林业科学 ›› 2026, Vol. 62 ›› Issue (1): 19-31.doi: 10.11707/j.1001-7488.LYKX20250034
收稿日期:2025-01-16
修回日期:2025-11-03
出版日期:2026-01-25
发布日期:2026-01-14
通讯作者:
申卫军
E-mail:shenweijun@gxu.edu.cn
基金资助:
Qilan Cen,Runhong Liu,Xinyu Luo,Huiqing Song,Peng He,Huizhen Qin,Weijun Shen*(
)
Received:2025-01-16
Revised:2025-11-03
Online:2026-01-25
Published:2026-01-14
Contact:
Weijun Shen
E-mail:shenweijun@gxu.edu.cn
摘要:
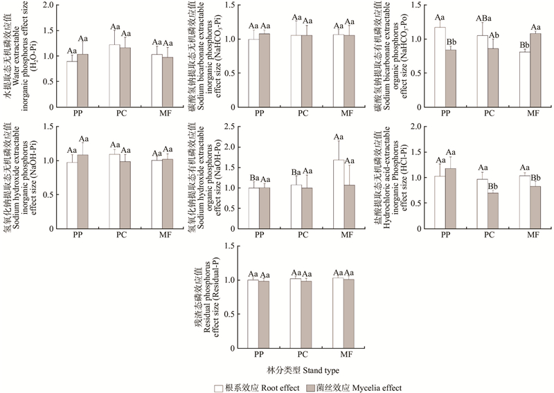
目的: 探究马尾松和红锥混交林及相应纯林中根系与菌丝对土壤不同磷组分含量的影响及其调控机制,为亚热带人工林营造过程中的树种选择与配置及养分精准管理提供理论依据。方法: 以马尾松和红锥混交林及其纯林为研究对象,利用不同孔径(2 mm、48 μm和1 μm)的内生长袋原位区分根系与菌丝对土壤不同磷组分含量的调控作用,测定土壤中的磷组分含量等土壤理化性质及微生物生物量碳、氮、磷含量和酶活性,系统比较不同林分中根系与菌丝对土壤不同磷组分含量的影响,并借助相关性分析、方差分解和冗余分析识别关键调控因子。结果: 1) 相较于马尾松纯林,马尾松和红锥混交林可显著增强中等活性磷组分(NaOH-Po)的正向根系效应和活性磷组分(NaHCO3-Po)的负向根系效应,同时也显著增强活性磷组分(NaHCO3-Po)的正向菌丝效应和稳定磷组分(HCl-Pi)的负向菌丝效应(P<0.05)。2) 树种混交一方面通过根系介导的生物过程(抑制β-1,4-葡萄糖苷酶活性)与非生物过程(降低土壤pH值)显著促进中等活性磷组分(NaOH-Po)的积累(P<0.05),并推动活性磷组分向中等活性磷组分转化;另一方面通过菌丝介导的生物过程(增加微生物生物量碳含量和微生物生物量氮含量)显著增加活性磷组分(NaHCO3-Po)含量(P<0.05),并活化稳定磷组分,使其向活性磷组分转化。3) 相关性分析、方差分解和冗余分析结果进一步表明,生物因素是影响根系与菌丝调控土壤不同磷组分含量的关键因素。结论: 树种混交主要通过根系介导的生物与非生物过程及菌丝介导的生物过程调控土壤不同磷组分含量,其中生物因子起核心作用。在人工林经营中,应充分考虑不同树种根系与菌丝的生态策略,优化树种配置以提升土壤磷有效性和人工林生产力。
中图分类号:
岑启兰,刘润洪,罗欣宇,宋慧清,何鹏,秦惠珍,申卫军. 马尾松和红锥混交林及其纯林根系与菌丝对土壤不同磷组分含量的影响及其调控机制[J]. 林业科学, 2026, 62(1): 19-31.
