树人工林对不同水肥条件的响应机制,为研制合理的促进林木生长和地力可持续维护措施提供理论依据和技术指导。方法: 以北方沙地11~12年生欧美杨人工林为研究对象,采用裂区试验设计, 灌溉方式为主因素,设常规灌溉和滴灌2个水平,不同追肥种类为副因素,设不施肥、控释肥、水溶肥、有机粪肥、控释肥配施有机粪肥和水溶肥配施有机粪肥(6个水平,共计12个处理)。连续处理2年后,测定杨树胸径变化、土壤理化性质与土壤酶活性。结果: 在相同施肥条件下,滴灌比常规灌溉更能促进杨树人工林胸径生长。不同肥料类型及其组合对杨树胸径生长和土壤地力有不同效应,其中滴灌条件下单施有机粪肥处理或水溶肥结合有机粪肥处理的效果最佳,而控释肥配合有机粪肥处理的效果最差。施入有机粪肥处理能够提高土壤碱性磷酸酶活性,提高土壤有效磷含量,维持土壤有机质稳定,既能促进胸径增长,又能很好地维护土壤地力。结论: 在北方沙地杨树人工林中,滴灌条件下有机粪肥或水溶肥配合有机粪肥处理促进胸径增长的效果最佳,能提高土壤养分有效性,维持地力,因此建议采用有机粪肥作为基肥,滴灌施肥方式施入水溶肥作为追肥对该地区杨树人工林进行水肥管理。
中图分类号:
郭江涛,彭晶晶,马鑫,刘帆,夏永秀. 北方沙地杨树人工林对常规与滴灌施肥的响应[J]. 林业科学, 2025, 61(10): 135-145.
Jiangtao Guo,Jingjing Peng,Xin Ma,Fan Liu,Yongxiu Xia. Responses of Poplar Plantations in Northern China Sandy Land to Conventional Fertilization and Drip Fertigation[J]. Scientia Silvae Sinicae, 2025, 61(10): 135-145.
表1
试验设计与处理"
| 灌溉方式 Irrigation | 施肥类型 Types of fertilizer | 处理 Treatment |
| 常规灌溉 Conventional irrigation | 不施肥 No fertilization | 常规灌溉?不施肥 Conventional irrigation?no fertilization,CI-F0M0 |
| 有机粪肥 Organic manure | 常规灌溉?施有机粪肥 Conventional irrigation?organic manure,CI-F0M1 | |
| 控释肥 Controlled-release fertilizer | 常规灌溉?施控释肥 Conventional irrigation?controlled-release fertilize, CI-FcM0 | |
| 控释肥+有机粪肥 Controlled-release fertilizer and organic manure | 常规灌溉?施控释肥+有机粪肥 Conventional irrigation?controlled-release fertilizer and organic manure,CI-FcM1 | |
| 水溶肥 Water-soluble fertilizer | 常规灌溉?施水溶肥 Conventional irrigation?water-soluble fertilize,CI-FNPKM0 | |
| 水溶肥+有机粪肥 Water-soluble fertilizer and organic manure | 常规灌溉?施水溶肥+有机粪肥 Conventional irrigation?water-soluble fertilizer and organic manure,CI-FNPKM1 | |
| 滴灌 Drip irrigation | 不施肥 No fertilization | 滴灌?不施肥 Drip irrigation?no fertilization,DI-F0M0 |
| 有机粪肥 Organic manure | 滴灌?施有机粪肥 Drip irrigation?organic manure,DI-F0M1 | |
| 控释肥 Controlled-release fertilizer | 滴灌?施控释肥 Drip irrigation?controlled-release fertilize,DI-FcM0 | |
| 控释肥+有机粪肥 Controlled-release fertilizer and organic manure | 滴灌?施控释肥+有机粪肥 Drip irrigation?controlled-release fertilizer and organic manure,DI-FcM1 | |
| 水溶肥 Water-soluble fertilizer | 滴灌?施水溶肥 Drip irrigation?water-soluble fertilizer,DI-FNPKM0 | |
| 水溶肥+有机粪肥 Water-soluble fertilizer and organic manure | 滴灌?施水溶肥+有机粪肥 Drip irrigation?water-soluble fertilizer and organic manure,DI-FNPKM1 |
图1
不同水肥处理对杨树人工林2年胸径增长量的影响 F0M0:不施肥 No fertilization;F0M1:有机粪肥 Organic manure;FCM0:控释肥Controlled-release fertilizer;FCM1:控释肥+有机粪肥Controlled-release fertilizer and organic manure;FNPKM0:水溶肥Water-soluble fertilizer; FNPKM1:水溶肥+有机粪肥Water-soluble fertilizer and organic manure. 图中数据为平均值±标准偏差,图中不同小写字母表示差异显著(P≤0.05)。The data are means±SD, and bars with different lowercase letters indicate significantly different(P≤0. 05)."
表3
常规与滴灌施肥对杨树人工林土壤理化性质的影响①"
| 处理 Treatment | pH | 有机质 Organic matter/(g·kg?1) | 碱解氮 Alkaline hydrolytic N/(mg·kg?1) | 有效磷 Available P/(mg·kg?1) | 速效钾 Available K/(mg·kg?1) | |
| 主区 Primary area | CI | 8.79a | 3.91b | 35.92b | 8.00b | 66.44b |
| DI | 8.66b | 5.12a | 68.93a | 28.08a | 80.69b | |
| 副区 Split plot | F0M0 | 9.02a | 3.51b | 32.79d | 3.50d | 30.04e |
| F0M1 | 9.02a | 5.4a | 72.87b | 11.25c | 64.54d | |
| FcM0 | 8.43d | 4.73a | 99.70a | 13.75b | 98.54a | |
| FcM1 | 8.39d | 3.73b | 34.18d | 29.47a | 88.96b | |
| FNPKM0 | 8.70c | 4.87a | 44.52c | 10.62c | 67.81d | |
| FNPKM1 | 8.81b | 4.85a | 25.80e | 14.88b | 64.54d | |
| CI | F0M0 | 9.00 ± 0.06ab | 3.11 ± 0.34de | 24.10 ± 2.69i | 3.60 ± 0.20j | 39.03 ± 1.25g |
| F0M1 | 8.99 ± 0.05ab | 4.50 ± 0.47c | 52.80 ± 6.15d | 9.90 ± 0.20g | 82.07 ± 2.70c | |
| FcM0 | 8.40 ± 0.14f | 3.90 ± 0.74cd | 38.80 ± 5.45f | 5.13 ± 0.31i | 47.10 ± 1.10f | |
| FcM1 | 8.87 ± 0.09bcd | 3.62 ± 0.73cde | 28.70 ± 7.05h | 8.8 ± 0.46h | 67.93 ± 0.47d | |
| FNPKM0 | 8.61 ± 0.16e | 5.41 ± 0.45b | 42.87 ± 5.11e | 10.00 ± 0.36fg | 80.50 ± 2.29c | |
| FNPKM1 | 8.89 ± 0.03bc | 2.91 ± 0.37e | 28.27 ± 2.66h | 10.57 ± 0.31f | 82.03 ± 1.85c | |
| DI | F0M0 | 9.04 ± 0.07a | 3.91 ± 0.70cd | 21.10 ± 3.10j | 3.40 ± 0.25j | 39.07 ± 0.31g |
| F0M1 | 9.04 ± 0.05a | 6.30 ± 0.33ab | 21.10 ± 1.00j | 12.60 ± 0.60d | 47.03 ± 0.74f | |
| FcM0 | 8.46 ± 0.04f | 5.56 ± 0.57b | 113.43 ± 8.75b | 22.33 ± 0.25b | 150.00 ± 1.68a | |
| FcM1 | 7.91 ± 0.06g | 3.84 ± 0.39cde | 165.10 ± 8.92a | 50.13 ± 0.21a | 110.00 ± 2.70b | |
| FNPKM0 | 8.79 ± 0.07cd | 4.33 ± 0.55c | 32.23 ± 5.60g | 11.23 ± 0.42e | 55.13 ± 1.22e | |
| FNPKM1 | 8.73 ± 0.06de | 6.80 ± 0.43a | 60.63 ± 5.17c | 20.77 ± 0.35c | 82.93 ± 2.65c | |
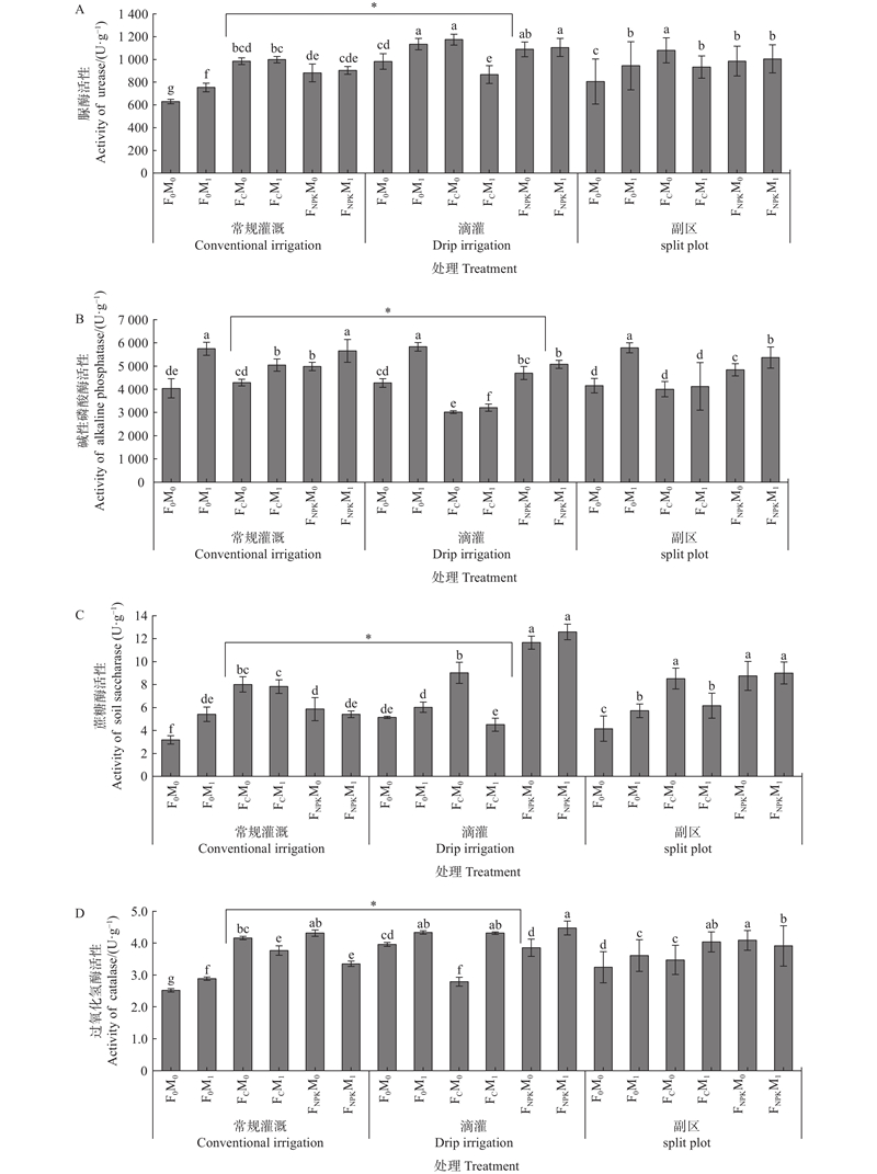
图2
不同水肥处理对杨树人工林土壤酶活性的影响 F0M0:不施肥 No fertilization;F0M1:有机粪肥 Organic manure;FCM0:控释肥Controlled-release fertilizer;FCM1:控释肥+有机粪肥Controlled-release fertilizer and organic manure;FNPKM0:水溶肥 Water-soluble fertilizer; FNPKM1:水溶肥+有机粪肥Water-soluble fertilizer and organic manure.图中数据为平均值±标准偏差,图中误差线上不同小写字母表示不同处理之间差异显著(P≤0.05),*表示不同灌溉方式之间差异显著(P≤0.05)。The data are means ± standard deviation. Bars with different lowercase letters indicate significant differences between treatments (P≤0.05). * indicate significant differences between different irrigation methods (P≤0.05)."
