林业科学 ›› 2022, Vol. 58 ›› Issue (11): 118-126.doi: 10.11707/j.1001-7488.20221111
张友静1,李月阳1,赵涵1,程玉弯1,王薇1,姜在民2,蔡靖1,3,*
收稿日期:2021-04-28
出版日期:2022-11-25
发布日期:2023-03-08
通讯作者:
蔡靖
Youjing Zhang1,Yueyang Li1,Han Zhao1,Yuwan Cheng1,Wei Wang1,Zaimin Jiang2,Jing Cai1,3,*
Received:2021-04-28
Online:2022-11-25
Published:2023-03-08
Contact:
Jing Cai
摘要:
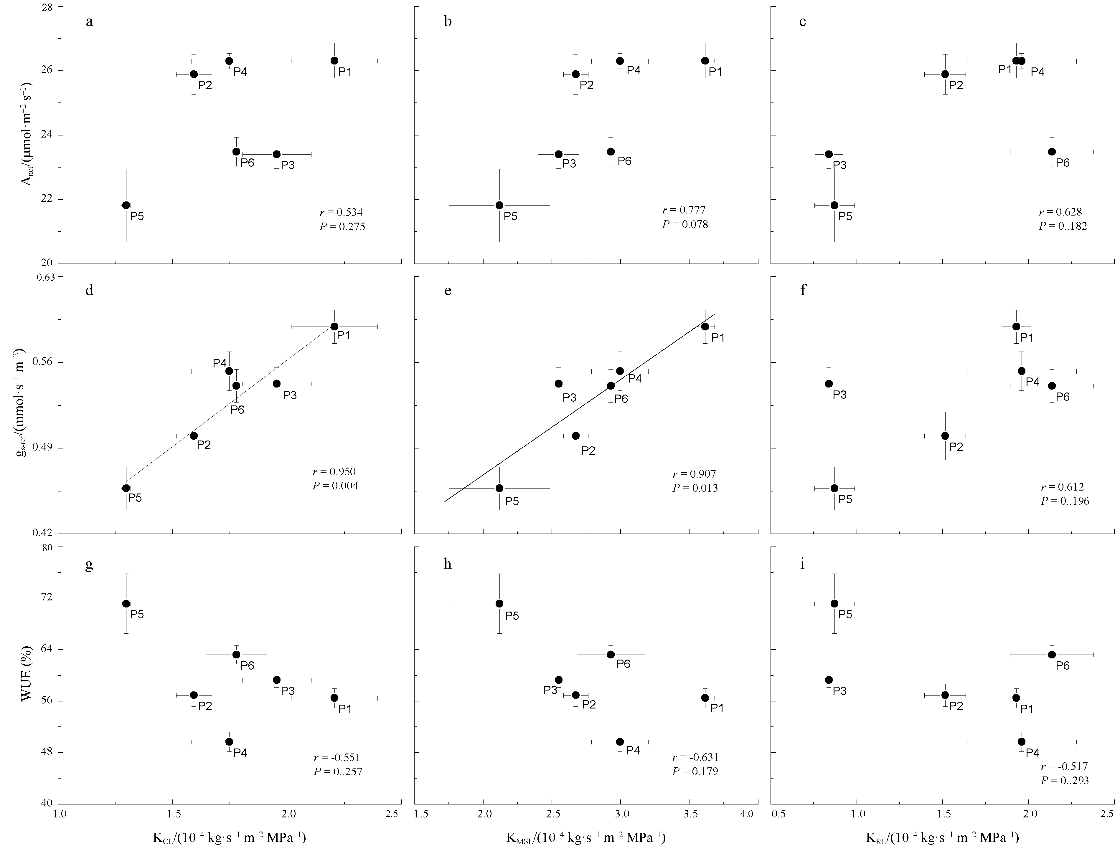
目的: 探究6个白杨无性系水力效率对气体交换和生长性能的影响,阐明水力效率与气体交换和生长的内在关系,为林木抗旱新品种选育提供理论指导。方法: 对6个白杨杂交无性系的2年生苗木,测定气体交换参数(净光合速率Anet、气孔导度gs、参比气孔导度gs-ref、水分利用效率WUE)、叶片水分状况(中午叶水势Ψmd)、水力效率(整个树冠水力效率KCL、主枝水力效率KMSL和根系水力效率KRL)、气孔特征(气孔密度SD、气孔长度SL、气孔面积指数SPI)和生长指标(地径绝对生长速率AGRD和相对生长速率RGRD)。结果: 1)6个白杨无性系的水力效率差异显著,且根、主枝及树冠的水力效率变化具有一致性,即高或低水力效率的无性系其KRL、KMSL及KCL均较高或较低。2)Ψmd与gs的变化密切相关,在Ψmd下降至-1.1 MPa后gs急剧下降,导致Anet相应下降,而AGRD与Anet呈显著正相关。3)SL与KCL、KMSL、gs-ref、AGRD及RGRD显著正相关,SD与KMSL、Anet及AGRD显著负相关。4)KCL、KMSL与gs-ref显著相关,且KCL与gs-ref的相关性更强,表明较高的水力效率利于气孔开放。5)KCL和KMSL呈显著正相关,两者均与AGRD及RGRD显著正相关,其中KCL与RGRD相关性更强。结论: 本研究在白杨无性系水平发现,树木各部分的水力效率相协调,根系、主枝、树冠等水平的水力效率均能反映树木运输水分的能力;水分运输效率与叶片气体交换过程密切相关,并且叶片气孔结构特征与木质部水分运输能力相匹配,高效的水分运输改善了叶片水分状况,促进了气孔开放,提高碳同化能力,从而促进生长。
中图分类号:
张友静,李月阳,赵涵,程玉弯,王薇,姜在民,蔡靖. 6个白杨无性系水力效率与气体交换及生长的关系[J]. 林业科学, 2022, 58(11): 118-126.
Youjing Zhang,Yueyang Li,Han Zhao,Yuwan Cheng,Wei Wang,Zaimin Jiang,Jing Cai. Relationship between Hydraulic Efficiency and Gas Exchange and Growth of Six Poplar Clones[J]. Scientia Silvae Sinicae, 2022, 58(11): 118-126.
表1
主要参数"
| 定义 Denifition | 符号 Symbol | 单位 Units employed |
| 根系水力效率Root hydraulic efficiency | KRL | 10-4 kg·MPa-1s-1m-2 |
| 主枝水力效率Main shoot hydraulic efficiency | KMSL | 10-4 kg·MPa-1s-1m-2 |
| 树冠水力效率Crown hydraulic efficiency | KCL | 10-4 kg·MPa-1s-1m-2 |
