林业科学 ›› 2026, Vol. 62 ›› Issue (3): 1-12.doi: 10.11707/j.1001-7488.LYKX20250058
收稿日期:2025-02-05
修回日期:2025-05-08
出版日期:2026-03-15
发布日期:2026-03-12
通讯作者:
马星霞
E-mail:mxxyln@139.com
基金资助:
Jiayue Zhao1,Zhijie Zong1,Xiyuan Peng1,Zhiqiang Li1,Xingxia Ma2,*(
)
Received:2025-02-05
Revised:2025-05-08
Online:2026-03-15
Published:2026-03-12
Contact:
Xingxia Ma
E-mail:mxxyln@139.com
摘要:
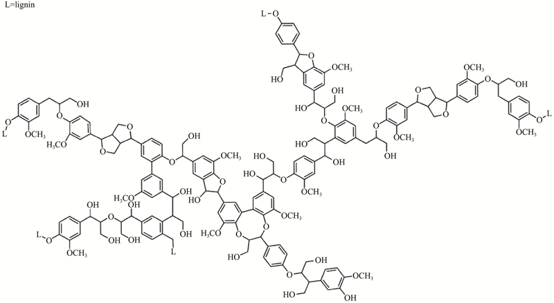
木质素是植物细胞壁的重要组成部分,与纤维素和半纤维素共同构成陆地生态系统中最大的可再生有机碳库。因复杂的分支结构、异质性和多种键型组成,木质素降解往往较为困难,这一特性不仅制约木质素的高值化利用,还在很大程度上限制木质纤维素的高效转化。生物降解是一种绿色、低碳、环保的处理方法,在木质素转化利用中展现出巨大的应用潜力和广阔的发展前景,深入研究木质素的生物降解机制,不仅有助于为生物质转化利用和可再生化学品生产提供新的思路,而且有利于增进对全球碳封存的理解,从而更好应对当前的气候变化和能源危机。真菌作为地球上最主要的分解者,进化出最全面的酶系统用于木质素降解。然而,目前关于真菌降解木质素的研究仍存在诸多空白,其酶系统对木质素的降解机制尚未得到完全阐明。近年来一些研究取得了重要进展,如软腐菌Parascedosporium putredinis NO1分泌一种新型的、不需要辅助因子的木质素氧化酶,可打破木质素结构中的β-醚键,并释放三嗪;白腐菌Echinodontium taxodii可分泌锰过氧化物酶、漆酶和酯酶,这几种胞外酶协同作用对竹子木质素进行选择性脱除,破坏木质素与木聚糖的交联键,从而显著提高纤维素酶对纤维素的可及性和糖化效率。此外,白腐菌Phanerochaete chrysosporium分泌的木质素过氧化物酶PcLiP03通过静电和疏水作用特异性结合于木质素表面,与纤维素的结合能力较弱,纤维素加入几乎不影响PcLiP03对木质素的作用效果。在分解代谢方面,13C同位素标记技术的应用揭示担子菌Agaricus bisporus在胞外对木质素衍生物和天然木质素进行解聚,并以分解产物为碳源和能源,在胞内同化为多种细胞组分。同时,最新研究首次明确证明,厌氧真菌Neocallimastigomycete californiae可通过非特异性的小分子介导木质素解聚过程,改变木质素单体的组成比例,并引发多种木质素的化学键断裂。综上所述,这些研究成果在一定程度上突破了真菌降解木质素的传统认知,为发展更高效、经济的木质素生物降解技术提供了扎实的理论基础,同时为生物地球化学循环提供了全新的见解。下一步研究应进一步明确真菌降解木质素的酶促机制,并继续挖掘真菌代谢路径在木质素高值化利用中的潜力。
中图分类号:
赵佳玥,宗志洁,彭玺元,李志强,马星霞. 真菌降解木质素的酶及其代谢途径研究进展[J]. 林业科学, 2026, 62(3): 1-12.
