林业科学 ›› 2026, Vol. 62 ›› Issue (2): 1-14.doi: 10.11707/j.1001-7488.LYKX20240814
• 前沿热点 •
左壮1,金星姬1,*(
),Pukkala Timo1,2,李凤日1
收稿日期:2024-12-31
修回日期:2025-06-05
出版日期:2026-02-25
发布日期:2026-03-04
通讯作者:
金星姬
E-mail:xingjijin@nefu.edu.cn
基金资助:
Zhuang Zuo1,Xingji Jin1,*(
),Timo Pukkala1,2,Fengri Li1
Received:2024-12-31
Revised:2025-06-05
Online:2026-02-25
Published:2026-03-04
Contact:
Xingji Jin
E-mail:xingjijin@nefu.edu.cn
摘要:
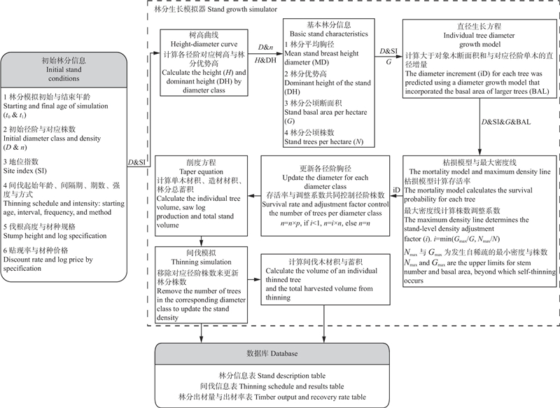
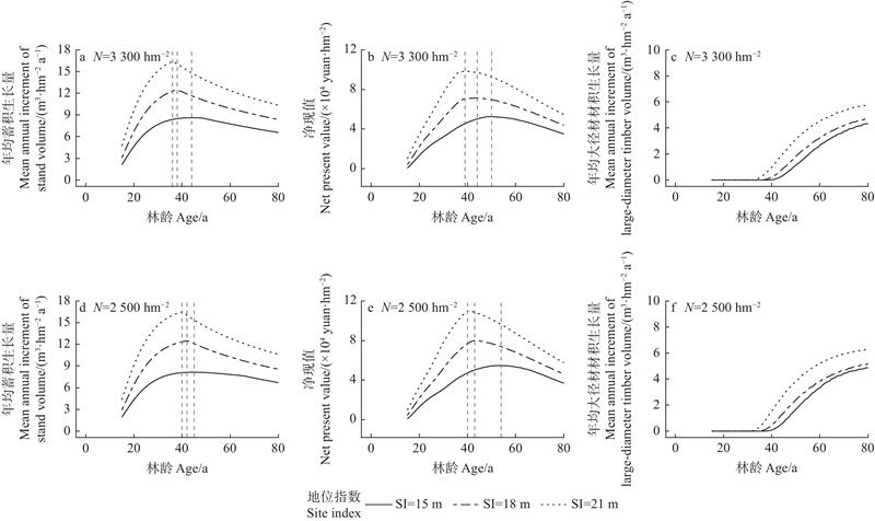
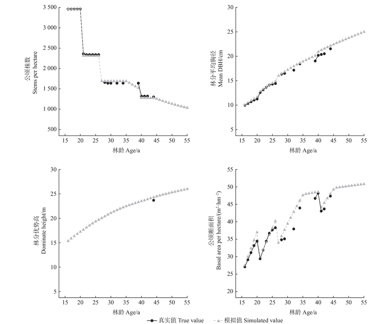
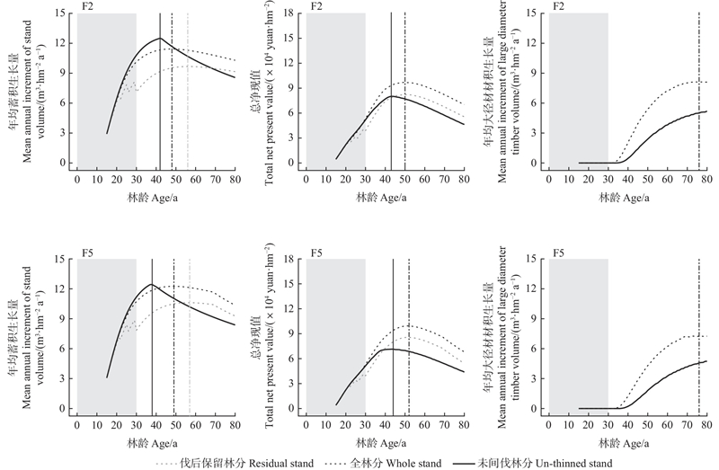
目的: 探究初植密度、立地条件和间伐管理对樟子松人工林成熟龄的影响,阐明间伐强度对樟子松人工林蓄积量、经济和径材收获的作用,为樟子松人工林经营管理提供科学依据。方法: 基于樟子松人工林固定样地数据,构建一组包含直径生长模型、枯损模型、树高曲线模型、地位指数模型、最大密度线与削度方程相耦合的樟子松生长收获模型组,集成为林分生长模拟器,以年均蓄积量、年均大径材材积和净现值最大分别为数量成熟、工艺成熟和经济成熟标准,通过模拟器模拟林分生长,对比不同强度间伐方案下的人工林数量、经济和工艺成熟龄及其成熟期蓄积量、净现值和材积收获。结果: 构建的林分生长模拟器可有效实现樟子松人工林生长与间伐模拟,模拟值与实测值平均相对误差均不超过5%。自然生长状态下,2种初植密度(3 300和2 500株·hm?2)的樟子松人工林数量成熟龄为:地位指数(SI)= 15 m时44~45年,SI = 18 m时38~42年,SI = 21 m时36~40年;贴现率3%,樟子松人工林经济成熟龄为:SI = 15 m时50~54年,SI = 18 m时44~43年,SI = 21 m时39~40年;数量和经济成熟随立地质量提高和初植密度增加而提前,但80年前未达工艺成熟。中、上等立地林分,轻、中度间伐后,数量和经济成熟推迟,数量成熟时林分年均蓄积生长量为未间伐林分的91%~104%,经济成熟时林分总净现值为未间伐林分的113%~141%,大径材生产提前;重度间伐下,大径材工艺成熟提前至60~65年,成熟时林分年均大径材材积为未间伐林分80年时的106%~173%,经济成熟推迟4~7年,成熟期净现值为未间伐林分的102%~132%,且该强度间伐下,高初植密度林分数量成熟推迟而低初植密度林分数量成熟提前,但成熟时总蓄积量仅为未间伐林分的74%~89%;当保留林分达数量成熟时,即保留林分的生长潜力充分发挥,林分年均蓄积生长量仅为未间伐林分的93%~95%,林分总蓄积量可达未间伐林分的92%~128%。下等立地林分,轻、中度间伐后,数量成熟时,林分年均蓄积生长量为未间伐林分的80%~97%,经济成熟时,林分净现值为未间伐林分的94%~107%;尽管重度间伐使工艺成熟提前至60年前,但成熟时林分年均大径材产量仅为未间伐林分80年时的45%~64%,即使至保留林分数量成熟,林分总蓄积量也仅为未间伐林分的52%~61%,且该强度间伐下,林分数量和经济成熟时的总蓄积量与经济收益亦分别损失50%~56%与18%~33%。故当以培育大径材为目标时,建议选择中、上等立地林分并进行中高强度间伐管理,实施高强度间伐时需关注保留林分的数量成熟龄以充分发挥其生产力潜力。结论: 在人工林高效培育和储备林建设背景下,基于模拟?优化技术探究不同抚育间伐措施下的森林成熟十分必要,可有效提升林分蓄积量、大径材产量和经济收益。
中图分类号:
左壮,金星姬,Pukkala Timo,李凤日. 抚育间伐强度对樟子松人工林成熟龄的影响[J]. 林业科学, 2026, 62(2): 1-14.
Zhuang Zuo,Xingji Jin,Timo Pukkala,Fengri Li. Effects of Thinning Intensity on the Maturity Age of Mongolian Pine Plantations[J]. Scientia Silvae Sinicae, 2026, 62(2): 1-14.
表1
樟子松人工林样地林分与单木因子统计"
| 变量 Variables | 样本量 Number of samples | 平均值 Mean | 标准差 SD | 最小值 Min | 最大值 Max | |
| 林分因子 Stand variables | 林龄Age/a | 200 | 33.4 | 11.7 | 13.0 | 66.0 |
| 公顷株数Stems per hectare | 271 | 1 955 | 1 084 | 144 | 8 400 | |
| 林分平均胸径Mean DBH/cm | 271 | 16.8 | 5.7 | 6.3 | 33.5 | |
| 林分平均高Mean height/m | 200 | 16.3 | 4.7 | 4.5 | 25.4 | |
| 林分优势高Dominant height/m | 200 | 18.9 | 4.6 | 7.1 | 27.2 | |
| 公顷断面积Basal area per hectare/(m2·hm?2) | 271 | 33.5 | 7.6 | 8.0 | 57.7 | |
| 坡度Slope/(°) | 170 | 5.7 | 6.2 | 0.0 | 22.0 | |
| 单木因子 Individual tree variables | 胸径DBH/cm | 45 707 | 17.4 | 6.4 | 5.0 | 46.9 |
| 树高Height/m | 26 875 | 15.3 | 4.6 | 4.2 | 30.9 | |
表4
不同初始条件和间伐强度下全林分经济、数量和工艺成熟龄"
| 条件Conditions | 数量成熟龄 Quantitative maturity age/a | 经济成熟龄 Economic maturity age/a | 工艺成熟龄 Technical maturity age/a | 样地号 No. | ||||||||||||
| 初植密度Initial planting density/(plants·hm?2) | 地位指数 Site index (SI)/m | 0 | 10% | 25% | 40% | 0 | 10% | 25% | 40% | 0 | 10% | 25% | 40% | |||
| 15 | 45 | 44 | 36 | 29 | 54 | 51 | 50 | 45 | >80 | >80 | 65 | 51 | F1 | |||
| 18 | 42 | 50 | 48 | 37 | 43 | 51 | 50 | 48 | >80 | >80 | 76 | 62 | F2 | |||
| 21 | 40 | 47 | 46 | 38 | 40 | 47 | 48 | 47 | >80 | >80 | 77 | 60 | F3 | |||
| 15 | 44 | 44 | 39 | 30 | 50 | 53 | 50 | 46 | >80 | >80 | 73 | 56 | F4 | |||
| 18 | 38 | 44 | 49 | 40 | 44 | 45 | 52 | 48 | >80 | >80 | 76 | 65 | F5 | |||
| 21 | 36 | 42 | 47 | 40 | 39 | 45 | 49 | 46 | >80 | >80 | 72 | 63 | F6 | |||
表5
不同初始条件和间伐强度下全林分和保留林分数量成熟龄及成熟期总蓄积量"
| 样地号 No. | 全林分数量成熟龄 Whole-stand quantitative maturity age/a | 保留林分数量成熟龄 Residual-stand quantitative maturity age/a | 全林分数量成熟期 总蓄积量 Total volume at whole-stand quantitative maturity/(m3·hm?2) | 保留林分数量成熟期 总蓄积量 Total volume at residual-stand quantitative maturity/(m3·hm?2) | |||||||||||||
| 0 | 10% | 25% | 40% | 10% | 25% | 40% | 0 | 10% | 25% | 40% | 10% | 25% | 40% | ||||
| F1 | 45 | 44 | 36 | 29 | 46 | 47 | 40 | 367 | 340 | 235 | 160 | 352 | 293 | 190 | |||
| F2 | 42 | 50 | 48 | 37 | 50 | 56 | 56 | 525 | 627 | 549 | 344 | 625 | 628 | 483 | |||
| F3 | 40 | 47 | 46 | 38 | 47 | 54 | 54 | 660 | 787 | 724 | 508 | 785 | 836 | 678 | |||
| F4 | 44 | 44 | 39 | 30 | 46 | 48 | 43 | 379 | 368 | 286 | 186 | 380 | 341 | 230 | |||
| F5 | 38 | 44 | 49 | 40 | 42 | 57 | 57 | 472 | 567 | 601 | 410 | 562 | 686 | 548 | |||
| F6 | 36 | 42 | 47 | 40 | 42 | 54 | 55 | 591 | 714 | 783 | 582 | 710 | 885 | 758 | |||
| 陈长启, 和璐璐, 段 劼. 北京油松人工林生长对密度和立地的响应. 西南林业大学学报(自然科学), 2024, 44 (6): 8- 20. | |
| Chen C Q, He L L, Duan J. Growth pattern to density and site condition of Pinus tabuliformis plantation in Beijing. Journal of Southwest Forestry University (Natural Sciences), 2024, 44 (6): 8- 20. | |