| 净光合速率Net photosynthetic rate | Anet | μmol·m-2s-1 |
| 气孔导度Stomatal conductance | gs | mmol·m-2s-1 |
| 水分利用效率Water use efficiency | WUE | μmol·mmol-1 |
| 中午叶水势Midday leaf water potential | Ψmd | MPa |
| 气孔密度Stomatal density | SD | mm-2 |
| 气孔长度Stomatal length | SL | μm |
| 气孔面积指数Stomatal pore area index | SPI | — |
| 地径绝对生长速率Absolute growth rate of ground diameter | AGRD | mm·d-1 |
| 地径相对生长速率Relative growth rate of ground diameter | RGRD | 10-3 mm·mm-1d-1 |
表2
6个白杨无性系水力效率、气体交换、气孔特征和生长速率值(均值±标准误)①"
| 无性系Clone | |||||||
| P1 | P2 | P3 | P4 | P5 | P6 | ||
| 水力效率 Hydraulic efficiency | KRL | 1.93±0.08Bab | 1.51±0.12Bb | 0.83±0.08Bc | 1.96±0.32Bab | 0.87±0.12Bc | 2.14±0.24Ba |
| KMSL | 3.61±0.07Aa | 2.67±0.09Abc | 2.55±0.15Abc | 3.00±0.21Aab | 2.12±0.37Ac | 2.93±0.25Aab | |
| KCL | 2.21±0.19Ba | 1.59±0.08Bbc | 1.95±0.15Bab | 1.75±0.16Bb | 1.30±0.02Bc | 1.78±0.13Bab | |
| 气体交换与叶水势 Gas exchange and leaf potential | Anet | 26.30±0.5a | 25.90±0.6a | 23.40±0.4b | 26.30±0.2a | 21.80±1.1b | 23.50±0.5b |
| gs-ref | 0.59±0.01a | 0.50±0.02c | 0.54±0.01b | 0.55±0.02b | 0.46±0.02c | 0.54±0.01b | |
| WUE | 56.50±1.5bc | 56.90±1.8bc | 59.30±1.1b | 49.70±1.5c | 71.20±4.7a | 63.20±1.4ab | |
| Ψmd | -1.13±0.12a | -1.08±0.13a | -1.32±0.10a | -1.26±0.12a | -1.13±0.13a | -1.16±0.11a | |
| 气孔特征 Stomotal characteristic | SD | 446.0±20c | 471.0±28bc | 540.0±32ab | 497.0±14abc | 555.0±31a | 511.0±16ab |
| SL | 20.7±0.2a | 19.9±0.4b | 20.0±0.3b | 19.9±0.2b | 19.2±0.3c | 20.2±0.2ab | |
| SPI | 19.8±1.0ab | 17.2±1.1b | 22.5±1.6ab | 19.5±0.6ab | 24.1±1.3a | 21.7±0.7ab | |
| 生长速率 Growth rate | AGRD | 0.23±0.02a | 0.22±0.01ab | 0.21±0.01b | 0.21±0.01b | 0.17±0.01c | 0.20±0.01b |