| 戴腾飞, 席本野, 闫小莉, 等. 施肥方式和施氮量对欧美 108 杨人工林土壤氮素垂向运移的影响. 应用生态学报, 2015, 26 (6): 1641- 1648. | |
| Dai T F, Xi B Y, Yan X L, et al. Effects of fertilization method and nitrogen application rate on soil nitrogen vertical migration in a Populus × euramericana cv. ‘Guariento’ plantation. Chinese Journal of Applied Ecology, 2015, 26 (6): 1641- 1648. | |
| 傅建平. 2013. 杨树人工林滴灌技术研究. 北京: 中国林业科学研究院. | |
| Fu J P. 2013. Research on drip irrigation techniques for developing poplar plantation. Beijing: Chinese Academy of Forestry. [in Chinese] | |
| 贺曰林. 2021. 毛白杨S86 人工林根区滴灌施肥及水氮调控机制研究. 北京: 北京林业大学. | |
| He Y L. Research on the drip irrigation-nitrogen fertigation and mechanism of water-nitrogen regulation in root zone for populus tomentosa S86 paltation. Beijing: Beijing Forestry University. [in Chinese] | |
| 贺 勇. 2015. 滴灌栽培杨树幼林N、P、K施肥效应研究. 北京: 中国林业科学研究院. | |
| He Y. 2015. Research on drip fertigation effects of N, P, K for developing poplar plantation. Beijing: Chinese Academy of Forestry. [in Chinese] | |
| 胡建文, 王庆成, 马双娇. 人工林精准施肥研究进展. 世界林业研究, 2020, 33 (4): 37- 42. | |
| Hu J W, Wang Q C, Ma S J. Research advances in precision fertilization regime for plantation forests. World Forestry Research, 2020, 33 (4): 37- 42. | |
| 黄绍敏. 2006. 长期不同施肥模式下潮土肥力演变规律与持续利用研究. 郑州: 河南农业大学. | |
| Huang S M. 2006. Study on fertility evolution and sustainable utilization of fluvo-aquic soil under different long-term fertilization patterns. Zhengzhou: Henan Agricultural University. [in Chinese] | |
| 焦盼盼. 2023. 水分变化对黄土高原典型土壤有机碳矿化影响的微生物作用机制. 北京: 中国科学院大学. | |
| Jiao P P. 2023. Mechanisms of microbial effects of water change on organic carbon mineralization of typical soil on the Loess Plateau. Beijing: University of Chinese Academy of Science. [in Chinese] | |
| 李 格. 2023. 土壤水分稳定性影响番茄和玉米生长发育和产量的生理生态机制. 北京: 中国农业科学研究院. | |
| Li G. 2023. Eco-physiological mechanisms of soil moisture stability affecting the growth, development and yield of tomato(Solanum lycopersicum L. ) and maize (Zea mays L.). Beijing: Chinese Academy of Agriculture Science. [in Chinese] | |
| 刘俊松, 吴雅萍, 左思杰, 等. 控释肥养分释放机理及其影响因素研究进展. 湖北大学学报(自然科学版), 2020, 42 (4): 464- 470. | |
| Liu J S, Wu Y P, Zuo S J, et al. Research advances on nutrients release mechanisms and influencing factors in controlled release fertilizers. Journal of Hubei University (Natural Science), 2020, 42 (4): 464- 470. | |
|
刘 明, 张 民, 杨越超, 等. 控释肥残膜对小麦各生育期土壤微生物和酶活性的影响. 植物营养与肥料学报, 2011, 17 (4): 1012- 1017.