| 丁伟林, 蒋彬彬, 刘灿辉, 等. 陈山红心杉人工林最佳轮伐期的确定. 南方林业科学, 2023, 51 (1): 34- 40,78. | |
| Ding W L, Jiang B B, Liu C H, et al. Determination of the optimal rotation period of Chenshan red-heart Chinese fir plantation. South China Forestry Science, 2023, 51 (1): 34- 40,78. | |
| 董章凯, 曹国玉, 于见丽, 等. 毛白杨胶合板用材林适宜采伐年龄的研究. 河北林业科技, 2021 (1): 1- 5. | |
| Dong Z K, Cao G Y, Yu J L, et al. Determination of suitable cutting age for plywood plantation of Populus tomentosa. The Journal of Hebei Forestry Science and Technology, 2021 (1): 1- 5. | |
| 段丰沛, 李春兰, 王 鹏, 等. 小陇山林区日本落叶松人工林采伐年龄的确定. 西北林学院学报, 2017, 32 (6): 60- 66. | |
| Duan F P, Li C L, Wang P, et al. Establishment of the optimal harvest time of Larix kaempferi plantation in Xiaolongshan forest area. Journal of Northwest Forestry University, 2017, 32 (6): 60- 66. | |
| 傅校平. 杉木人工林不同间伐强度对林分生物量的影响. 福建林业科技, 2000, 27 (2): 41- 43. | |
| Fu X P. Effects of the different thinning intensity of Cunninghamia lanceolata forests on the stand biomass. Journal of Fujian Forestry Science and Technology, 2000, 27 (2): 41- 43. | |
| 高慧淋, 董利虎, 李凤日. 基于分位数回归的长白落叶松人工林最大密度线. 应用生态学报, 2016, 27 (11): 3420- 3426. | |
| Gao H L, Dong L H, Li F R. Maximum density-size line for Larix olgensis plantations based on quantile regression. Chinese Journal of Applied Ecology, 2016, 27 (11): 3420- 3426. | |
| 郭光智, 段爱国, 张建国, 等. 南亚热带杉木人工林材种结构长期立地与密度效应. 林业科学研究, 2020, 33 (1): 35- 43. | |
| Guo G Z, Duan A G, Zhang J G, et al. Long-term effects of site and density on timber assortment structure of Chinese fir plantations in south subtropical area, China. Forest Research, 2020, 33 (1): 35- 43. | |
| 金文华, 金洪旺, 李金芬, 等. 金殿林场森林消防水池林木采伐设计探讨. 林业勘查设计, 2019, 48 (4): 10- 13. | |
| Jin W H, Jin H W, Li J F, et al. Discussion on the design of forest felling of forest fire pool in Jindian forest farm. Forest Investigation Design, 2019, 48 (4): 10- 13. | |
| 亢新刚. 2011. 森林经理学. 4版. 北京: 中国林业出版社, 124−155. | |
| Kang X G. 2011. Forest management. 4th version. Beijing: China Forestry Publishing House, 124−155. [in Chinese] | |
| 李晓伟. 2020. 传统回归和机器学习人工林生长模型与经济成熟研究: 以广西高峰林场桉树和林朵林场杉木为例. 北京: 北京林业大学. | |
| Li X W. 2020. Study on growth model and economic maturity of traditional regression and machine learning: taking Eucalyptus at Gaofeng and Chinese fir at Linduo forest farm in Guangxi for example. Beijing: Beijing Forestry University. [in Chinese] | |
| 李子敬, 孙晓梅, 张守攻, 等. 北亚热带日本落叶松纸浆林经济成熟龄的确定. 东北林业大学学报, 2011, 39 (8): 1- 4. | |
| Li Z J, Sun X M, Zhang S G, et al. Age of economic maturity of Larix kaempferi pulpwood plantations in northern sub-tropical alpine area, China. Journal of Northeast Forestry University, 2011, 39 (8): 1- 4. | |