| RGRD | 5.60±0.3a | 5.00±0.2b | 5.20±0.2ab | 5.00±0.2b | 4.80±0.2b | 5.10±0.2ab | |
表3
气孔特征与水力效率、气体交换及生长速率的相关性①"
| 气孔特征 Stomotal characteristic | 水力效率Hydraulic efficiency | 气体交换Gas exchange | 生长速率Growth rate | |||||||
| KCL | KMSL | KRL | Anet | gs-ref | WUE | AGRD | RGRD | |||
| SD | -0.58 | -0.846* | -0.68 | -0.891* | -0.61 | 0.63 | -0.899* | -0.65 | ||
| SL | 0.956** | 0.933** | 0.61 | 0.63 | 0.94** | -0.55 | 0.82* | 0.921** | ||
| SPI | 0.09 | -0.27 | -0.35 | -0.74 | 0.02 | 0.50 | -0.56 | -0.01 | ||
|
李吉跃, 翟洪波. 木本植物水力结构与抗旱性. 应用生态学报, 2000, 11 (2): 301- 305.
doi: 10.3321/j.issn:1001-9332.2000.02.037 |
|
|
Li J Y , Zhai H B . Hydraulic architecture and drought resistance of woody plants. Chinese Journal of Applied Ecology, 2000, 11 (2): 301- 305.
doi: 10.3321/j.issn:1001-9332.2000.02.037 |
|
| 李志民, 王传宽, 罗丹丹. 兴安落叶松叶水力与光合性状的变异性和相关性. 植物生态学报, 2017, 41 (11): 1140- 1148. | |
| Li Z M , Wang C K , Luo D D . Variations and interrelationships of foliar hydraulic and photosynthetic traits for Larix gmelinii. Chinese Journal of Plant Ecology, 2017, 41 (11): 1140- 1148. | |
|
Boyer J S . Leaf water potentials measured with a pressure chamber. Plant Physiology, 1967, 42 (1): 133- 137.
doi: 10.1104/pp.42.1.133 |
|
|
Brodribb T J , Feild T S . Stem hydraulic supply is linked to leaf photosynthetic capacity: evidence from New Caledonian and Tasmanian rainforests. Plant Cell and Environment, 2000, 23 (12): 1381- 1388.
doi: 10.1046/j.1365-3040.2000.00647.x |
|
|
Brodribb T J , Holbrook N M . Stomatal protection against hydraulic failure: a comparison of coexisting ferns and angiosperms. New Phytologist, 2004, 162 (3): 663- 670.