Qilan Cen,Runhong Liu,Xinyu Luo,Huiqing Song,Peng He,Huizhen Qin,Weijun Shen. Influence and Regulatory Mechanisms of Roots and Mycelium of Pinus massoniana and Castanopsis hystrix Forests and Their Mixed Forest on the Contents of Different Soil Phosphorus Fractions[J]. Scientia Silvae Sinicae, 2026, 62(1): 19-31.
表1
各林分类型概况①"
| 林分类型 Stand type | 平均胸径 Mean diameter at breast height/cm | 平均树高 Mean tree height/m | 郁闭度 Canopy density (%) | 坡度 Slope/(°) | 海拔 Altitude/m | |||
| 马尾松 Pinus massoniana | 红锥 Castanopsis hystrix | 马尾松 Pinus massoniana | 红锥 Castanopsis hystrix | |||||
| PP | 45.4±9.0 | — | 25.6±3.2 | — | 77.3±0.1 | 32.1~31.5 | 440~500 | |
| PC | — | 28.4±9.05 | — | 17.6±5.4 | 81.4±1.5 | 28.5~30.3 | 472~567 | |
| MF | 41.1±5.7 | 22.1±6.5 | 20.6±3.3 | 18.1±2.2 | 81.4±0.0 | 31.2~32.5 | 441~503 | |
表2
不同林分类型中根系和菌丝对土壤基本理化性质的影响①"
| 林分类型 Stand type | 根系/菌丝效应 Root/mycelia effect | pH | SWC | TC | TN | TP |
| PP | 根系效应 Root effect | 1.04±0.02 Aa | 0.81±0.13 Ab | 1.03±0.02 Aa | 1.05±0.05 Aa | 1.00±0.03 Aa |
| 菌丝效应 Mycelia effect | 1.02±0.03 Aa | 1.11±0.15 Aa | 0.93±0.06 Bb | 0.99±0.04 Aa | 1.03±0.07 Aa | |
| PC | 根系效应 Root effect | 0.97±0.02 Bb | 1.01±0.06 Aa | 0.98±0.02 Ab | 0.98±0.05 Aa | 1.02±0.04 Aa |
| 菌丝效应 Mycelia effect | 1.02±0.02 Aa | 1.11±0.10 Aa | 1.03±0.02 Aa | 1.01±0.03 Aa | 0.99±0.03 Aa | |
| MF | 根系效应 Root effect | 1.00±0.03 Ba | 1.02±0.10 Aa | 1.00±0.04 Aa | 1.05±0.08 Aa | 0.99±0.04 Aa |
| 菌丝效应 Mycelia effect | 1.00±0.02 Aa | 0.91±0.04 Aa | 1.01±0.04 ABa | 0.94±0.05 Aa | 0.99±0.02 Aa |
图4
根系和菌丝效应下土壤磷组分与非生物和生物因子的Spearman相关性 H2O-Pi:水提取态无机磷含量 Water extractable inorganic phosphorus content;NaHCO3-Pi:碳酸氢钠提取态无机磷含量 Sodium bicarbonate extractable inorganic phosphorus content;NaHCO3-Po:碳酸氢钠提取态有机磷含量 Sodium bicarbonate extractable organic phosphorus content;NaOH-Pi:氢氧化钠提取态无机磷含量 Sodium hydroxide extractable inorganic phosphorus content;NaOH-Po:氢氧化钠提取态有机磷含量 Sodium hydroxide extractable organic phosphorus content;HCl-Pi:盐酸提取态无机磷含量 Hydrochloric acid extractable inorganic phosphorus content;Residual-P:残渣态磷含量 Residual phosphorus content;AP:活性磷含量 Active phosphorus content;MAP:中等活性磷含量 Moderately active phosphorus content;SP:稳定磷含量 Stable phosphorus content;TC:总碳含量Total carbon content;TN:总氮含量 Total nitrogen content;TP:总磷含量 Total phosphorus content;SWC:土壤含水量 Soil moisture content;MBC:微生物生物量碳含量 Microbial biomass carbon content;MBN:微生物生物量氮含量 Microbial biomass nitrogen content;MBP:微生物生物量磷含量 Microbial biomass phosphorus content;AG:α-1,4-葡萄糖苷酶活性 α-1,4-glucosidase activity;BG:β-1,4-葡萄糖苷酶活性 β-1,4-glucosidase activity;NAG:β-N-乙酰葡糖胺酶活性 β-1,4-N-acetyl-glucosaminidase activity;LAP:亮氨酸氨基肽酶活性 Leucine aminopeptidase activity;ACP:酸性磷酸酶活性 Acid phosphatase activity. **:P <0.01;*: P <0.05."
