欢迎访问林业科学,今天是

林业科学 ›› 1996, Vol. 32 ›› Issue (3): 206-212.

• 论文及研究报告 • 上一篇    下一篇

华山松针叶中矿质元素含量的地理变异

张云跃1,肖绍东1,李佩瑜2,王巨生2,彭志成3   

  1. 1. 湖南省安化县林业局, 安化 413500
    2. 湖南省安化县林业科学研究所, 安化 413509
    3. 湖南省林业厅, 长沙 410007
  • 收稿日期:1995-01-23 出版日期:1996-05-25 发布日期:1996-05-25

GEOGRAPHIC VARIATION IN FOLIAR MINERAL ELEMENT CONCENTRATIONS OF PINUS ARMANDII SEED SOURCES

Yunyue Zhang1,Shaodong Xiao1,Peiyu Li2,Jusheng Wang2,Zhicheng Peng3   

  1. 1. Anhua Forest Bureau Anhua 413500
    2. Research Institue of Anhua County Anhua 413509
    3. Forest Bureau of Hunan Province Changsha 410007
  • Received:1995-01-23 Online:1996-05-25 Published:1996-05-25

摘要:

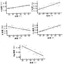
以12年生的种源林为取材对象, 在1991年4月30日、7月30日、10月30日及1992年1月30日同时采当年和1年生针叶, 测定N、P、K、Ca和Mg浓度。结果表明, 除K外, 其它矿质元素浓度种源间存在极显著差异。地理变异呈纬向渐变型。极端温度与元素地理差异有密切关系, 并构成主导自然选择压。元素浓度的季节动态与针叶生长节律循环相伴。南、北华山松已分化成两个营养能力显著不同的地理种群, 但动态模式基本相似。

关键词: 华山松, 种源, 矿质元素, 地理变异

Abstract:

For examining the variation of foliar mineral element concentration, the needle samples from ten sample trees in each of 26 seed sources within a 12-year old provenance trial located in Anhua County, Hunan Province were collected. For studying seasonal dynamics of mineral element concentrations the needles were collected on the following dates: April 30, July 30 and October 30 of 1991 and January 30 of 1992.At each sampling date the current and previous-year needls on the second whorl from crown top were sampled respectively.Thus at each sampling date there was one sample per needle age class from ten sample trees for analysis. Concentrations of N, P, K, Ca and Mg were determined by the Analysis Centre of Central-Southern Forestry College. The results showed that concentrations of all measured nutrient element among provenances varied significantly and the apparent geographic variation pattern was exist with significant correlation coefficients related to the latitudes and longitude of seed origins. The concentrations of N, P and Ca of northern seed source group were higher than those of southern seed source group and the K and Mg concentration were lower than those of southern seed source, but the pattern of seasonal change in concentration of mineral elements was similar for the two different distinct geographic regions, i. e. Yunnan-Guizhou Plateau and Qinling-Dabashan Mountains.

Key words: Pinus armandii, Seed source, Mineral element, Seasonal change