doi: 10.1111/j.1469-8137.2004.01060.x |
|
| Brodribb T J , Holbrook N M , Gutierrez M V . Hydraulic and photosynthetic co-ordination in seasonally dry tropical forest trees. Plant Cell and Environment, 2002, 11 (25): 1435- 1444. | |
|
Campanello P I , Gatti M G , Goldstein G . Coordination between water-transport efficiency and photosynthetic capacity in canopy tree species at different growth irradiances. Tree Physiology, 2008, 28 (1): 85- 94.
doi: 10.1093/treephys/28.1.85 |
|
|
Carvalho M R , Turgeon R , Owens T , et al. The scaling of the hydraulic architecture in poplar leaves. New Phytologist, 2017, 214 (1): 145- 157.
doi: 10.1111/nph.14385 |
|
|
Chamaillard S , Fichot R , Vincent-Barbaroux C , et al. Variations in bulk leaf carbon isotope discrimination, growth and related leaf traits among three Populus nigra L. populations. Tree Physiology, 2011, 31 (10): 1076- 1087.
doi: 10.1093/treephys/tpr089 |
|
|
Ducrey M , Huc R , Ladjal M , et al. Variability in growth, carbon isotope composition, leaf gas exchange and hydraulic traits in the eastern Mediterranean cedars Cedruslibani and C. brevifolia. Tree Physiology, 2008, 28 (5): 689- 701.
doi: 10.1093/treephys/28.5.689 |
|
|
Earles J M , Stevens J T , Sperling O , et al. Extreme mid-winter drought weakens tree hydraulic-carbohydrate systems and slows growth. New Phytologist, 2018, 219 (1): 89- 97.
doi: 10.1111/nph.15136 |
|
|
Fan Z X , Zhang S B , Hao G Y , et al. Hydraulic conductivity traits predict growth rates and adult stature of 40 Asian tropical tree species better than wood density. Journal of Ecology, 2012, 100 (3): 732- 741.
doi: 10.1111/j.1365-2745.2011.01939.x |
|
|
Feild T S , Balun L . Xylem hydraulic and photosynthetic function of Gnetum (Gnetales) species from Papua New Guinea. New Phytologist, 2008, 177 (3): 665- 675.
doi: 10.1111/j.1469-8137.2007.02306.x |
|
|
Fichot R , Chamaillard S , Depardieu C , et al. Hydraulic efficiency and coordination with xylem resistance to cavitation, leaf function, and growth performance among eight unrelated Populus deltoides × Populus nigra hybrids. Journal of Experimental Botany, 2011, 62 (6): 2093- 2106.
doi: 10.1093/jxb/erq415 |
|
|
Fichot R , Laurans F , Monclus R , et al. Xylem anatomy correlates with gas exchange, water-use efficiency and growth performance under contrasting water regimes: evidence from Populus deltoides×Populus nigra hybrids. Tree Physiology, 2009, 29 (12): 1537- 1549.
doi: 10.1093/treephys/tpp087 |
|
|
Franks P J . Higher rates of leaf gas exchange are associated with higher leaf hydrodynamic pressure gradients. Plant Cell and Environment, 2006, 29 (4): 584- 592.
doi: 10.1111/j.1365-3040.2005.01434.x |
|
|
Fu X , Meinzer F C , Woodruff D R , et al. Coordination and trade-offs between leaf and stem hydraulic traits and stomatal regulation along a spectrum of isohydry to anisohydry. Plant Cell and Environment, 2019, 42 (7): 2245- 2258.
doi: 10.1111/pce.13543 |
|
|
Hao G Y , Hoffmann W A , Scholz F G , et al. Stem and leaf hydraulics of congeneric tree species from adjacent tropical savanna and forest ecosystems. Oecologia, 2008, 155 (3): 405- 415.
doi: 10.1007/s00442-007-0918-5 |
|
|
Hubbard R M , Ryan M G , Stiller V , et al. Stomatal conductance and photosynthesis vary linearly with plant hydraulic conductance in ponderosa pine. Plant Cell and Environment, 2001, 24 (1): 113- 121.
doi: 10.1046/j.1365-3040.2001.00660.x |
|
|
Kim S J , Yu D J , Kim T-C , et al. Growth and photosynthetic characteristics of blueberry (Vaccinium corymbosum cv. Bluecrop) under various shade levels. Scientia Horticulturae, 2011, 129 (3): 486- 492.