Jiayue Zhao,Zhijie Zong,Xiyuan Peng,Zhiqiang Li,Xingxia Ma. Research Progress on Enzymes and Metabolic Pathways Involved in Lignin Biodegradation by Fungi[J]. Scientia Silvae Sinicae, 2026, 62(3): 1-12.
| 方 旋, 马星霞, 温敬伟, 等. 出土木质文物中分离真菌的生长特性研究. 北京林业大学学报, 2022, 44 (1): 123- 131. | |
| Fang X, Ma X X, Wen J W, et al. Growth characteristics of fungi isolated from unearthed wooden cultural relics. Journal of Beijing Forestry University, 2022, 44 (1): 123- 131. | |
|
李 坚, 甘文涛, 陈志俊, 等. 向新出发, 木材科学前沿发展. 森林工程, 2025, 41 (1): 1- 39.
doi: 10.7525/j.issn.1006-8023.2025.01.001 |
|
|
Li J, Gan W T, Chen Z J, et al. Frontier advances in wood science towards a new departure. Forest Engineering, 2025, 41 (1): 1- 39.
doi: 10.7525/j.issn.1006-8023.2025.01.001 |
|
|
方 旋, 张景朋, 李嘉欣, 等. 三种古建筑常用阔叶树材耐腐性及防腐可处理性研究. 木材科学与技术, 2024, 38 (2): 29- 35.
doi: 10.12326/j.2096-9694.2023145 |
|
|
Fang X, Zhang J M, Li J X, et al. The decay resistance and preservative treatability of three hardwoods commonly used in ancient buildings. Chinese Journal of Wood Science and Technology, 2024, 38 (2): 29- 35.
doi: 10.12326/j.2096-9694.2023145 |
|
| 马星霞, 蒋明亮, 李志强. 2011. 木材生物降解与保护. 北京: 中国林业出版社. | |
| Ma X X, Jiang M L, Li Z Q. 2011. Wood biodegradation and protection. Beijing: China Forestry Publishing House. [in Chinese] | |
| 孟 圆, 王逸凡, 李小雨, 等. 生物降解木质纤维素类生物质固废物的研究进展. 工业微生物, 2023, 53 (2): 43- 45. | |
| Meng Y, Wang Y F, Li X Y, et al. Research progress in biodegradation of lignocellulosic biomass solid waste. Industrial Microbiology, 2023, 53 (2): 43- 45. | |
|
熊怡心, 王 爽, 马星霞, 等. 木质素氧化酶系高产复合真菌培养体系构建. 林业科学, 2024, 60 (10): 133- 142.
doi: 10.11707/j.1001-7488.LYKX20230074 |
|
|
Xiong Y X, Wang S, Ma X X, et al. Construction of compound fungal culture system for high-yield ligninolytic enzymes. Scientia Silvae Sinicae, 2024, 60 (10): 133- 142.
doi: 10.11707/j.1001-7488.LYKX20230074 |
|
|
Abdel-Hamid A M, Solbiati J O, Cann I K O. Insights into lignin degradation and its potential industrial applications. Advances in Applied Microbiology, 2013, 82, 1- 28.
doi: 10.1016/b978-0-12-407679-2.00001-6 |
|
| Agosin E, Odier E. Solid-state fermentation, lignin degradation and resulting digestibility of wheat straw fermented by selected white-rot fungi. Applied Microbiology and Biotechnology, 1985, 21 (6): 397- 403. | |
|
Andlar M, Rezić T, Marđetko N, et al. Lignocellulose degradation: an overview of fungi and fungal enzymes involved in lignocellulose degradation. Engineering in Life Sciences, 2018, 18 (11): 768- 778.
doi: 10.1002/elsc.201800039 |
|
|
Atiwesh G, Parrish C C, Banoub J, et al. Lignin degradation by microorganisms: a review. Biotechnology Progress, 2022, 38 (2): e3226.
doi: 10.1002/btpr.3226 |
|
| Ayeronfe F, Kassim A, Ishak N, et al. A review on microbial degradation of lignin. Advanced Science Letters, 2018, 24 (6): 4407- 4413. | |
|
Baig K S. Interaction of enzymes with lignocellulosic materials: causes, mechanism and influencing factors. Bioresources and Bioprocessing, 2020, 7 (1): 21.
doi: 10.1186/s40643-020-00310-0 |
|
|
Billings A F, Fortney J L, Hazen T C, et al. Genome sequence and description of the anaerobic lignin-degrading bacterium Tolumonas lignolytica sp. nov. Standards in Genomic Sciences, 2015, 10 (1): 106.
doi: 10.1186/s40793-015-0100-3 |
|
|
Bomble Y J, Lin C Y, Amore A, et al. Lignocellulose deconstruction in the biosphere. Current Opinion in Chemical Biology, 2017, 41, 61- 70.