| 刘 林, 孙洪刚, 王宇华, 等. 基于试验数据的人工用材林最优轮伐期确定的研究进展. 林业科学研究, 2024, 37 (2): 201- 210. | |
| Liu L, Sun H G, Wang Y H, et al. Research progress in the optimal rotation of forest plantations based on experimental data. Forest Research, 2024, 37 (2): 201- 210. | |
| 刘 敏, 卢志朋, 安宇宁, 等. 樟子松人工林密度调控中不同方式间伐对林木生长的影响. 防护林科技, 2022 (5): 29- 31, 37. | |
| Liu M, Lu Z P, An Y N, et al. Effect of different thinning methods on forest tree growth in density regulation of Pinus sylvestris var. mongolica plantation. Protection Forest Science and Technology, 2022 (5): 29- 31, 37. | |
| 刘永刚, 胡光辉, 陈 伟, 等. 思茅松纸浆用材林初植密度与合理采伐年龄分析. 西部林业科学, 2022, 51 (5): 1- 8. | |
| Liu Y G, Hu G H, Chen W, et al. Preliminary study on initial density and rational cutting age of Pinus kesiya var. langbianensis pulpwood plantation. Journal of West China Forestry Science, 2022, 51 (5): 1- 8. | |
| 吕 洁, 童茜坪, 金星姬, 等. 应用优化建模法构建红松人工林单木直径生长模型. 东北林业大学学报, 2024, 52 (5): 63- 69, 74. | |
| Lü J, Tong Q P, Jin X J, et al. Construction of individual tree diameter growth model for Pinus koraiensis plantation based on optimization modeling methods. Journal of Northeast Forestry University, 2024, 52 (5): 63- 69, 74. | |
| 吕彦飞, 牛鉴祺, 王树力. 抚育间伐对小黑杨人工林非结构性碳和氮磷钾生态化学计量特征的影响. 森林工程, 2024, 40 (5): 62- 73. | |
| Lü Y F, Niu J Q, Wang S L. Effects of tending thinning on non-structural carbon and NPK ecological stoichiometric charac-teristics in Populus×xiaohei plantations. Forest Engineering, 2024, 40 (5): 62- 73. | |
| 史忠阁, 李存芳, 赵淑英. 大兴安岭南部天然白桦生长规律研究. 林业资源管理, 2014 (1): 62- 65, 97. | |
| Shi Z G, Li C F, Zhao S Y. The growth dynamics of natural birch forest in southern part of the Daxing’anling Mountains. Forest Resources Management, 2014 (1): 62- 65, 97. | |
| 唐继新, 贾宏炎, 王 科, 等. 密度调控对米老排中龄人工林生长的影响. 南京林业大学学报(自然科学版), 2019, 43 (1): 45- 53. | |
| Tang J X, Jia H Y, Wang K, et al. Effect of density regulation on growth of Mytilaria laosensis plantation with middle age. Journal of Nanjing Forestry University (Natural Sciences Edition), 2019, 43 (1): 45- 53. | |
| 王维芳, 韩子丰, 李国春. 基于泰森多边形图法的樟子松人工林林分空间结构参数与林分优化. 森林工程, 2025, 41 (5): 948- 957. | |
| Wang W F, Han Z F, Li G C. Spatial structure parameters based on Voronoi diagram and stand optimization of Pinus sylvestris plantation. Forest Engineering, 2025, 41 (5): 948- 957. | |
| 相聪伟, 张建国, 段爱国. 山地杉木人工林优势木选择方法的研究. 西北农林科技大学学报(自然科学版), 2012, 40 (9): 51- 58. | |
| Xiang C W, Zhang J G, Duan A G. Study on accurate dominant tree selection method in Cunninghamia lanceolata mountain plantation. Journal of Northwest A & F University (Natural Science Edition), 2012, 40 (9): 51- 58. | |
| 相聪伟, 张建国, 段爱国, 等. 杉木林分蓄积生长的密度及立地效应. 林业科学研究, 2014, 27 (6): 801- 808. | |
| Xiang C W, Zhang J G, Duan A G, et al. Effects of planting density and site quality on stand volume of Chinese fir plantation. Forest Research, 2014, 27 (6): 801- 808. | |
| 相聪伟, 张建国, 段爱国, 等. 杉木人工林材种结构的立地及密度效应研究. 林业科学研究, 2015, 28 (5): 654- 659. | |
| Xiang C W, Zhang J G, Duan A G, et al. Effects of site quality and planting density on wood assortment rate in Chinese fir plantation. Forest Research, 2015, 28 (5): 654- 659. | |
| 辛士冬, 姜立春. 利用分位数回归模拟人工樟子松树干干形. 北京林业大学学报, 2020, 42 (2): 1- 8. | |
| Xin S D, Jiang L C. Modeling stem taper profile for Pinus sylvestris plantations using nonlinear quantile regression. Journal of Beijing Forestry University, 2020, 42 (2): 1- 8. | |
| 许冠军, 郑 宏, 林开敏, 等. 间伐密度管理模式对杉木大径材生长的影响. 福建农林大学学报(自然科学版), 2019, 48 (6): 753- 759. | |
| Xu G J, Zheng H, Lin K M, et al. Effects of thinning management mode on the growth of large diameter timber of Chinese fir. Journal of Fujian Agriculture and Forestry University (Natural Science Edition), 2019, 48 (6): 753- 759. | |
| 袁 慧, 刘 波, 陈书杭, 等. 湖北高密度杉木人工林生长规律研究. 湖北林业科技, 2021, 50 (3): 1- 7, 17. | |
| Yuan H, Liu B, Chen S H, et al. Growth regularity of high density Cunninghamia lanceolata plantations in Hubei. Hubei Forestry Science and Technology, 2021, 50 (3): 1- 7, 17. | |
| 赵文学. 樟子松林分成熟年龄的研究. 林业勘查设计, 2021, 50 (2): 50- 53. | |
| Zhao W X. Study on mature age of Pinus sylvestris var. mongolica Litv. stand. Forest Investigation Design, 2021, 50 (2): 50- 53. | |
| 郑吉林. 柴河林业局樟子松人工林资源的现状与抚育间伐的研究. 林业勘查设计, 2014, 43 (1): 65- 67. | |
| Zheng J L. Research on status and intermediate cutting of Pinus sylvestris var. mongolica plantation resources in Chaihe forestry bureau. Forest Investigation Design, 2014, 43 (1): 65- 67. | |
| 郑冕烜. 2018. 邵武卫闽国有林场杉木人工林经济成熟龄研究. 福州: 福建农林大学. | |
| Zheng M X. 2018. Studies on Shaowu Weimin state-owned forest farm the felling age of Chinese fir plantation. Fuzhou: Fujian Agriculture and Forestry University [in Chinese] | |
| 周 宏, 东昌山, 杨玉林, 等. 樟子松人工林抚育间伐初始期及强度的探讨. 西北林学院学报, 2011, 26 (1): 187- 189, 194. | |
| Zhou H, Dong C S, Yang Y L, et al. Ditermination of initial period of thing and intensity Pinus sylvestris var. mongolica Litv. plantation. Journal of Northwest Forestry University, 2011, 26 (1): 187- 189, 194. | |
| 周宗哲. 福建柏人工林工艺成熟的研究. 福建林业科技, 2016, 43 (4): 153- 158. | |
| Zhou Z Z. Study on the technical mature of Fokienia hodginsii plantation. Journal of Fujian Forestry Science and Technology, 2016, 43 (4): 153- 158. | |
|
Álvarez González J G, Ruíz González A D, Rodríguez Soalleiro R, et al. Ecoregional site index models for Pinus pinaster in Galicia (northwestern Spain). Annals of Forest Science, 2005, 62 (2): 115- 127.