doi: 10.1016/j.scienta.2011.04.022 |
|
|
Li L , McCormack M L , Ma C , et al. Leaf economics and hydraulic traits are decoupled in five species-rich tropical-subtropical forests. Ecology Letters, 2015, 18 (9): 899- 906.
doi: 10.1111/ele.12466 |
|
|
Li Y , Sperry J S , Shao M . Hydraulic conductance and vulnerability to cavitation in corn (Zea mays L.) hybrids of differing drought resistance. Environmental and Experimental Botany, 2009, 66 (2): 341- 346.
doi: 10.1016/j.envexpbot.2009.02.001 |
|
|
Liu X , Liu H , Gleason S M , et al. Water transport from stem to stomata: the coordination of hydraulic and gas exchange traits across 33 subtropical woody species. Tree Physiology, 2019, 39 (10): 1665- 1674.
doi: 10.1093/treephys/tpz076 |
|
|
Machado J L , Tyree M T . Patterns of hydraulic architecture and water relations of two tropical canopy trees with contrasting leaf phenologies: Ochroma pyramidale and Pseudobombax septenatum. Tree Physiology, 1994, 14 (3): 219- 240.
doi: 10.1093/treephys/14.3.219 |
|
|
Martinez-Vilalta J , Prat E , Oliveras I , et al. Xylem hydraulic properties of roots and stems of nine Mediterranean woody species. Oecologia, 2002, 133 (1): 19- 29.
doi: 10.1007/s00442-002-1009-2 |
|
|
Meinzer F C , Bond B J , Warren J M , et al. Does water transport scale universally with tree size?. Functional Ecology, 2005, 19 (4): 558- 565.
doi: 10.1111/j.1365-2435.2005.01017.x |
|
|
Mendez-Alonzo R , Ewers F W , Jacobsen A L , et al. Covariation between leaf hydraulics and biomechanics is driven by leaf density in Mediterranean shrubs. Trees-Structure and Function, 2019, 33 (2): 507- 519.
doi: 10.1007/s00468-018-1796-7 |
|
|
Neufeld H S , Grantz D A , Meinzer F C , et al. Genotypic variability in vulnerability of leaf xylem to cavitation in water-stressed and well-irrigated sugarcane. Plant Physiology, 1992, 100 (2): 1020- 1028.
doi: 10.1104/pp.100.2.1020 |
|
|
Oren R , Sperry J S , Katul G G , et al. Survey and synthesis of intra- and interspecific variation in stomatal sensitivity to vapour pressure deficit. Plant Cell and Environment, 1999, 22 (12): 1515- 1526.
doi: 10.1046/j.1365-3040.1999.00513.x |
|
|
Philip R . Plant water relations: some physical aspects. Annual Review of Plant Physiology, 1966, 17 (1): 245- 268.
doi: 10.1146/annurev.pp.17.060166.001333 |
|
|
Russo S E , Cannon W L , Elowsky C , et al. Variation in leaf stomatal traits of 28 tree species in relation to gas exchange along an edaphic gradient in a Bornean rainforest. American Journal of Botany, 2010, 97 (7): 1109- 1120.
doi: 10.3732/ajb.0900344 |
|
| Sack L , Scoffoni C . Measurement of leaf hydraulic conductance and stomatal conductance and their responses to irradiance and dehydration using the Evaporative Flux Method (EFM). Journal of Visualized Experiments, 2012, (70): 1- 7. | |
|
Salmon Y , Lintunen A , Dayet A , et al. Leaf carbon and water status control stomatal and nonstomatal limitations of photosynthesis in trees. New Phytologist, 2020, 226 (3): 690- 703.
doi: 10.1111/nph.16436 |
|
|
Sangsing K , Kasemsap P , Thanisawanyangkura S , et al. Xylem embolism and stomatal regulation in two rubber clones (Hevea brasiliensis Muell. Arg.). Trees-Structure and Function, 2004, 18 (2): 109- 114.
doi: 10.1007/s00468-003-0286-7 |
|
|
Santiago L S , De Guzman M E , Baraloto C , et al. Coordination and trade-offs among hydraulic safety, efficiency and drought avoidance traits in Amazonian rainforest canopy tree species. New Phytologist, 2018, 218 (3): 1015- 1024.