doi: 10.1016/j.cbpa.2017.10.013 |
|
|
Borneman W S, Hartley R D, Morrison W H, et al. Feruloyl and p-coumaroyl esterase from anaerobic fungi in relation to plant cell wall degradation. Applied Microbiology and Biotechnology, 1990, 33 (3): 345- 351.
doi: 10.1007/BF00164534 |
|
|
Chen J X, Zhang B Y, Luo L L, et al. A review on recycling techniques for bioethanol production from lignocellulosic biomass. Renewable and Sustainable Energy Reviews, 2021, 149, 111370.
doi: 10.1016/j.rser.2021.111370 |
|
|
Dashora K, Gattupalli M, Tripathi G D, et al. Fungal assisted valorisation of polymeric lignin: mechanism, enzymes and perspectives. Catalysts, 2023, 13 (1): 149.
doi: 10.3390/catal13010149 |
|
| Del Cerro C, Erickson E, Dong T, et al. 2021. Intracellular pathways for lignin catabolism in white-rot fungi. Proceedings of the National Academy of Sciences of the United States of America, 118(9): e2017381118. | |
| Ding S Y, Liu Y S, Zeng Y N, et al. 2012. How does plant cell wall nanoscale architecture correlate with enzymatic digestibility? Science, 338(6110): 1055−1060. | |
|
Duran K, Kohlstedt M, van Erven G, et al. From 13C-lignin to 13C-mycelium: Agaricus bisporus uses polymeric lignin as a carbon source. Science Advances, 2024, 10 (16): eadl3419.
doi: 10.1126/sciadv.adl3419 |
|
|
Duran K, Miebach J, van Erven G, et al. Oxidation-driven lignin removal by Agaricus bisporus from wheat straw-based compost at industrial scale. International Journal of Biological Macromolecules, 2023, 246, 125575.
doi: 10.1016/j.ijbiomac.2023.125575 |
|
|
Durrant A J, Wood D A, Cain R B. Lignocellulose biodegradation by Agaricus bisporus during solid substrate fermentation. Journal of General Microbiology, 1991, 137 (4): 751- 755.
doi: 10.1099/00221287-137-4-751 |
|
|
Fang X, Xiong Y X, Li J X, et al. Treatability changes of radiata pine heartwood induced by white-rot fungus Trametes versicolor. Forests, 2023, 14 (5): 1040.
doi: 10.3390/f14051040 |
|
|
Floudas D. Evolution of lignin decomposition systems in fungi. Advances in Botanical Research, 2021, 99, 37- 76.
doi: 10.1016/bs.abr.2021.05.003 |
|
|
Floudas D, Binder M, Riley R, et al. The Paleozoic origin of enzymatic lignin decomposition reconstructed from 31 fungal genomes. Science, 2012, 336 (6089): 1715- 1719.
doi: 10.1126/science.1221748 |
|
|
Fuchs G, Boll M, Heider J. Microbial degradation of aromatic compounds: from one strategy to four. Nature Reviews Microbiology, 2011, 9 (11): 803- 816.
doi: 10.1038/nrmicro2652 |
|
|
Gonzalez A, Corsini G, Lobos S, et al. Metabolic specialization and codon preference of lignocellulolytic genes in the white rot basidiomycete Ceriporiopsis subvermispora. Genes, 2020, 11 (10): 1227.
doi: 10.3390/genes11101227 |
|
|
Harwood C S, Parales R E. The beta-ketoadipate pathway and the biology of self-identity. Annual Review of Microbiology, 1996, 50 (1): 553- 590.
doi: 10.1146/annurev.micro.50.1.553 |
|
|
Hatakka A. Lignin-modifying enzymes from selected white-rot fungi: production and role from in lignin degradation. FEMS Microbiology Reviews, 1994, 13 (2/3): 125- 135.
doi: 10.1111/j.1574-6976.1994.tb00039.x |
|
|
Himmel M E, Ding S Y, Johnson D K, et al. Biomass recalcitrance: engineering plants and enzymes for biofuels production. Science, 2007, 315 (5813): 804- 807.
doi: 10.1126/science.1137016 |
|
|
Hofrichter M. Review: lignin conversion by manganese peroxidase (MnP). Enzyme and Microbial Technology, 2002, 30 (4): 454- 466.
doi: 10.1016/S0141-0229(01)00528-2 |
|
|
Hofrichter M, Vares T, Kalsi M, et al. Production of manganese peroxidase and organic acids and mineralization of 14C-labelled lignin (14C-DHP) during solid-state fermentation of wheat straw with the white rot fungus Nematoloma frowardii. Applied and Environmental Microbiology, 1999, 65 (5): 1864- 1870.
