林业科学 ›› 2025, Vol. 61 ›› Issue (9): 90-100.doi: 10.11707/j.1001-7488.LYKX20240811
• 研究论文 • 上一篇
李泽义1,莫惟轶1,王玉婷1,张慧瑶1,马博龙1,黄欣1,姜在民2,蔡靖1,*(
)
收稿日期:2024-12-31
出版日期:2025-09-25
发布日期:2025-10-10
通讯作者:
蔡靖
E-mail:cjcaijing@163.com
基金资助:
Zeyi Li1,Weiyi Mo1,Yuting Wang1,Huiyao Zhang1,Bolong Ma1,Xin Huang1,Zaimin Jiang2,Jing Cai1,*(
)
Received:2024-12-31
Online:2025-09-25
Published:2025-10-10
Contact:
Jing Cai
E-mail:cjcaijing@163.com
摘要:
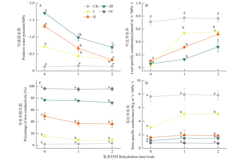
目的: 探究红桦在干旱胁迫下水力学和碳代谢特性,揭示其致死阈值与死亡机制,明晰红桦在全球气候变暖背景下生存与适应能力,也为红桦苗木培育及森林经营提供理论参考。方法: 对4年生红桦幼苗进行持续干旱胁迫,根据叶片外观及生理状态划分为4个胁迫阶段(阶段Ⅰ,达到叶片膨压损失点;阶段Ⅱ,叶片下垂;阶段Ⅲ,叶片开始干枯;阶段Ⅳ,叶片完全枯黄),到达每个胁迫阶段后进行阶段复水(1周,2周,4周),干旱胁迫期间及复水特定阶段测定:土壤体积含水量,叶凌晨水势、正午水势,叶比导水率,茎比导水率、茎导水率损失值,根、茎、叶可溶性糖及淀粉含量并计算非结构性碳水化合物(NSC)总量。结果: 1) 干旱胁迫至4个阶段时,叶凌晨水势分别下降到–0.732、–1.32、–1.712、–2.23 MPa,胁迫到最终阶段,茎比导水率、叶比导水率分别下降94.5%、99.1%,导水率损失超过88%,各器官可溶性糖含量上升,淀粉含量下降,可溶性糖与淀粉比值上升,根NSC总量下降到62.6%,可溶性糖和淀粉含量与导水率损失值有显著相关性(P<0.01)。2) 复水后,Ⅰ、Ⅱ、Ⅲ 阶段各器官可溶性糖含量显著高于对照组(P<0.05),在此胁迫阶段红桦幼苗的水分运输能力可以得到恢复,Ⅳ阶段红桦幼苗水力学性状无法恢复,根、茎的NSC含量低于对照组水平。3) 4个阶段红桦幼苗茎导水率损失值分别为15.57%±0.61%、49.49%±5.03%、77%±2.52%、96.4%±1.11%,死亡率为0,0,33.3%,100%。结论: 干旱胁迫期间红桦幼苗水力学性状与NSC存在耦合关系,红桦幼苗通过动态调节各器官碳分配模式,将淀粉转化成可溶性糖,应对持续干旱胁迫对水分运输的影响,复水后,红桦幼苗水力学性状与NSC的恢复程度会受到前期干旱胁迫程度的影响,水力失衡和碳饥饿共同发生在植株死亡过程中,红桦幼苗的茎导水率损失值为77%时已有死亡风险。
中图分类号:
李泽义,莫惟轶,王玉婷,张慧瑶,马博龙,黄欣,姜在民,蔡靖. 持续干旱胁迫及复水下红桦幼苗水力学性状与非结构性碳的动态响应[J]. 林业科学, 2025, 61(9): 90-100.
Zeyi Li,Weiyi Mo,Yuting Wang,Huiyao Zhang,Bolong Ma,Xin Huang,Zaimin Jiang,Jing Cai. Dynamic Response of Hydraulic Traits and NSC in Betula albo-sinensis Seedlings under Continuous Drought Stress and Rehydration[J]. Scientia Silvae Sinicae, 2025, 61(9): 90-100.
图3
干旱胁迫下叶片、茎水力学性状随叶凌晨水势的变化情况 每一个黑点代表一盆植株数据的平均值。Ⅰ、Ⅱ、Ⅲ、Ⅳ分别代表胁迫的4个阶段,在图B中“12”、 “50”、“88”分别代表导水率损失值达到12%、50%、88%。Each black dot represents the average of the data for one pot of plants. Ⅰ, Ⅱ, Ⅲ and Ⅳ represent the four stages of stress, and in Fig. 3B, “12”, “50” and “88” represent the values of loss of hydraulic conductivity reaching 12%, 50% and 88%, respectively."
图4
干旱胁迫下非结构性碳水化合物含量随叶凌晨水势的动态变化 不同符号及颜色分别代表根、茎、叶相应指标的情况。每一个符号代表当天所有重复组对应指标的平均值。虚线表示变化差异不显著,P>0.05。Different symbols and colors represent the corresponding indicators for roots, stems and leaves, respectively. Each symbol represents the mean value of the corresponding indicator of all replicate groups on that day. The dotted line indicates that the difference in variation is not significant, P>0.05."
|
刘 丽, 张 立, 蔡 靖, 等. 干旱胁迫及复水后84K杨栓塞修复及其他水力学特性的研究. 北京林业大学学报, 2021, 43 (7): 22- 30.
doi: 10.12171/j.1000-1522.20200165 |
|
|
Liu L, Zhang L, Cai J, et al. Hydraulic characteristics and embolism repair of Populus alba × P. glandulosa after drought stress and rehydration. Journal of Beijing Forestry University, 2021, 43 (7): 22- 30.
doi: 10.12171/j.1000-1522.20200165 |
|
| 马 玥, 苏宝玲, 韩艳刚, 等. 2021. 岳桦幼苗光合特性和非结构性碳水化合物积累对干旱胁迫的响应. 应用生态学报, 32(2): 513–520. | |
| Ma Y, Su B L, Han Y G, et al. Response of photosynthetic characteristics and non-structural carbohydrate accumulation of Betula ermanii seedlings to drought stress. Chinese Journal of Applied Ecology, 32(2): 513–520. [in Chinese] | |
| 冒吉荣, 曾 岩, 徐馨妤, 等. 2024. 干旱胁迫及复水对油松渗透调节物质及水力功能的影响. 应用生态学报, 35(11): 2959–2965. | |
| Mao J R, Zeng Y, Xu X Y, et al. Effects of drought and re-irrigation on osmotic regulator and hydraulic osmotic regulator and hydraulic. Chinese Journal of Applied Ecology, 35(11): 2959–2965. [in Chinese] | |
| 王云霞, 刘 莹, 付雨辰, 等. 干旱胁迫对连翘幼苗非结构性碳分配和水力特性的影响. 生态学报, 2024, 44 (11): 4698- 4707. | |
| Wang Y X, Liu Y, Fu Y C, et al. Effects of drought on non-structural carbon allocation and hydraulic characteristics of Forsythia suspense seedlings. Acta Ecologica Sinica, 2024, 44 (11): 4698- 4707. | |
|
王泽龙, 李泽义, 陈邑烜, 等. 西北地区红桦天然次生林立地质量评价. 西北林学院学报, 2024, 39 (1): 59- 66.
doi: 10.3969/j.issn.1001-7461.2024.01.08 |
|
|
Wang Z L, Li Z Y, Chen Y X, et al. Evaluating site quality of natural secondary forest of Betula albosinensis in northwestern China. Journal of Northwest Forestry University, 2024, 39 (1): 59- 66.
doi: 10.3969/j.issn.1001-7461.2024.01.08 |
|
| 游 韧, 邓湘雯, 胡彦婷, 等. 2023. 树木对干旱胁迫及复水的生理生态响应研究进展. 林业科学, 59(11): 124–136. | |
| You R, Deng X W, Hu Y T, et al. Progress on physiological and ecological responses of trees to drought responses of trees to drought. Scientia Silvae Sinicae, 59(11): 124–136. [in Chinese] | |
| 中国科学院中国植物志编辑委员会. 中国植物志. 北京: 科学出版社, 1979, 21, 121. | |
| Flora of China Editorial Committee. Flora Reipublicae Popularis Sinicae. Beijing: Science Press, 1979, 21, 121. | |
| Adams H D, Zeppel M J B, Anderegg W R L, et al. A multi-species synthesis of physiological mechanisms in drought-induced tree mortality. Nature Ecology & Evolution, 2017, 1 (9): 1285- 1291. | |
| Allen C D, Breshears D D, McDowell N G. On underestimation of global vulnerability to tree mortality and forest die-off from hotter drought in the Anthropocene. Ecosphere, 2015, 6 (8): 1- 55. | |
|
Alon A, Cohen S, Burlett R, et al. Leaf membrane leakage and xylem hydraulic failure define the point of no return in drought-induced tree mortality in Cupressus sempervirens. Physiologia Plantarum, 2024, 176 (4): e14467.
doi: 10.1111/ppl.14467 |
|
|
Anderegg W R L, Anderegg L D L. Hydraulic and carbohydrate changes in experimental drought-induced mortality of saplings in two conifer species. Tree Physiology, 2013, 33 (3): 252- 260.
doi: 10.1093/treephys/tpt016 |
|
| Anderegg W R L, Berry J A, Smith D D, et al. The roles of hydraulic and carbon stress in a widespread climate-induced forest die-off. Proceedings of the National Academy of Sciences of the United States of America, 2012, 109 (1): 233- 237. | |
|
Bennett A C, McDowell N G, Allen C D, et al. Larger trees suffer most during drought in forests worldwide. Nature Plants, 2015, 1 (10): 15139.
doi: 10.1038/nplants.2015.139 |
|
|
Brodribb T J, Cochard H. Hydraulic failure defines the recovery and point of death in water-stressed conifers. Plant Physiology, 2009, 149 (1): 575- 584.
doi: 10.1104/pp.108.129783 |
|
| Cochard H. 2002. A technique for measuring xylem hydraulic conductance under high negative pressures. Plant, Cell & Environment, 25(6): 815–819. | |
| Duan H L, Resco de Dios V, Wang D F, et al. 2022. Testing the limits of plant drought stress and subsequent recovery in four provenances of a widely distributed subtropical tree species. Plant, Cell & Environment, 45(4): 1187–1203. | |
| Duan H L, Shao C C, Luo X Y, et al. 2023. Root relative water content is a potential signal for impending mortality of a subtropical conifer during extreme drought stress. Plant, Cell & Environment, 46(9): 2763–2777. | |
|
Duque L O, Setter T L. Partitioning index and non-structural carbohydrate dynamics among contrasting cassava genotypes under early terminal water stress. Environmental and Experimental Botany, 2019, 163, 24- 35.
doi: 10.1016/j.envexpbot.2019.03.023 |
|
|
Fang D M, Yao H T, Huang Y L, et al. The composite physiological response of hydraulic and photosynthetic traits and non-structural carbon in Masson pine seedlings to drought associated with high temperature. Forests, 2023, 14 (12): 2320.
doi: 10.3390/f14122320 |
|
| Gauthey A, Peters J M R, Lòpez R, et al. 2022. Mechanisms of xylem hydraulic recovery after drought in Eucalyptus saligna. Plant, Cell & Environment, 45(4): 1216–1228. | |
|
Guo X Y, Peng C H, Li T, et al. The effects of drought and re-watering on non-structural carbohydrates of Pinus tabulaeformis seedlings. Biology, 2021, 10 (4): 281.
doi: 10.3390/biology10040281 |
|
|
Hartmann H, Moura C F, Anderegg W R L, et al. Research frontiers for improving our understanding of drought-induced tree and forest mortality. New Phytologist, 2018, 218 (1): 15- 28.
doi: 10.1111/nph.15048 |
|
|
Hartmann H, Ziegler W, Trumbore S. Lethal drought leads to reduction in nonstructural carbohydrates in Norway spruce tree roots but not in the canopy. Functional Ecology, 2013, 27 (2): 413- 427.
doi: 10.1111/1365-2435.12046 |
|
|
Klein T, Zeppel M J B, Anderegg W R L, et al. Xylem embolism refilling and resilience against drought-induced mortality in woody plants: processes and trade-offs. Ecological Research, 2018, 33 (5): 839- 855.
doi: 10.1007/s11284-018-1588-y |
|
|
Landhäusser S M, Chow P S, Dickman L T, et al. Standardized protocols and procedures can precisely and accurately quantify non-structural carbohydrates. Tree Physiology, 2018, 38 (12): 1764- 1778.
doi: 10.1093/treephys/tpy118 |
|
|
Mantova M, Menezes-Silva P E, Badel E, et al. The interplay of hydraulic failure and cell vitality explains tree capacity to recover from drought. Physiologia Plantarum, 2021, 172 (1): 247- 257.
doi: 10.1111/ppl.13331 |
|
|
Martínez-Vilalta J, Poyatos R, Aguadé D, et al. A new look at water transport regulation in plants. New Phytologist, 2014, 204 (1): 105- 115.
doi: 10.1111/nph.12912 |
|
| McDowell N G, Beerling D J, Breshears D D, et al. The interdependence of mechanisms underlying climate-driven vegetation mortality. Trends in Ecology & Evolution, 2011, 26 (10): 523- 532. | |
|
Nardini A, Peda G, Rocca N L. Trade-offs between leaf hydraulic capacity and drought vulnerability: morpho-anatomical bases, carbon costs and ecological consequences. New Phytologist, 2012, 196 (3): 788- 798.
doi: 10.1111/j.1469-8137.2012.04294.x |
|
|
Nolan R H, Gauthey A, Losso A, et al. Hydraulic failure and tree size linked with canopy die-back in eucalypt forest during extreme drought. New Phytologist, 2021, 230 (4): 1354- 1365.
doi: 10.1111/nph.17298 |
|
| Pammenter N W, Van der Willigen C. A mathematical and statistical analysis of the curves illustrating vulnerability of xylem to cavitation. Tree Physiology, 1998, 18 (8/9): 589- 593. | |
|
Ruehr N K, Offermann C A, Gessler A, et al. Drought effects on allocation of recent carbon: from beech leaves to soil CO2 efflux. New Phytologist, 2009, 184 (4): 950- 961.
doi: 10.1111/j.1469-8137.2009.03044.x |
|
| Sack L, Scoffoni C. Measurement of leaf hydraulic conductance and stomatal conductance and their responses to irradiance and dehydration using the evaporative flux method (EFM). Journal of Visualized Experiments, 2012, 70, e4179. | |
|
Sala A N, Piper F, Hoch G. Physiological mechanisms of drought-induced tree mortality are far from being resolved. New Phytologist, 2010, 186 (2): 274- 281.
doi: 10.1111/j.1469-8137.2009.03167.x |
|
| Salleo S, Lo Gullo M A, Trifilo P, et al. 2004. New evidence for a role of vessel-associated cells and phloem in the rapid xylem refilling of cavitated stems of Laurus nobilis L. Plant, Cell & Environment, 27(8): 1065–1076. | |
|
Salleo S, Gullo M A L, De Paoli D, et al. Xylem recovery from cavitation-induced embolism in young plants of Laurus nobilis: a possible mechanism. New Phytologist, 1996, 132 (1): 47- 56.
doi: 10.1111/j.1469-8137.1996.tb04507.x |
|
| Sperry J S, Donnelly J R, Tyree M T. 1988. A method for measuring hydraulic conductivity and embolism in xylem. Plant, Cell & Environment, 11(1): 35–40. | |
|
Savi T, Casolo V, Luglio J, et al. Species-specific reversal of stem xylem embolism after a prolonged drought correlates to endpoint concentration of soluble sugars. Plant Physiology and Biochemistry, 2016, 106, 198- 207.
doi: 10.1016/j.plaphy.2016.04.051 |
|
|
Secchi F, Pagliarani C, Cavalletto S., et al. Chemical inhibition of xylem cellular activity impedes the removal of drought-induced embolisms in poplar stems–new insights from micro-CT analysis. New Phytologist, 2021, 229 (2): 820- 830.
doi: 10.1111/nph.16912 |
|
| Sevanto S, McDowell N G, Dickman L T, et al. 2014. How do trees die? a test of the hydraulic failure and carbon starvation hypotheses. Plant, Cell & Environment, 37(1): 153–161. | |
|
Tyree M T, Sperry J S. Do woody plants operate near the point of catastrophic xylem dysfunction caused by dynamic water stress? answers from a model. Plant Physiology, 1988, 88 (3): 574- 580.
doi: 10.1104/pp.88.3.574 |
|
| Tyree M T, Zimmermann M H. 2002. Xylem structure and the ascent of sap. Berlin: Springer. | |
|
Wang H Y, Ma J, Xie T T, et al. Hydraulic traits and non-structural carbon responses to drought stress in Reaumuria soongorica (Pall.) Maxim. and Salsola passerine Bunge. Forests, 2024, 15 (2): 287.
doi: 10.3390/f15020287 |
|
|
Zhang T, Cao Y, Chen Y M, et al. Non-structural carbohydrate dynamics in Robinia pseudoacacia saplings under three levels of continuous drought stress. Trees, 2015, 29 (6): 1837- 1849.
doi: 10.1007/s00468-015-1265-5 |
| [1] | 曾岩,冒吉荣,陈相霖,徐馨妤,梁静,刘莹. 氮添加与干旱共同作用下的油松幼苗渗透调节机制[J]. 林业科学, 2025, 61(8): 70-79. |
| [2] | 宋雯,刘永强,姚雪宁,师振萍,杭宇杰,郭红彦,王林. 枣疯病对枣树茎叶水力性状和碳代谢的影响[J]. 林业科学, 2025, 61(5): 120-130. |
| [3] | 刘元玺,王丽娜,吴俊文,李世民. 云南松幼苗生物量和非结构性碳水化合物特征的干旱响应[J]. 林业科学, 2024, 60(6): 71-85. |
| [4] | 周凡博,刘玉民,刘亚敏,代崇雯,高琦,张钰林,朱娅婷. 外源茉莉酸甲酯对红椿苗木干旱损伤的缓解作用及生理机制[J]. 林业科学, 2024, 60(12): 58-71. |
| [5] | 程鑫,吴纯泽,韦庆钰,李伟,卫星. 水曲柳丛枝菌根真菌接菌苗对干旱胁迫的生长和生理响应[J]. 林业科学, 2023, 59(2): 58-66. |
| [6] | 游韧,邓湘雯,胡彦婷,欧阳帅,陈亮,项文化. 树木对干旱胁迫及复水的生理生态响应研究进展[J]. 林业科学, 2023, 59(11): 124-136. |
| [7] | 谷瑞,徐森,陈双林,郭子武,杨丽婷. 美丽箬竹鞭段侧芽萌发生长的碳素制约作用[J]. 林业科学, 2022, 58(9): 70-78. |
| [8] | 倪妍妍,简尊吉,徐瑾,曾立雄,阮宏华,雷蕾,肖文发,李迈和. 马尾松非结构性碳库大小及分配的纬向变化[J]. 林业科学, 2022, 58(8): 41-52. |
| [9] | 林庆芝,朱祥元,毛培利,朱琳,郭龙梅,李泽秀,曹帮华,郝迎东,谭海涛,洪丕征,卢小军. NaCl和PEG胁迫对不同大小刺槐种子萌发和幼苗生长的影响[J]. 林业科学, 2022, 58(2): 100-112. |
| [10] | 姚俊广,耿娅,刘依静,安轶,黄李超,曾为,卢孟柱. S-腺苷甲硫氨酸脱羧酶基因对银腺杨84K抗旱性的影响[J]. 林业科学, 2022, 58(2): 125-132. |
| [11] | 徐军亮,竹磊,师志强,武靖,章异平. 栓皮栎粗根和茎干中非结构性碳水化合物含量的调配关系[J]. 林业科学, 2021, 57(1): 200-206. |
| [12] | 洪琮浩,洪震,雷小华,汪俊峰,闫道良. 氮添加对长序榆C、N、P养分含量及非结构性碳水化合物含量的影响[J]. 林业科学, 2020, 56(6): 186-192. |
| [13] | 王凯,宋琪,张日升,张大鹏,孙菊. 科尔沁沙地防护林主要树种的非结构性碳水化合物分布特征[J]. 林业科学, 2020, 56(12): 39-48. |
| [14] | 陈奕帆,付晓莉,王辉民,戴晓琴,寇亮,陈伏生,卜文圣. 林下植被清除对不同径级中龄杉木生长速率的影响机制[J]. 林业科学, 2020, 56(11): 21-30. |
| [15] | 孙明升,胡颖,陈旋,罗群凤,杨章旗. 外源调节物质对干旱胁迫下格木幼苗生理特性的影响[J]. 林业科学, 2020, 56(10): 165-172. |
| 阅读次数 | ||||||
|
全文 |
|
|||||
|
摘要 |
|
|||||