图6
根系和菌丝效应下土壤磷组分与非生物和生物因子的冗余分析 (a)根系效应Root effect;(b)菌丝效应Mycelia effect。PP:马尾松纯林 Pure Pinus massoniana stand;PC:红锥纯林 Pure Castanopsis hystrix stand;MF:马尾松-红锥混交林 Mixed Pinus massoniana and Castanopsis hystrix stand;H2O-Pi:水提取态无机磷含量 Water extractable inorganic phosphorus content;NaHCO3-Pi:碳酸氢钠提取态无机磷含量 Sodium bicarbonate extractable inorganic phosphorus content;NaHCO3-Po:碳酸氢钠提取态有机磷含量 Sodium bicarbonate extractable organic phosphorus content;NaOH-Pi:氢氧化钠提取态无机磷含量 Sodium hydroxide extractable inorganic phosphorus content;NaOH-Po:氢氧化钠提取态有机磷含量 Sodium hydroxide extractable organic phosphorus content;HCl-Pi:盐酸提取态无机磷含量 Hydrochloric acid extractable inorganic phosphorus content;Residual-P:残渣态磷含量 Residual phosphorus content;AP:活性磷含量 Active phosphorus content;MAP:中等活性磷含量 Moderately active phosphorus content;SP:稳定磷含量 Stable phosphorus content;SWC:土壤含水量 Soil moisture content;TN:总氮含量 Total nitrogen content;TP:总磷含量 Total phosphorus content;MBC:微生物生物量碳含量 Microbial biomass carbon content;MBN:微生物生物量氮含量 Microbial biomass nitrogen content;MBP:微生物生物量磷含量 Microbial biomass phosphorus content;BG:β-1,4-葡萄糖苷酶活性 β-1,4-glucosidase activity;NAG:β-N-乙酰葡糖胺酶活性 β-1,4-N-acetyl-glucosaminidase activity;LAP:亮氨酸氨基肽酶活性 Leucine aminopeptidase activity;ACP:酸性磷酸酶活性 Acid phosphatase activity。实线代表土壤非生物和生物因子,虚线代表土壤各磷组分。Solid lines represent soil abiotic and biotic factors, and dashed lines represent each soil phosphorus fraction. 环境因子的箭头长度表示其对土壤磷组分的贡献大小,箭头越长表明该环境因子对磷组分变异的贡献越大,反之越小。实线射线和虚线射线之间的夹角大小代表某个环境因子与磷组分之间的相关性大小,夹角越小,相关性越高,反之越低,锐角为正相关,钝角为负相关。The length of the arrow for an environmental factor indicates its contribution to the soil phosphorus fractions. A longer arrow signifies a greater contribution of that environmental factor to the variation in phosphorus fractions, and vice versa. The angle between the solid and dashed rays represents the correlation between a given environmental factor and the phosphorus fractions. A smaller angle indicates a stronger correlation, while a larger angle indicates a weaker correlation. Acute angles denote positive correlations, whereas obtuse angles denote negative correlations."
| 白昱欣, 刘润洪, 苏洁桦, 等. 树种混交对马尾松和红锥根际与非根际土壤微生物资源限制的影响. 生态学报, 2024, 44 (23): 10770- 10781. | |
| Bai Y X, Liu R H, Su J H, et al. Effects of tree species mixing on bulk and rhizosphere soilmicrobial resource limitation in stands of Pinus massoniana and Castanopsis hystrix. Acta Ecologica sinica, 2024, 44 (23): 10770- 10781. | |
| 鲍士旦. 2000. 土壤农化分析. 3版. 北京: 中国农业出版社. | |
| Bao S D. 2000. Agrochemical analysis of soil. 3rd edition. Beijing: China Agricultural Publishing House. [in Chinese] | |
| 陈 璟, 杨 宁. 亚热带红壤丘陵区5种人工林对土壤性质的影响. 西北农林科技大学学报(自然科学版), 2013, 41 (12): 167- 173, 178. | |
| Chen J, Yang N. Effects of five plantations on soil properties in subtropical red soil hilly region. Journal of Northwest A & F University ( Natural Science Edition), 2013, 41 (12): 167- 173, 178. | |
| 段世龙, 严文辉, 冯 固, 等. 植物根系/菌根途径获取养分的碳磷互惠机制. 植物营养与肥料学报, 2023, 29 (6): 1160- 1167. | |
| Duan S L, Yan W H, Feng G, et al. Carbon-phosphorus reciprocal mechanism for plants to acquire nutrients through the root/mycorrhizal pathway. Journal of Plant Nutrition and Fertilizers, 2023, 29 (6): 1160- 1167. | |
| 郭婉玑. 2021. 氮沉降下菌根外延菌丝对土壤磷有效性的调控机理研究. 成都: 中国科学院大学. | |
| (Guo W J. 2021. Regulation mechanism of soil phosphorus availability by ectomycorrhizal extraradical mycelium under nitrogen deposition. Chengdu: University of Chinese Academy of Sciences. [in Chinese] | |
| 韩东苗, 冯茂松, 吴 韬, 等. 柏木低效林改造对土壤微生物、酶活性及养分的影响. 东北林业大学学报, 2016, 44 (5): 57- 62. | |
| Han D M, Feng M S, Wu T, et al. Effects of transformation of Cypress funebris forest on soil microorganism, enzymatic activity and nutrient. Journal of Northeast Forestry University, 2016, 44 (5): 57- 62. | |
| 贺明霞, 黄雪蔓, 尤业明, 等. 马尾松人工林混交改造下根系-菌丝-微生物互作对土壤磷转化的调控机制. 北京林业大学学报, 2025, 47 (3): 83- 94. | |
| He M X, Huang X M, You Y M, et al. Regulatory mechanism of root-mycelial-microorganism interactions on soil phosphorus transformation of Pinus massoniana plantation under mixed renovation. Journal of Beijing Forestry University, 2025, 47 (3): 83- 94. | |
| 凌高潮, 沈 汉, 范荣德, 等. 不同林龄杉木+闽楠复层异龄混交林土壤碳氮磷化学计量特征. 浙江林业科技, 2022, 42 (6): 14- 20. | |
| Ling G C, Shen H, Fan R D, et al. Growth and stoichiometry characteristics of C, N and P in soiunder mixed plantation of different aged Cunninghamia lanceolata and Phoebe bournei. Journal of Zhejiang Forestry Science and Technology, 2022, 42 (6): 14- 20. | |
| 邱新彩. 2022. 间伐与混交对塞罕坝华北落叶松人工林土壤肥力的影响. 北京: 北京林业大学. | |
| Qiu X C. 2022. Effects of thinning and mixing on soil fertility of Larix principis-rupprechtii plantations in Saihanba Mechanical Forest Farm. Beijing: Beijing Forestry University. [in Chinese] | |
| 石昊楠, 李伟坡, 李智华, 等. 不同混交比例的杉阔混交林对物种多样性和土壤养分的影响. 中南林业科技大学学报, 2022, 42 (12): 34- 41. | |
| Shi H N, Li W P, Li Z H, et al. Effects of fir and broad-leaved mixed forest with differentmixing proportions on the species diversity and soil nutrientsunder the forest. Journal of Central South University of Forestry & Technology, 2022, 42 (12): 34- 41. | |
| 徐云浩, 刘婷婷, 刘贵梅, 等. 混交林林木根系对氮磷养分的吸收利用及竞争策略. 世界林业研究, 2025, 38 (1): 38- 44. | |
| Xu Y H, Liu T T, Liu G M, et al. Absorption and utilization of nitrogen and phosphorus nutrients by tree root systems in mixed forests and their competition strategies. World Forestry Research, 2025, 38 (1): 38- 44. | |
| 张 磊, 贾淑娴, 李啸灵, 等. 亚热带米槠天然林凋落物和根系输入变化对土壤磷组分的影响. 生态学报, 2022, 42 (2): 656- 666. | |
| Zhang L, Jia S X, Li X L, et al. Effects of litter and root inputs changes on soil phosphorus fractions in a subtropical natural forest of Castanopsis carlesii. Acta Ecologica Sinica, 2022, 42 (2): 656- 666. | |
| 张子良. 2018. 西南亚高山针叶林根系与土壤C养分过程的偶联效应研究. 成都: 中国科学院大学. | |
| Zhang Z L. 2018. Coupling effects of roots and soil C-nutrient cycling in subalpine coniferous forests in southwestern China. Chengdu: University of Chinese Academy of Sciences. [in Chinese] | |
|
Baumann K, Jung P, Samolov E, et al. Biological soil crusts along a climatic gradient in Chile: richness and imprints of phototrophic microorganisms in phosphorus biogeochemical cycling. Soil Biology and Biochemistry, 2018, 127, 286- 300.
doi: 10.1016/j.soilbio.2018.09.035 |
|
| Bell C W, Wallenstein M D, Mcmahon S K, et al. High-throughput fluorometric measurement of potential soil extracellular enzyme activities. Journal of Visualized Experiments, 2013, 81, 50961. | |
|
Cairney J W G. Extramatrical mycelia of ectomycorrhizal fungi as moderators of carbon dynamics in forest soil. Soil Biology and Biochemistry, 2012, 47, 198- 208.
doi: 10.1016/j.soilbio.2011.12.029 |
|
| Chen X L, Chen H Y H, Chang S X. Meta-analysis shows that plant mixtures increase soil phosphorus availability and plant productivity in diverse ecosystems. Nature Ecology & Evolution, 2022, 6 (8): 1112- 1121. | |
|
Condron L M, Newman S. Revisiting the fundamentals of phosphorus fractionation of sediments and soils. Journal of Soils and Sediments, 2011, 11 (5): 830- 840.
doi: 10.1007/s11368-011-0363-2 |
|
|
Cui Y X, Bing H J, Moorhead D L et al. Ecoenzymatic stoichiometry reveals widespread soil phosphorus limitation to microbial metabolism across Chinese forests. Communications Earth and Environment, 2022, 3 (1): 184.
doi: 10.1038/s43247-022-00523-5 |
|
|
Du E Z, Terrer C, Pellegrini A F A, et al. Global patterns of terrestrial nitrogen and phosphorus limitation. Nature Geoscience, 2020, 13 (3): 221- 226.
doi: 10.1038/s41561-019-0530-4 |
|
|
Gérard F. Clay minerals, iron/aluminum oxides, and their contribution to phosphate sorption in soils: a myth revisited. Geoderma, 2016, 262, 213- 226.
doi: 10.1016/j.geoderma.2015.08.036 |
|
| German D E, Weintraub M N, Grandy A S, et a1. 2011. Optimization of hydrolytic and oxidative enzyme methods for ecosystem studies. Soil Biology and Biochemistry, 43(7): 1387–1397. | |
| Hagenbo A, Clemmensen K E, Finlay R D, et al. Changes in turnover rather than production regulate biomass of ectomycorrhizal fungal mycelium across a Pinus sylvestris chronosequence. New Phytologist, 2016, 214 (1): 424- 431. | |
|
Hinsinger P. Bioavailability of soil inorganic P in the rhizosphere as affected by root-induced chemical changes: a review. Plant and Soil, 2001, 237 (2): 173- 195.
doi: 10.1023/A:1013351617532 |
|
|
Hirano Y, Kitayama K, Imai N. Interspecific differences in theresponses of root phosphatase activities and morphology to nitrogenand phosphorus fertilization in Bornean tropical rain forests. Ecology and Evolution, 2022, 12 (3): e8669.