doi: 10.1128/AEM.65.5.1864-1870.1999 |
|
|
Iiyama K, Stone B A, MacAuley B J. Compositional changes in compost during composting and growth of Agaricus bisporus. Applied and Environmental Microbiology, 1994, 60 (5): 1538- 1546.
doi: 10.1128/aem.60.5.1538-1546.1994 |
|
|
Janusz G, Pawlik A, Sulej J, et al. Lignin degradation: microorganisms, enzymes involved, genomes analysis and evolution. FEMS Microbiology Reviews, 2017, 41 (6): 941- 962.
doi: 10.1093/femsre/fux049 |
|
|
Jurak E, Punt A M, Arts W, et al. Fate of carbohydrates and lignin during composting and mycelium growth of Agaricus bisporus on wheat straw based compost. PLoS One, 2015, 10 (10): e0138909.
doi: 10.1371/journal.pone.0138909 |
|
|
Kajikawa H, Kudo H, Kondo T, et al. Degradation of benzyl ether bonds of lignin by ruminal microbes. FEMS Microbiology Letters, 2000, 187 (1): 15- 20.
doi: 10.1111/j.1574-6968.2000.tb09129.x |
|
|
Kapich A, Hofrichter M, Vares T, et al. Coupling of manganese peroxidase-mediated lipid peroxidation with destruction of nonphenolic lignin model compounds and 14C-labeled lignins. Biochemical and Biophysical Research Communications, 1999, 259 (1): 212- 219.
doi: 10.1006/bbrc.1999.0742 |
|
|
Knežević A, Milovanović I, Stajić M, et al. Lignin degradation by selected fungal species. Bioresource Technology, 2013, 138, 117- 123.
doi: 10.1016/j.biortech.2013.03.182 |
|
|
Lankiewicz T S, Choudhary H, Gao Y, et al. Lignin deconstruction by anaerobic fungi. Nature Microbiology, 2023, 8, 596- 610.
doi: 10.1038/s41564-023-01336-8 |
|
|
Lindahl B D, Tunlid A. Ectomycorrhizal fungi - potential organic matter decomposers, yet not saprotrophs. New Phytologist, 2015, 205 (4): 1443- 1447.
doi: 10.1111/nph.13201 |
|
|
Liu Q Q, Luo L, Zheng L Q. Lignins: biosynthesis and biological functions in plants. International Journal of Molecular Sciences, 2018, 19 (2): 335.
doi: 10.3390/ijms19020335 |
|
|
Lubbers R J M, Dilokpimol A, Visser J, et al. A comparison between the homocyclic aromatic metabolic pathways from plant-derived compounds by bacteria and fungi. Biotechnology Advances, 2019, 37 (7): 107396.
doi: 10.1016/j.biotechadv.2019.05.002 |
|
| Lu Y, Lu Y C, Hu H Q, et al. Structural characterization of lignin and its degradation products with spectroscopic methods. Journal of Spectroscopy, 2017, 1, 8951658. | |
|
Ma F Y, Huang X, Ke M, et al. Role of selective fungal delignification in overcoming the saccharification recalcitrance of bamboo culms. ACS Sustainable Chemistry & Engineering, 2017a, 5 (10): 8884- 8894.
doi: 10.1021/acssuschemeng.7b01685 |
|
|
Ma X X, Jiang M L, Liu J L, et al. Preliminary analysis of amplicon high-throughput sequencing as a method for the assessment of fungal diversity in discolored wood. Holzforschung, 2017b, 71 (10): 793- 800.
doi: 10.1515/hf-2017-0015 |
|
|
Ma X X, Jiang M L, Wu Y Z, et al. Effect of wood surface treatment on fungal decay and termite resistance. BioResources, 2013, 8 (2): 2366- 2375.
doi: 10.15376/biores.8.2.2366-2375 |
|
| Masai E J, Katayama Y, Fukuda M. 2007. Genetic and biochemical investigations on bacterial catabolic pathways for lignin-derived aromatic compounds. Bioscience, Biotechnology, and Biochemistry, 71(1): 1−15. | |
| McLeod M P, Warren R L, Hsiao W W L, et al. The complete genome of Rhodococcus sp. RHA1 provides insights into a catabolic powerhouse. Proceedings of the National Academy of Sciences of the United States of America, 2006, 103 (42): 15582- 15587. | |
|
Middelhoven W J. Catabolism of benzene compounds by ascomycetous and basidiomycetous yeasts and yeastlike fungi: a literature review and an experimental approach. Antonie van Leeuwenhoek, 1993, 63 (2): 125- 144.