doi: 10.11674/zwyf.2011.0424 |
|
|
Liu M, Zhang M, Yang Y C, et al. Effects of controlled-release fertilizer coating residual on soil microbial quantity and enzyme activity. Plant Nutrition and Fertilizer Science, 2011, 17 (4): 1012- 1017.
doi: 10.11674/zwyf.2011.0424 |
|
|
罗治建, 陈卫文, 鲁剑巍, 等. 江汉平原杨树人工林的施肥方式. 东北林业大学学报, 2005, 4 (4): 98- 99.
doi: 10.3969/j.issn.1000-5382.2005.04.035 |
|
|
Luo Z J, Chen W W, Lu J W, et al. Fertilizer application method for poplar plantation in Jianghan Plain. Journal of Northeast Forestry University, 2005, 4 (4): 98- 99.
doi: 10.3969/j.issn.1000-5382.2005.04.035 |
|
| 毛健辉, 张健朗, 霍春宇, 等. 滴灌施肥对桉树人工林土壤酶活性和细菌群落组成的影响. 中南林业科技大学学报, 2024, 44 (6): 81- 91. | |
| Mao J H, Zhang J L, Huo C Y, et al. Effects of drip fertilization on soil enzyme activities and bacterial community composition in Eucalyptus artificial forest. Journal of Central South University of Forestry & Technology, 2024, 44 (6): 81- 91. | |
| 秘洪雷, 秦杏宇, 兰再平, 等. 灌溉方式对杨树人工林细根分布特征的影响. 水土保持通报, 2021, 41 (5): 23- 29. | |
| Mi H L, Qin X Y, Lan Z P, et al. Effects of irrigation methods on fine root distribution of poplar plantations. Bulletin of Soil and Water Conservation, 2021, 41 (5): 23- 29. | |
| 秦杏宇, 吕馥龄, 彭晶晶等. 2020. 滴灌与沟灌栽培杨树人工林土壤水分动态与生产力. 应用生态学报, 31(5): 1535–1542. | |
| Qin X Y, Lv F L, Peng J J, et al. Soil moisture dynamics and productivity of poplar plantations under drip and furrow irrigation managements. Chinese Journal of Applied Ecology, 31(5): 1535–1542. [in Chinese] | |
| 陶 磊, 褚贵新, 刘 涛, 等. 有机肥替代部分化肥对长期连作棉田产量、土壤微生物数量及酶活性的影响. 生态学报, 2014, 34 (21): 6137- 6146. | |
| Tao L, Chu G X, Liu T, et al. Impacts of organic manure partial substitution for chemical fertilizer on cotton yield, soil microbial community and enzyme activities in mono-cropping system in drip irrigation condition. Acta Ecologica Sinica, 2014, 34 (21): 6137- 6146. | |
| 王文波, 王延平, 王华田, 等. 杨树人工林连作与轮作对土壤氮素细菌类群和氮素代谢的影响. 林业科学, 2016, 52 (5): 45- 54. | |
| Wang W B, Wang Y P, Wang H T, et al. Effects of different continuous cropping and rotation of poplar plantation on soil nitrogen bacteria community and nitrogen metabolism. Scientia Silvae Sinicae, 2016, 52 (5): 45- 54. | |
| 杨才艳, 杨 航, 王慧楠, 等. 2024. 燕麦种植年限对土壤理化性质和酶活性的影响. 草原与草坪, https: //link. cnki. net/urlid/62.1156. S. 20241128.1823. 002. | |
| Yang C Y. 2024. Effects of Avena sativa planting years on soil physical and chemical properties and enzyme activities. Grassland and Turf, https://link.cnki.net/urlid/62.1156.S.20241128.1823.002. [in Chinese] | |
|
杨承栋. 我国人工林土壤有机质的量和质下降是制约林木生长的关键因子. 林业科学, 2016, 52 (12): 1- 12.