doi: 10.1051/forest:2005003 |
|
|
Coordes R. Influence of planting density and rotation age on the profitability of timber production for Norway spruce in central Europe. European Journal of Forest Research, 2013, 132 (2): 297- 311.
doi: 10.1007/s10342-012-0675-9 |
|
|
del Río M, Calama R, Cañellas I, et al. Thinning intensity and growth response in SW-European Scots pine stands. Annals of Forest Science, 2008, 65 (3): 308.
doi: 10.1051/forest:2008009 |
|
|
Dong L H, Pukkala T, Li F R, et al. Developing distance-dependent growth models from irregularly measured sample plot data: a case for Larix olgensis in northeast China. Forest Ecology and Management, 2021, 486, 118965.
doi: 10.1016/j.foreco.2021.118965 |
|
|
Engel M, Vospernik S, Toïgo M, et al. Simulating the effects of thinning and species mixing on stands of oak (Quercus petraea (Matt. ) Liebl. /Quercus robur L. ) and pine (Pinus sylvestris L. ) across Europe. Ecological Modelling, 2021, 442, 109406.
doi: 10.1016/j.ecolmodel.2020.109406 |
|
| Fang Z X, Bailey R L. Height–diameter models for tropical forests on Hainan Island in southern China. Forest Ecology and Management, 1998, 110 (1/2/3): 315- 327. | |
|
Heiðarsson L, Pukkala T, Snorrason A. Individual-tree growth models for Sitka spruce (Picea sitchensis) in Iceland. Icelandic Agricultural Sciences, 2022, 35, 3- 16.
doi: 10.16886/IAS.2022.01 |
|
|
Hyytiäinen K, Tahvonen O, Valsta L. Optimum juvenile density, harvesting, and stand structure in even-aged Scots pine stands. Forest Science, 2005, 51 (2): 120- 133.
doi: 10.1093/forestscience/51.2.120 |
|
| Jin X J, Pukkala T, Li F R, et al. Developing growth models for tree plantations using inadequate data: a case for Korean pine in northeast China. Silva Fennica, 2019, 53 (4): 10217. | |
|
Li Y C, Li H P, Zhang W, et al. The effects of thinning on tree growth and stand biomass in a chronosequence of Pinus tabuliformis plantations in the Loess Plateau of China. Forests, 2023, 14 (8): 1620.
doi: 10.3390/f14081620 |
|
|
Li Z C, Xiao J, Lu G, et al. Productivity and profitability of Larix principis-rupprechtii and Pinus tabuliformis plantation forests in northeast China. Forest Policy and Economics, 2020, 121, 102314.
doi: 10.1016/j.forpol.2020.102314 |
|
|
Liu L, Li Y, Zhang J G, et al. Impact of initial planting density on the optimal economic rotation of Chinese fir (Cunninghamia lanceolata (Lamb. ) Hook) in an experimental forest plantation. Forests, 2019, 10 (9): 713.
doi: 10.3390/f10090713 |
|
|
Nishizono T, Tanaka K, Hosoda K, et al. Effects of thinning and site productivity on culmination of stand growth: results from long-term monitoring experiments in Japanese cedar (Cryptomeria japonica D. Don) forests in northeastern Japan. Journal of Forest Research, 2008, 13 (5): 264- 274.
doi: 10.1007/s10310-008-0082-8 |
|
|
Nishizono T. Effects of thinning level and site productivity on age-related changes in stand volume growth can be explained by a single rescaled growth curve. Forest Ecology and Management, 2010, 259 (12): 2276- 2291.
doi: 10.1016/j.foreco.2010.03.002 |
|
|
Sa Q L, Jin X J, Pukkala T, et al. Developing Weibull-based diameter distributions for the major coniferous species in Heilongjiang Province, China. Journal of Forestry Research, 2023, 34 (6): 1803- 1815.