doi: 10.1007/BF00872388 |
|
|
Nakagame S, Chandra R P, Kadla J F, et al. Enhancing the enzymatic hydrolysis of lignocellulosic biomass by increasing the carboxylic acid content of the associated lignin. Biotechnology and Bioengineering, 2011, 108 (3): 538- 548.
doi: 10.1002/bit.22981 |
|
|
Nguyen T V T, Gye H, Baek H, et al. Selective adsorption of lignin peroxidase on lignin for biocatalytic conversion of poplar wood biomass to value-added chemicals. ACS Applied Materials & Interfaces, 2024, 16 (45): 62203- 62212.
doi: 10.1021/acsami.4c14971 |
| [1] | 张宇薇,莫梦婷,舒博,姚佳佳,袁志林. 真菌诱导子促进桑黄黄酮类物质积累及主要作用机制[J]. 林业科学, 2026, 62(3): 146-160. |
| [2] | 李威, 于珍珍, 何徽, 赵佳璐, 刘西军. 碳输入改变对湿地松人工成熟林土壤微生物群落的影响[J]. 林业科学, 2025, 61(6): 232-242. |
| [3] | 庄鹏,彭金根,刘思佳,白宇清,张露文,李荣生,杨锦昌,谢利娟,蔡洪月. 不同生长势毛棉杜鹃根部内生真菌多样性差异[J]. 林业科学, 2025, 61(5): 61-73. |
| [4] | 李鑫,刘红霞,陈生娟,盛敏. 混交林驯化的AMF通过抑制侧柏生长增强刺槐的竞争优势[J]. 林业科学, 2025, 61(10): 87-95. |
| [5] | 张时馨,耿阳阳,周汀,王纪辉,胡伯凯,刘亚娜. 橙黄乳菇对马尾松和华山松幼苗生长及根系代谢物的调控[J]. 林业科学, 2024, 60(9): 50-58. |
| [6] | 杨淑雅,王镜如,朱滢滢,伊力塔,刘美华. 杉木与浙江楠混交对根系分泌物和丛枝菌根真菌群落结构的影响[J]. 林业科学, 2024, 60(9): 59-68. |
| [7] | 耿显胜,舒金平,刘莹,刘军. 浙江省香椿溃疡病病原菌的分离和鉴定[J]. 林业科学, 2024, 60(5): 151-157. |
| [8] | 谢宪,邓勋,宋丽文,梁军. 落叶松枯梢病罹病叶及病梢真菌多样性[J]. 林业科学, 2024, 60(10): 76-85. |
| [9] | 熊怡心,王爽,马星霞,孙志勤. 木质素氧化酶系高产复合真菌培养体系构建[J]. 林业科学, 2024, 60(10): 133-142. |
| [10] | 樊玥,罗培润,王威,谢倩,陈清西. 印度梨形孢与杜鹃共生体系建立及提高抗旱性效应[J]. 林业科学, 2024, 60(1): 93-102. |
| [11] | 崔朝伟,彭丽鸿,马东旭,王佳琪,江祥庆,江先桂,马祥庆,林开敏. 间伐对杉木人工林土壤微生物残体碳的影响[J]. 林业科学, 2023, 59(5): 41-52. |
| [12] | 程鑫,吴纯泽,韦庆钰,李伟,卫星. 水曲柳丛枝菌根真菌接菌苗对干旱胁迫的生长和生理响应[J]. 林业科学, 2023, 59(2): 58-66. |
| [13] | 黄迪,陈园,钟泺龙,梁家俊,王正木,陈祖静. 桉树生长和防御相关酶对摩西管柄囊霉和青枯菌的响应[J]. 林业科学, 2023, 59(11): 68-75. |
| [14] | 王晓,毕银丽,王义,田野,李强,杜昕鹏,郭芸. 沙棘林密度和丛枝菌根真菌接种对林下植物和土壤性状的影响[J]. 林业科学, 2023, 59(10): 138-149. |
| [15] | 唐汉尧,郑吉阳,王敦. 摩泽蒲螨携带杀虫真菌靶向防治光肩星天牛[J]. 林业科学, 2022, 58(8): 157-164. |
| 阅读次数 | ||||||
|
全文 |
|
|||||
|
摘要 |
|
|||||