doi: 10.1002/ece3.8669 |
|
|
Hou E Q, Chen C R, Kuang Y W, et al. A structural equation model analysis of phosphorus transformations in global unfertilized and uncultivated soils. Global Biogeochemical Cycles, 2016, 30 (9): 1300- 1309.
doi: 10.1002/2016GB005371 |
|
|
Hou E Q, Chen C R, Luo Y Q, et al. Effects of climate on soil phosphorus cycle and availability in natural terrestrial ecosystems. Global Change Biology, 2018, 24 (8): 3344- 3356.
doi: 10.1111/gcb.14093 |
|
|
Hou E Q, Luo Y Q, Kuang Y W, et al. Global meta-analysis shows pervasive phosphorus limitation of aboveground plant production in natural terrestrial ecosystems. Nature Communications, 2020, 11 (1): 637.
doi: 10.1038/s41467-020-14492-w |
|
|
Hou E, Wen D, Jiang L, et al. Latitudinal patterns of terrestrial phosphorus limitation over the globe. Ecology Letters, 2021, 24 (7): 1420- 1431.
doi: 10.1111/ele.13761 |
|
| Huang L M, Jia X X, Zhang G L, et al. Soil organic phosphorus transformation during ecosystem development: a review. Plant and Soil, 2017, 417 (1): 17- 42. | |
|
Joergensen R G, Mueller T. The fumigation-extraction method to estimate soil microbial biomass: calibration of the kEN value. Soil Biology and Biochemistry, 1996, 28 (1): 33- 37.
doi: 10.1016/0038-0717(95)00101-8 |
|
|
Lambers H. Phosphorus acquisition and utilization in plants. Annual Review of Plant Biology, 2022, 73 (1): 17- 42.
doi: 10.1146/annurev-arplant-102720-125738 |
|
|
Lambers H, Shane M W, Cramer M D, et al. Root structure and functioning for efficient acquisition of phosphorus: matching morphological and physiological traits. Annals of Botany, 2006, 98 (4): 693- 713.
doi: 10.1093/aob/mcl114 |
|
|
Li F R, Liu L L, Liu J L, et al. Abiotic and biotic controls on dynamics of labile phosphorus fractions in calcareous soils under agricultural cultivation. Science of The Total Environment, 2019, 681, 163- 174.
doi: 10.1016/j.scitotenv.2019.05.091 |
|
|
Li J S, Wu B Y, Zhang D D, et al. Elevational variation in soil phosphorus pools and controlling factors in alpine areas of Southwest China. Geoderma, 2023, 431, 116361.
doi: 10.1016/j.geoderma.2023.116361 |
|
|
Li M, You Y M, Tan X M, et al. Mixture of N2-fixing tree species promotes organic phosphorus accumulation and transformation in topsoil aggregates in a degraded karst region of subtropical China. Geoderma, 2022, 413, 115752.
doi: 10.1016/j.geoderma.2022.115752 |
|
|
Lian B, Chen Y, Zhu L, et al. Progress in the study of the weathering of carbonate rock by microbes. Earth Science Frontiers, 2008, 15 (6): 90- 99.
doi: 10.1016/S1872-5791(09)60009-9 |
|
|
Lie Z, Zhou G, Huang W, et al. Warming drives sustained plant phosphorus demand in a humid tropical forest. Global Change Biology, 2022, 28 (13): 4085- 4096.
doi: 10.1111/gcb.16194 |
|
|
Maranguit D, Guillaume T, Kuzyakov Y. Land-use change affects phosphorus fractions in highly weathered tropical soils. Catena, 2017, 149, 385- 393.
doi: 10.1016/j.catena.2016.10.010 |
|
|
Oldroyd G E D, Leyser O. A plant’s diet, surviving in a variable nutrient environment. Science, 2020, 368 (6486): eaba0196.
doi: 10.1126/science.aba0196 |
|
|
Phillips R P, Meier I C, Bernhardt E S, et al. Roots and fungi accelerate carbon and nitrogen cycling in forests exposed to elevated CO2. Ecology Letters, 2012, 15 (9): 1042- 1049.
doi: 10.1111/j.1461-0248.2012.01827.x |
|
|
Sui Y, Thompson M L, Shang C. Fractionation of phosphorus in a mollisol amended with biosolids. Soil Science Society of America Journal, 1999, 63 (5): 1174- 1180.
doi: 10.2136/sssaj1999.6351174x |
|
|
Sun F, Song C J, Wang M, et al. Long-term increase in rainfall decreases soil organic phosphorus decomposition in tropical forests. Soil Biology and Biochemistry, 2020, 151, 108056.
doi: 10.1016/j.soilbio.2020.108056 |
|
|
Tian Y, Shi C P, Malo C U, et al. Long-term soil warming decreases microbial phosphorus utilization by increasing abiotic phosphorus sorption and phosphorus losses. Nature Communications, 2023, 14 (1): 864.
doi: 10.1038/s41467-023-36527-8 |
|
|
Vitousek P M, Porder S, Houlton B Z, et al. Terrestrial phosphorus limitation: mechanisms, implications, and nitrogen-phosphorus interactions. Ecological Applications, 2010, 20 (1): 5- 15.
doi: 10.1890/08-0127.1 |
|
|
Wallander H, Ekblad A, Godbold D L, et al. Evaluation of methods to estimate production, biomass and turnover of ectomycorrhizal mycelium in forests soils: a review. Soil Biology and Biochemistry, 2013, 57, 1034- 1047.
doi: 10.1016/j.soilbio.2012.08.027 |
|
|
Wang J P, Wu Y H, Zhou J, et al. Carbon demand drives microbial mineralization of organic phosphorus during the early stage of soil development. Biology and Fertility of Soils, 2016, 52 (6): 825- 839.
doi: 10.1007/s00374-016-1123-7 |
|
|
Wang R Z, Yang J J, Liu H Y, et al. Nitrogen enrichment buffers phosphorus limitation by mobilizing mineral-bound soil phosphorus in grasslands. Ecology, 2022, 103 (3): e3616.
doi: 10.1002/ecy.3616 |
|
|
Wu H L, Xiang W H, Ouyang S, et al. Linkage between tree species richness and soil microbial diversity improves phosphorus bioavailability. Functional Ecology, 2019, 33 (8): 1549- 1560.
doi: 10.1111/1365-2435.13355 |
|
|
Xu H, You Y, Wang Y, et al. Introducing N2-fixing tree species into eucalyptus plantations increases organic phosphorus transformation but decreases its accumulation within aggregates in subtropical China. Plant and Soil, 2024, 504, 191- 208.
doi: 10.1007/s11104-024-06663-1 |
|
|
Yuan Y S, Gu D P, Huang Z X, et al. Plant roots and associated mycelia enhance soil N transformation through different mechanisms in a karst plantation. Journal of Soils and Sediments, 2023, 23 (4): 1687- 1697.
doi: 10.1007/s11368-023-03431-z |
|
|
Yuan Y S, Yin Y C, Adamczyk B, et al. Nitrogen addition alters the relative importance of roots and mycorrhizal hyphae in regulating soil organic carbon accumulation in a karst forest. Soil Biology and Biochemistry, 2024, 195, 109471.
doi: 10.1016/j.soilbio.2024.109471 |
|
|
Zhang L, Zhou J C, George T S, et al. Arbuscular mycorrhizal fungi conducting the hyphosphere bacterial orchestra. Trends in Plant Science, 2022, 27 (4): 402- 411.
doi: 10.1016/j.tplants.2021.10.008 |
|
|
Zhang Z L, Guo W J, Wang J P, et al. Extraradical hyphae alleviate nitrogen deposition-induced phosphorus deficiency in ectomycorrhiza-dominated forests. New Phytologist, 2023, 239 (5): 1651- 1664.
doi: 10.1111/nph.19078 |
|
|
Zhu X M, Lambers H, Guo W J, et al. Extraradical hyphae exhibit more plastic nutrient-acquisition strategies than roots under nitrogen enrichment in ectomycorrhiza-dominated forests. Global Change Biology, 2023, 29 (16): 4605- 4619.
doi: 10.1111/gcb.16768 |
| [1] | 刘世荣,陈远其,聂秀青,明安刚,王晖. 树种多样性对森林生态系统多功能性和韧性的影响[J]. 林业科学, 2026, 62(1): 1-18. |
| [2] | 何潇,曾伟生,陈新云,黄宏超,雷相东. 我国4种落叶松人工林的林分优势高和平均高转换模型[J]. 林业科学, 2026, 62(1): 223-230. |
| [3] | 李平平,王彦辉,于澎涛,王依瑞,段文标,万艳芳,韦小茶,史再军. 黄土高原刺槐人工林生长对立地质量和林分密度的响应[J]. 林业科学, 2025, 61(7): 192-207. |
| [4] | 崔自杰,孙阁,张瑶琦,杜阿朋,刘效东. 中国桉树人工林水文效应研究进展[J]. 林业科学, 2025, 61(7): 129-139. |
| [5] | 冉馨,孙晓梅,吴春燕,陈东升,王宏星,张守攻. 降水减少和间伐对日本落叶松人工林根系分布与生理特性的影响[J]. 林业科学, 2025, 61(7): 157-169. |
| [6] | 胡建文,刘常富,勾蒙蒙,雷蕾,陈会玲,张佳佳,朱粟锋,斛如媛,肖文发. 马尾松人工林土壤有机碳及其组分对林龄的响应及驱动因素[J]. 林业科学, 2025, 61(6): 75-84. |
| [7] | 李威, 于珍珍, 何徽, 赵佳璐, 刘西军. 碳输入改变对湿地松人工成熟林土壤微生物群落的影响[J]. 林业科学, 2025, 61(6): 232-242. |
| [8] | 孙英杰,张德楠,沈育伊,徐广平,曹杨,黄科朝,陈运霜,毛馨月,滕秋梅,吕仕洪,褚俊智. 模拟氮沉降对中亚热带桉树人工林土壤微生物群落结构及酶活性的影响[J]. 林业科学, 2025, 61(5): 46-60. |
| [9] | 朱粟锋,勾蒙蒙,赵海平,刘常富,简尊吉,朱建华,肖文发. 基于CBM-CFS3模型的不同采伐情景下马尾松人工林生态系统碳动态[J]. 林业科学, 2025, 61(12): 24-33. |
| [10] | 李倩,张帆,孟祥雪,吴小云,庞建壮,许行,张志强. 基于分解重构与机器学习的华北平原杨树人工林净碳交换模拟[J]. 林业科学, 2025, 61(12): 72-82. |
| [11] | 殷晓晴,马岚,牛凤娇. 模拟干旱条件下晋西黄土区刺槐林土壤水分运移特征[J]. 林业科学, 2025, 61(10): 49-59. |
| [12] | 张孝琰,倪晓凤,蔡琼,吉成均. 塞罕坝不同林龄华北落叶松人工林林下植物叶解剖特征及其氮添加响应[J]. 林业科学, 2025, 61(1): 37-46. |
| [13] | 陈炎,孟素戎,黄安民,苏莹莹,孙柏玲. 三聚氰胺-尿素-乙二醛树脂浸渍改性对人工林红锥木材物理力学性能的影响[J]. 林业科学, 2025, 61(1): 166-175. |
| [14] | 谢静,张峰,周泽圆,于海群,韩艺,杨春欣,蒋薇,刘进祖,刘博恩,刘鹤. 北京城市公园人工林生态系统水分利用效率的季节变化[J]. 林业科学, 2024, 60(9): 12-17. |
| [15] | 竹万宽,王志超,杜阿朋,许宇星. 广东湛江桉树人工林碳水通量季节格局及其环境生物控制[J]. 林业科学, 2024, 60(9): 18-32. |
| 阅读次数 | ||||||
|
全文 |
|
|||||
|
摘要 |
|
|||||