doi: 10.11707/j.1001-7488.20161201 |
|
|
Yang C D. Decline of quantity and quality of soil organic matter is the key factor restricting the growth of plantation in China. Scientia Silvae Sinicae, 2016, 52 (12): 1- 12.
doi: 10.11707/j.1001-7488.20161201 |
|
| 张建龙. 2019. 中国森林资源报告. 北京: 中国林业出版社. | |
| Zhang J L. 2019. National forestry and grassland administration. Beijing: China Forestry Publishing House. [in Chinese] | |
|
张 毅, 刘 颖, 程存刚, 等. 牛粪与化肥配施比例对苹果园土壤有机碳库和酶活性的影响. 中国农业科学, 2024, 57 (20): 4107- 4118.
doi: 10.3864/j.issn.0578-1752.2024.20.015 |
|
|
Zhang Y, Liu Y, Cheng C G, et al. Effects of combined application proportion of cow manure and chemical fertilizer on soil organic carbon pool and enzyme activity in apple orchard. Scientia Agricultura Sinica, 2024, 57 (20): 4107- 4118.
doi: 10.3864/j.issn.0578-1752.2024.20.015 |
|
|
Bünemann E K, Bongiorno G, Bai Z G, et al. Soil quality: a critical review. Soil Biology and Biochemistry, 2018, 120, 105- 125.
doi: 10.1016/j.soilbio.2018.01.030 |
|
|
Jiang G Y, Zhang W J, Xu M G, et al. Manure and mineral fertilizer effects on crop yield and soil carbon sequestration: a meta-analysis and modeling across China. Global Biogeochemical Cycles, 2018, 32 (11): 1659- 1672.
doi: 10.1029/2018GB005960 |
|
| Li X, Qiao L, Huang Y P, et al. 2023. Manuring improves soil health by sustaining multifunction at relatively high levels in subtropical area. Agriculture, Ecosystems & Environment, 353: 108539. | |
|
Liu C Z, Han X Z, Lu X C, et al. Response of soil enzymatic activity to pore structure under inversion tillage with organic materials incorporation in a Haplic Chernozem. Journal of Environmental Management, 2024, 370, 122421.
doi: 10.1016/j.jenvman.2024.122421 |
|
|
Luo G W, Li L, Friman V P, et al. Organic amendments increase crop yields by improving microbe-mediated soil functioning of agroecosystems: a meta-analysis. Soil Biology and Biochemistry, 2018, 124, 105- 115.
doi: 10.1016/j.soilbio.2018.06.002 |
|
|
Wingfield M J, Brockerhoff E G, Wingfield B D, et al. Planted forest health: The need for a global strategy. Science, 2015, 349 (6250): 832- 836.
doi: 10.1126/science.aac6674 |
|
|
Wittwer R A, Bender S F, Hartman K, et al. Organic and conservation agriculture promote ecosystem multifunctionality. Science Advances, 2021,
doi: 10.1126/sciadv.abg6995 |
|
|
Xi B Y, Bloomberg M, Watt M S, et al. Modeling growth response to soil water availability simulated by HYDRUS for a mature triploid Populus tomentosa plantation located on the north China Plain. Agricultural Water Management, 2016, 176, 243- 254.
doi: 10.1016/j.agwat.2016.06.017 |
|
|
Zhang X, Liu Y, Zhang Z Y, et al. Soil moisture influences wheat yield by affecting root growth and the composition of microbial communities under drip fertigation. Agricultural Water Management, 2024, 305, 109102.