doi: 10.1007/s11676-023-01610-9 |
|
|
Vacek Z, Vacek S, Cukor J. European forests under global climate change: review of tree growth processes, crises and management strategies. Journal of Environmental Management, 2023, 332, 117353.
doi: 10.1016/j.jenvman.2023.117353 |
| [1] | 刘世荣,陈远其,聂秀青,明安刚,王晖. 树种多样性对森林生态系统多功能性和韧性的影响[J]. 林业科学, 2026, 62(1): 1-18. |
| [2] | 岑启兰,刘润洪,罗欣宇,宋慧清,何鹏,秦惠珍,申卫军. 马尾松和红锥混交林及其纯林根系与菌丝对土壤不同磷组分含量的影响及其调控机制[J]. 林业科学, 2026, 62(1): 19-31. |
| [3] | 何潇,曾伟生,陈新云,黄宏超,雷相东. 我国4种落叶松人工林的林分优势高和平均高转换模型[J]. 林业科学, 2026, 62(1): 223-230. |
| [4] | 王亚飞,邹瑜,朱叙存,张树森,李少然,王烨,贾黎明. 毛白杨人工林叶片−细根表型及生长节律对间伐的可塑性响应[J]. 林业科学, 2026, 62(1): 95-108. |
| [5] | 朱教君,宋立宁,王国晨. 沙地樟子松引种70年的历史、进展与展望[J]. 林业科学, 2025, 61(7): 23-34. |
| [6] | 李平平,王彦辉,于澎涛,王依瑞,段文标,万艳芳,韦小茶,史再军. 黄土高原刺槐人工林生长对立地质量和林分密度的响应[J]. 林业科学, 2025, 61(7): 192-207. |
| [7] | 崔自杰,孙阁,张瑶琦,杜阿朋,刘效东. 中国桉树人工林水文效应研究进展[J]. 林业科学, 2025, 61(7): 129-139. |
| [8] | 冉馨,孙晓梅,吴春燕,陈东升,王宏星,张守攻. 降水减少和间伐对日本落叶松人工林根系分布与生理特性的影响[J]. 林业科学, 2025, 61(7): 157-169. |
| [9] | 胡建文,刘常富,勾蒙蒙,雷蕾,陈会玲,张佳佳,朱粟锋,斛如媛,肖文发. 马尾松人工林土壤有机碳及其组分对林龄的响应及驱动因素[J]. 林业科学, 2025, 61(6): 75-84. |
| [10] | 李威, 于珍珍, 何徽, 赵佳璐, 刘西军. 碳输入改变对湿地松人工成熟林土壤微生物群落的影响[J]. 林业科学, 2025, 61(6): 232-242. |
| [11] | 孙英杰,张德楠,沈育伊,徐广平,曹杨,黄科朝,陈运霜,毛馨月,滕秋梅,吕仕洪,褚俊智. 模拟氮沉降对中亚热带桉树人工林土壤微生物群落结构及酶活性的影响[J]. 林业科学, 2025, 61(5): 46-60. |
| [12] | 朱粟锋,勾蒙蒙,赵海平,刘常富,简尊吉,朱建华,肖文发. 基于CBM-CFS3模型的不同采伐情景下马尾松人工林生态系统碳动态[J]. 林业科学, 2025, 61(12): 24-33. |
| [13] | 李倩,张帆,孟祥雪,吴小云,庞建壮,许行,张志强. 基于分解重构与机器学习的华北平原杨树人工林净碳交换模拟[J]. 林业科学, 2025, 61(12): 72-82. |
| [14] | 殷晓晴,马岚,牛凤娇. 模拟干旱条件下晋西黄土区刺槐林土壤水分运移特征[J]. 林业科学, 2025, 61(10): 49-59. |
| [15] | 张孝琰,倪晓凤,蔡琼,吉成均. 塞罕坝不同林龄华北落叶松人工林林下植物叶解剖特征及其氮添加响应[J]. 林业科学, 2025, 61(1): 37-46. |
| 阅读次数 | ||||||
|
全文 |
|
|||||
|
摘要 |
|
|||||