doi: 10.1111/nph.15058 |
|
|
Skelton R P , Brodribb T J , McAdam S A M , et al. Gas exchange recovery following natural drought is rapid unless limited by loss of leaf hydraulic conductance: evidence from an evergreen woodland. New Phytologist, 2017, 215 (4): 1399- 1412.
doi: 10.1111/nph.14652 |
|
| Sperry J S , Alder N N , Eastlack S E . The effect of reduced hydraulic conductance on stomatal conductance and xylem cavitation. Journal of Experimental Botany, 1993, 44 (263): 1075- 1082. | |
|
Sperry J S , Meinzer F C , McCulloh K A . Safety and efficiency conflicts in hydraulic architecture: scaling from tissues to trees. Plant Cell and Environment, 2008, 31 (5): 632- 645.
doi: 10.1111/j.1365-3040.2007.01765.x |
|
| Tyree M , Sperry J . Vulnerability of xylem to cavitation and embolism. Annual Review of Plant Physiology and Plant Molecular Biology, 1989, (40): 19- 36. | |
|
Tyree M T . The hydraulic architecture of Thuja occidentalis. Canadian Journal of Botany, 1983, 61 (8): 2105- 2111.
doi: 10.1139/b83-226 |
|
|
Tyree M T . Hydraulic limits on tree performance: transpiration, carbon gain and growth of trees. Trees-Structure and Function, 2003, 17 (2): 95- 100.
doi: 10.1007/s00468-002-0227-x |
|
|
Tyree M T , Ewers F W . The hydraulic architecture of trees and other woody plants. New Phytologist, 1991, 119 (3): 345- 360.
doi: 10.1111/j.1469-8137.1991.tb00035.x |
|
| Tyree M T , Patino S , Bennink J , et al. Dynamic measurements of root hydraulic conductance using a high-pressure flowmeter in the laboratory and field. Journal of Experimental Botany, 1995, 46 (282): 83- 94. | |
|
Tyree M T , Sinclair B , Lu P , et al. Whole shoot hydraulic resistance in Quercus species measured with a new high-pressure flowmeter. Annales Des Sciences Forestieres, 1993, 50 (5): 417- 423.
doi: 10.1051/forest:19930501 |
|
|
Tyree M T , Snyderman D A , Wilmot T R , et al. Water relations and hydraulic architecture of a tropical tree (Schefflera morototoni): data, models, and a comparison with two temperate species (Acer saccharum and Thuja occidentalis). Plant Physiology, 1991, 96 (4): 1105- 1113.
doi: 10.1104/pp.96.4.1105 |
|
|
Tyree M T , Yang S D , Cruiziat P , et al. Novel methods of measuring hydraulic conductivity of tree root systems and interpretation using Amaized. Plant Physiology, 1994, 104 (1): 189- 199.
doi: 10.1104/pp.104.1.189 |
|
|
Van den Honert T H . Water transport in plant as a catenary process. Discussions of the Faraday Society, 1948, 3, 146- 153.
doi: 10.1039/df9480300146 |
|
|
Viger M , Smith H K , Cohen D , et al. Adaptive mechanisms and genomic plasticity for drought tolerance identified in European black poplar (Populus nigra L.). Tree Physiology, 2016, 36 (7): 909- 928.
doi: 10.1093/treephys/tpw017 |
|
|
Xiong D , Nadal M . Linking water relations and hydraulics with photosynthesis. The Plant Journal, 2020, 101 (4): 800- 815.
doi: 10.1111/tpj.14595 |
|
|
Zhu S D , Li R H , He P C , et al. Large branch and leaf hydraulic safety margins in subtropical evergreen broadleaved forest. Tree Physiology, 2019, 39 (8): 1405- 1415.
doi: 10.1093/treephys/tpz028 |
|
|
Zhu S D , Song J J , Li R H , et al. Plant hydraulics and photosynthesis of 34 woody species from different successional stages of subtropical forests. Plant Cell and Environment, 2013, 36 (4): 879- 891.
doi: 10.1111/pce.12024 |
|
|
Zimmermann M H . Hydraulic architecture of some diffuse-porous trees. Canadian Journal of Botany, 1978, 56 (18): 2286- 2295.
doi: 10.1139/b78-274 |
| [1] | 张亚雄,王烨,李广德,李豆豆,贺曰林,席本野,孙丽娟. 三倍体毛白杨分枝格局对不同土壤供水水平的响应[J]. 林业科学, 2021, 57(3): 145-151. |
| [2] | 孙明慧,刘勇,王长伟,李国雷,王苗苗,宋协海,常笑超,万芳芳,宋怀山. 密度和行距配置对毛白杨苗木质量的影响[J]. 林业科学, 2021, 57(3): 152-160. |
| [3] | 乔栋,刘勇,田书勇,张锋,王亚晶,李晓丽,冯雪瑾,张亚男. 木质化期水分管理对毛白杨苗木形态、生理和造林效果的影响[J]. 林业科学, 2021, 57(11): 169-178. |
| [4] | 马煦,曹治国,岳晨,金楚晗,刘俊,刘洋,修桂芳,席本野. 降雨和灌溉影响下毛白杨叶片的颗粒物滞纳特征变化及其生理特性响应规律[J]. 林业科学, 2020, 56(8): 181-190. |
| [5] | 朱嘉磊, 薄慧娟, 李璇, 文春燕, 王江, 聂立水, 田菊, 宋莲君. 不同毛白杨无性系林分蓄积量的长期水氮耦合效应[J]. 林业科学, 2019, 55(5): 27-35. |
| [6] | 安胜男, 马晓军, 朱礼智. 木粉增强P34HB生物复合材料的制备及其结构性能表征[J]. 林业科学, 2019, 55(3): 125-133. |
| [7] | 邹松言,李豆豆,汪金松,邸楠,刘金强,王烨,李广德,段劼,贾黎明,席本野. 毛白杨幼林细根对梯度土壤水分的响应[J]. 林业科学, 2019, 55(10): 124-137. |
| [8] | 成敏敏, 陈柯伊, 朱雪玉, 王凯利, 周明兵, 杨海芸. 花叶矢竹复绿期光合特性及叶绿体结构[J]. 林业科学, 2018, 54(4): 1-10. |
| [9] | 李建波, 贾会霞, 张进, 刘伯斌, 胡建军, 王丽娟, 卢孟柱. 毛白杨PtoWOX4a基因过表达对次生生长的影响[J]. 林业科学, 2018, 54(2): 52-59. |
| [10] | 李豆豆, 席本野, 唐连峰, 冯超, 贺曰林, 张亚雄, 刘龙龙, 刘金强, 贾黎明. 砂壤土下滴灌毛白杨幼林土壤水分运移规律与模拟[J]. 林业科学, 2018, 54(12): 157-168. |
| [11] | 郭文霞, 赵志江, 郑娇, 李俊清. 不同土壤水分条件下油松幼苗光合作用的气孔和非气孔限制——试验和模拟结果[J]. 林业科学, 2017, 53(7): 18-36. |
| [12] | 席本野, 王烨, 贾黎明. 滴灌施肥下施氮量和施氮频率对毛白杨生物量及氮吸收的影响[J]. 林业科学, 2017, 53(5): 63-73. |
| [13] | 徐沁怡, 王标, 赵建文, 吴建峰, 曹亦润, 杨先有, 夏国华, 王正加, 黄坚钦, 胡渊渊. 2种花粉授粉山核桃果皮光合特性的差异比较[J]. 林业科学, 2017, 53(1): 38-46. |
| [14] | 张秀英, 宋瑞清, 张星耀. 杨树受溃疡病菌感染后转录因子的应答变化[J]. 林业科学, 2015, 51(4): 110-115. |
| [15] | 陈佳妮, 廖亮, 黄增冠, 戴文圣, 喻卫武, 胡渊渊, 吴家胜. 香榧与榧树叶片光合特性及其光保护机制的比较[J]. 林业科学, 2015, 51(10): 134-141. |
| 阅读次数 | ||||||
|
全文 |
|
|||||
|
摘要 |
|
|||||