doi: 10.1016/j.agwat.2024.109102 |
|
|
Zhang X D, Zhao J, Yang L C, et al. Ridge-furrow mulching system regulates diurnal temperature amplitude and wetting-drying alternation behavior in soil to promote maize growth and water use in a semiarid region. Field Crops Research, 2019, 233, 121- 130.
doi: 10.1016/j.fcr.2019.01.009 |
| [1] | 王得伟,王德成,王旭峰,付裕,张学宁,奚倩. 切根施肥对新疆骏枣树根系发育影响[J]. 林业科学, 2025, 61(9): 236-244. |
| [2] | 陈佳宇,李哲瀚,赵平欣,詹笑宇,马远帆,郭福涛. 林火烟气沉降背景下土壤理化性质对杉木挥发性有机物排放特征的影响[J]. 林业科学, 2025, 61(6): 85-98. |
| [3] | 王天欣,牛晋鸿,曹明嵘,刘成功,李金花. 低氮下小黑杨×欧洲黑杨杂交子代苗期性状遗传变异和选择[J]. 林业科学, 2025, 61(2): 142-151. |
| [4] | 张磊,周星鲁,王丽娟,胡建军. 杨树抗虫分子育种与转基因生物安全评价研究进展[J]. 林业科学, 2025, 61(2): 190-203. |
| [5] | 杨玲玉,石文广,罗志斌. 外生菌根真菌卷边桩菇促进宿主灰杨氮吸收利用特征[J]. 林业科学, 2024, 60(9): 69-79. |
| [6] | 邱啸林,王姝敏,余璐,杨宇辰,熊典广,田呈明. 杨树腐烂病菌SNARE蛋白CcNyv1的功能[J]. 林业科学, 2024, 60(9): 90-98. |
| [7] | 王傲宇,郭有正,邓坦,刘洋,邸楠,段劼,李熙萌,席本野. 几种评价植物水分调节策略的方法对比——以毛白杨为例[J]. 林业科学, 2024, 60(8): 109-119. |
| [8] | 徐磊,吴小云,律江,石云,朱梦洵,许行,张志强. 散射辐射比例对华北平原杨树人工林生态系统能量分配的影响[J]. 林业科学, 2024, 60(3): 100-110. |
| [9] | 万家鸣,律江,石云,许行,张志强. 散射辐射对杨树人工林生态系统总初级生产力的影响[J]. 林业科学, 2023, 59(5): 1-10. |
| [10] | 王烨,李广德,刘国彬,廖婷,郭丽琴,姚砚武,曹均. 毛白杨人工林物候特征和生长对施肥的可塑性响应[J]. 林业科学, 2023, 59(5): 32-40. |
| [11] | 韩璐,赵涵,王薇,刘文辉,姜在民,蔡靖. 白杨杂交子代栓塞脆弱性分割及与生长的关系[J]. 林业科学, 2023, 59(3): 94-103. |
| [12] | 王卫锋,赵瑜琦,高苗琴,宗毓铮,郝兴宇. 群众杨幼苗叶光合特性与碳氮分配对CO2浓度和气温升高的响应[J]. 林业科学, 2023, 59(2): 40-47. |
| [13] | 吴祝华,宋娟,朱树林,赵邢,杨学祥,任嘉红,陈凤毛. 植物促生微生物对枫香叶色素组成和根际微生物群落的影响[J]. 林业科学, 2023, 59(12): 125-136. |
| [14] | 赵蕊蕊,刘勇,王凯. 生物炭和有机肥对毛白杨人工林地木质分解及土壤养分循环相关酶活性的影响[J]. 林业科学, 2023, 59(11): 1-11. |
| [15] | 王薇,赵涵,黄欣,侯卓梁,姜在民,蔡靖. 白杨无性系叶片水力及经济性状与生物量的关系[J]. 林业科学, 2023, 59(10): 89-98. |
| 阅读次数 | ||||||
|
全文 |
|
|||||
|
摘要 |
|
|||||