欢迎访问林业科学,今天是

林业科学 ›› 2026, Vol. 62 ›› Issue (1): 32-41.doi: 10.11707/j.1001-7488.LYKX20250221

• 前沿热点 • 上一篇    下一篇

杨树杂交子代苗期动态生长性状的全基因组选择

郭臣臣1,李旗1,李思缘1,王泽民2,陈赢男1,*(),韦素云1,胡建军3,*()   

  1. 1. 林木遗传育种全国重点实验室 南方现代林业协同创新中心 林木遗传与生物技术教育部重点实验室 南京林业大学林草学院 南京210037
    2. 江苏省黄海农场有限公司 盐城224000
    3. 林木遗传育种全国重点实验室 中国林业科学研究院林业研究所 北京 100091
  • 收稿日期:2025-04-11 修回日期:2025-10-14 出版日期:2026-01-25 发布日期:2026-01-14
  • 通讯作者: 陈赢男,胡建军 E-mail:chenyingnan@njfu.edu.cn;hujj@caf.ac.cn
  • 基金资助:
    农业生物育种重大项目(2022ZD0401501);国家自然科学基金面上项目(32471900)。

Genomic Selection for Dynamic Growth Traits during the Seedling Stage of Poplar Hybrid Population

Chenchen Guo1,Qi Li1,Siyuan Li1,Zemin Wang2,Yingnan Chen1,*(),Suyun Wei1,Jianjun Hu3,*()   

  1. 1. State Key Laboratory of Tree Genetics and Breeding Co-Innovation Center for Sustainable Forestry in Southern China Key Laboratory of Forest Genetics and Biotechnology of Ministry of Education College of Forestry and Grassland, Nanjing Forestry University Nanjing 210037
    2. Jiangsu Huanghai Agricultural Reclamation Co., Ltd. Yancheng 224000
    3. State Key Laboratory of Tree Genetics and Breeding Research Institute of Forestry, Chinese Academy of Forestry Beijing 100091
  • Received:2025-04-11 Revised:2025-10-14 Online:2026-01-25 Published:2026-01-14
  • Contact: Yingnan Chen,Jianjun Hu E-mail:chenyingnan@njfu.edu.cn;hujj@caf.ac.cn

摘要:

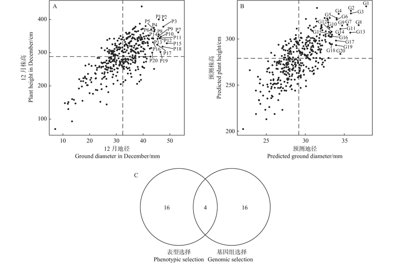
目的: 优化杨树苗期动态生长性状的全基因组选择,为提高预测准确度和实现优良子代早期选择提供参考。方法: 以母本‘南林895’杨和父本‘京兴1号’杨的400株杂交F1子代为材料,分别在4—9月每月测定1次地径和株高,并采用全基因组重测序获取基因型数据。利用GBLUP、BayesA、BayesC、支持向量回归、梯度提升、随机森林方法,评估不同月份表型数据对全基因组选择模型预测准确度的影响。在12月生长季结束时,测定最终的地径和株高,以验证各全基因组选择模型对最终表型值的预测准确度。结果: 杂交群体的地径和株高均值随月份增加逐渐上升,并在9月达到最高值,变异系数范围分别为0.23~0.34和0.18~0.54,广泛的遗传变异表明具有较高的选择潜力,狭义遗传力估算范围分别为0.42~0.47和0.39~0.62。GBLUP、BayesA、BayesC和支持向量回归模型在所有月份对地径和株高的预测准确度高于梯度提升和随机森林模型,其中地径和株高的预测准确率最高的月份分别在6月和9月。利用12月最终生长数据对不同全基因组选择模型预测准确率进行评估,6、7、8、9月构建的全基因组选择模型在地径和株高上的预测准确率显著高于4月和5月,其中,9月份表型构建的 BayesA 模型对地径和株高的预测准确率较高,因此选择该模型对400个杂交子代的育种值进行预测和筛选。根据12月表型观测值和全基因组选择预测育种值筛选出的优良基因型,有4个杂交子代被2种方法同时选出。结论: 全基因组选择能够有效筛选出杨树苗期动态生长性状中优良子代,为杨树育种中优良子代的早期选择提供了有效方法。

关键词: 全基因组选择, 动态生长性状, 杨树, 预测准确度, 五折交叉验证

Abstract:

Objective: Genomic selection for optimizing dynamic growth traits during the seedling stage of poplar is crucial for improving prediction accuracy and facilitating early selection of superior offspring. Method: A total of 400 F1 hybrid progeny derived from a cross between Nanlin 895 poplar (female parent) and Jingxing Yihao poplar (male parent) were used as materials. Ground diameter and plant height were measured monthly from April to September, and genotypic data were obtained through whole-genome resequencing. Six genomic selection models, such as GBLUP, BayesA, BayesC, support vector regression, gradient boosting, and random forest, were employed to evaluate the impact of monthly phenotypic data on the prediction accuracy of genomic selection. Additionally, final ground diameter and plant height were measured at the end of the growing season in December to validate the predictive accuracy of each genomic selection model for final phenotypic values. Result: The mean values of ground diameter and plant height in the hybrid population increased gradually over the months, reaching their maximum in September. The coefficients of variation ranged from 0.23 to 0.34 for ground diameter and from 0.18 to 0.54 for plant height, indicating substantial genetic variation and significant selection potential. Narrow-sense heritability estimates ranged from 0.42 to 0.47 for ground diameter and from 0.39 to 0.62 for plant height. Among the genomic selection models, GBLUP, BayesA, BayesC, and support vector regression consistently had higher prediction accuracy for ground diameter and plant height across all months compared to gradient boosting and random forest. The highest prediction accuracies for ground diameter and plant height were observed in June and September, respectively. The final growth data collected in December was used to evaluate the prediction accuracy of different genomic selection models, and the results showed that models constructed with phenotypic data from June, July, August, and September had significantly higher prediction accuracies for ground diameter and plant height compared to those built with data from April and May. Among them, the BayesA model based on September phenotypes exhibited the highest prediction accuracy for the both traits and was therefore selected to predict and screen the breeding values of the 400 hybrid progenies. Based on the December phenotypic observations and the predicted breeding values through genome selection, four hybrid progenies were consistently selected by both methods for their superior genotype. Conclusion: Genomic selection can effectively identify superior progeny for dynamic growth traits during the seedling stage of poplar, providing an efficient method for the early selection of superior progeny in poplar breeding.

Key words: genomic selection, dynamic growth traits, poplar, prediction accuracy, five-fold cross-validation

中图分类号: