林业科学 ›› 2022, Vol. 58 ›› Issue (8): 41-52.doi: 10.11707/j.1001-7488.20220805
倪妍妍1,简尊吉1,徐瑾1,曾立雄1,2,阮宏华2,雷蕾1,肖文发1,2,*,李迈和3,4
收稿日期:2021-03-15
出版日期:2022-08-25
发布日期:2022-12-19
通讯作者:
肖文发
基金资助:Yanyan Ni1,Zunji Jian1,Jin Xu1,Lixiong Zeng1,2,Honghua Ruan2,Lei Lei1,Wenfa Xiao1,2,*,Maihe Li3,4
Received:2021-03-15
Online:2022-08-25
Published:2022-12-19
Contact:
Wenfa Xiao
摘要:
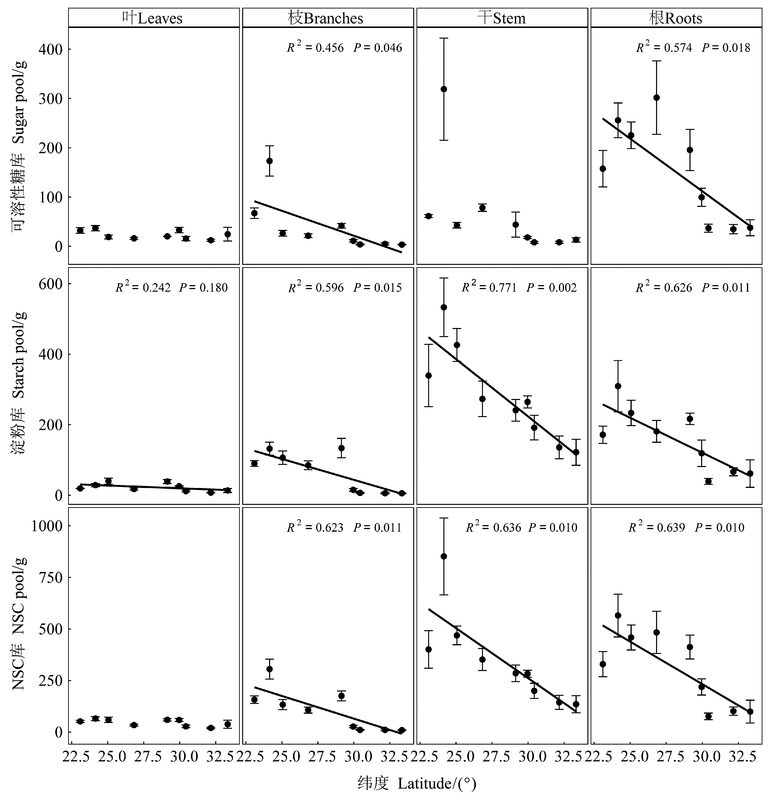
目的: 研究马尾松非结构性碳水化合物(NSC)存储及分配的纬向变化规律,探讨生长环境对其影响作用,为准确理解和模拟气候变化背景下树木生长和碳存储提供机制依据。方法: 以马尾松成熟林为对象,在其分布区内沿纬向梯度(23.0°~33.5°N)选择9个典型人工林,测定林分标准木不同器官的NSC含量并估算其生物量,计算NSC库大小。结果: 马尾松整株的NSC库及其组分库(可溶性糖和淀粉)的大小均随纬度增加而降低; 枝、干和根中NSC库和淀粉库以及枝和根中可溶性糖库的大小均随纬度增加而降低。NSC库以淀粉为主,且淀粉所占比例随纬度增加而增加; NSC库、可溶性糖库和淀粉库在各器官中的分配比例存在差异,但均主要存储在干和根中。NSC库、可溶性糖库和淀粉库在枝中的存储比例随纬度增加而降低,而可溶性糖库和淀粉库在叶中的存储比例随纬度增加而增加。整株马尾松的NSC库、可溶性糖库和淀粉库与气候因子(年平均温度、年降雨总量、年均最冷月最低温和年均最热月最高温)和土壤因子(全氮含量和氮磷比)正相关; 气候因子和土壤因子对NSC及其组分库大小变化的解释率分别为26.2%和7.6%,共同作用的解释率为36.7%。结论: 马尾松NSC库以淀粉储存为主,NSC及其组分库在根和干中分配比例最高; 马尾松整株和各器官中的NSC及其组分库的大小均呈现出显著的纬向趋势; 气候对马尾松NSC储存的影响高于土壤。
中图分类号:
倪妍妍,简尊吉,徐瑾,曾立雄,阮宏华,雷蕾,肖文发,李迈和. 马尾松非结构性碳库大小及分配的纬向变化[J]. 林业科学, 2022, 58(8): 41-52.
Yanyan Ni,Zunji Jian,Jin Xu,Lixiong Zeng,Honghua Ruan,Lei Lei,Wenfa Xiao,Maihe Li. Latitudinal Variation of the Size and Allocation of Non-Structural Carbon in Pinus massoniana[J]. Scientia Silvae Sinicae, 2022, 58(8): 41-52.
表1
马尾松人工林样地的地理位置、气候和林分特征"
| 样点 Site | 经度 Longitude | 纬度 Latitude | 海拔 Altitude/m | 胸径 DBH/cm | 树高 Tree height/m | 林龄 Age/a | 郁闭度 Canopy density | 林木密度 Stand density/ hm-2 | 年平均温 Mean annual temperature/ ℃ | 年降水量 Mean annual precipitation/ mm | 土壤类型 Soil type | 土壤全氮 Soil total nitrogen/v(g·kg-1) | 土壤全磷 Soil total phosphorus/ (g·kg-1) | 土壤全钾 Soil total potassium/ (g·kg-1) |
| 陕西汉中 Hanzhong Shaanxi | 107.13° | 33.33° | 586 | 17.7±6 | 14.1±3 | 35 | 0.7 | 1 625 | 15.3 | 812.1 | 黄棕壤Yellow brown earths | 0.82 | 0.40 | 18.61 |
| 四川万源 Wanyuan Sichuan | 108.04° | 32.13° | 887 | 18.1±3 | 17.6±2 | 39 | 0.7 | 1 889 | 12.5 | 955.6 | 黄壤Yellow earths | 0.51 | 0.32 | 11.88 |
| 重庆忠县 Zhongxian Chongqing | 108.05° | 30.41° | 887 | 17.3±2 | 16.2±1 | 31 | 0.6 | 1 444 | 15.2 | 1 194.4 | 黄壤Yellow earths | 0.64 | 0.34 | 15.07 |
| 湖北宣恩 Xuan’en Hubei | 109.5° | 29.96° | 859 | 22.9±2 | 14.4±1 | 31 | 0.6 | 815 | 14.9 | 1 263.5 | 黄壤Yellow earths | 1.52 | 0.31 | 12.76 |
| 湖南永顺 Yongshun Hunan | 109.95° | 29.11° | 456 | 19.9±2 | 16.3±1 | 21 | 0.7 | 1 157 | 15.4 | 1 286.7 | 黄壤Yellow earths | 1.76 | 0.34 | 16.90 |
| 湖南会同 Huitong Hunan | 109.64° | 26.80° | 301 | 21.6±4 | 18.2±2 | 25 | 0.6 | 1 585 | 17.8 | 1 347.2 | 红壤Red earth | 1.33 | 0.34 | 11.99 |
| 广西桂林 Guilin Guangxi | 110.31° | 25.06° | 145 | 24.5±3 | 17.7±2 | 25 | 0.6 | 1 008 | 20.0 | 1 717.5 | 红壤Red earth | 0.98 | 0.27 | 8.41 |
| 广西贺州 Hezhou Guangxi | 111.70° | 24.15° | 279 | 25.3±4 | 15.9±2 | 24 | 0.6 | 540 | 20.5 | 1 672.5 | 红壤Red earth | 2.02 | 0.34 | 22.03 |
| 广东肇庆 Zhaoqing Guangdong | 112.50° | 23.09° | 45 | 21.2±3 | 13.7±3 | 22 | 0.6 | 1 283 | 21.5 | 1 768.9 | 红壤Red earth | 1.72 | 0.34 | 22.75 |
表2
器官、纬度及其交互作用对马尾松的生物量和NSC含量的影响(F值)①"
| 因子 Indicators | 年均生物量 Mean annual biomass | 非结构性碳水化合物含量 Non-structural carbohydrate content | 可溶性糖含量 Soluble sugar content | 淀粉含量 Starch content |
| 器官Organ | 16.875*** | 8.104*** | 7.807*** | 2.458 |
| 纬度Latitude | 50.207*** | 29.379*** | 17.031*** | 17.171*** |
| 器官×纬度Organ ×Latitude | 7.122*** | 5.490** | 5.699** | 1.450 |
表4
马尾松不同器官NSC及组分库的大小(g)和分配比例(%)"
| 样地 Site | 可溶性糖库(比例) Soluble sugar pool(proportion) | 淀粉库(比例) Starch pool(proportion) | NSC库(比例) Non-structural carbon pool(proportion) |
| 叶Leaf | |||
| 陕西汉中Hanzhong Shaanxi | 24.42±13.89(26.02±3.06) | 13.651±5.62(6.75±1.15) | 38.07±19.41(12.25±1.49) |
| 四川万源Wanyuan Sichuan | 12.25 ±2.28(21.37±3.21) | 6.693±1.298(3.62±0.31) | 19.94±3.58(6.37±0.77) |
| 重庆忠县Zhongxian Chongqing | 15.56±4.39(24.01±3.24) | 11.947±2.301(4.77±0.08) | 26.51±6.45(8.638±0.654) |
| 湖北宣恩Xuanen Hubei | 32.95±5.41(20.40±2.03) | 25.574±1.589(6.09±0.33) | 58.52±6.94(9.95±0.22) |
| 湖南永顺Yongshun Hunan | 20.16±0.18(6.72±0.34) | 39.021±5.679(6.29±1.03) | 59.18±5.83(6.42±0.77) |
| 湖南会同Huitong Hunan | 16.11±2.06(4.08±0.83) | 16.673±2.921(3.18±0.02) | 33.78±4.500(3.54±0.32) |
| 广西桂林Guilin Guangxi | 18.89±4.08(5.89±0.78) | 39.87±8.785(4.84±0.59) | 58.77±12.83(5.13±0.64) |
| 广西贺州Hezhou Guangxi | 36.64±5.55(4.96±0.61) | 28.672±4.366(2.97±0.38) | 65.31±9.80(3.82±0.44) |
| 广东肇庆Zhaoqing Guangdong | 32.13±5.74(10.45±1.88) | 19.539±0.515(3.31±0.45) | 51.67±5.68(5.80±1.08) |
| 枝Branch | |||
| 陕西汉中Hanzhong Shaanxi | 3.39±0.82(5.579±1.408) | 5.81±1.37(3.51±0.93) | 9.20±2.17(4.07±1.07) |
| 四川万源Wanyuan Sichuan | 4.77±2.27(6.18±1.54) | 5.91±1.79(2.63±0.24) | 10.68±4.04(3.63±0.56) |
| 重庆忠县Zhongxian Chongqing | 3.78±0.77(5.98±0.22) | 6.70±1.50(2.74±0.43) | 10.48±2.13(3.39±0.38) |
| 湖北宣恩Xuanen Hubei | 11.17±2.24(6.98±1.362) | 15.47±3.79(3.53±0.53) | 26.64±6.00(4.43±0.66) |
| 湖南永顺Yongshun Hunan | 41.62±4.72(13.94±2.03) | 133.81±26.66(20.85±3.28) | 175.43±24.08(18.67±1.55) |
| 湖南会同Huitong Hunan | 21.42±3.76(5.378±1.19) | 85.00±12.56(15.38±0.94) | 106.41±14.52(11.07±0.42) |
| 广西桂林Guilin Guangxi | 26.38±5.87(8.18±1.03) | 106.52±19.03(13.04±0.92) | 132.9±24.49(11.68±0.91) |
| 广西贺州Hezhou Guangxi | 173.21±30.72(22.53±1.45) | 132.04±18.68(13.51±1.16) | 305.25±48.18(16.41±1.16) |
| 广东肇庆Zhaoqing Guangdong | 66.20±10.69(21.16±1.53) | 90.06±6.97(15.24±2.45) | 156.26±18.66(16.22±2.27) |
| 干Stem | |||
| 陕西汉中Hanzhong Shaanxi | 13.12±4.37(18.68±2.12) | 121.96±36.09(65.57±5.13) | 135.08±41.41(52.97±4.86) |
| 四川万源Wanyuan Sichuan | 8.208±2.10(13.79±0.95) | 135.79±32.03(62.36±2.65) | 143.99±34.09(51.94±1.86) |
| 重庆忠县Zhongxian Chongqing | 8.05±1.70(12.63±0.38) | 191.64±34.88(76.91±1.00) | 199.69±36.58(63.97±1.28) |
| 湖北宣恩Xuanen Hubei | 16.93±2.03(11.59±2.287) | 264.56±16.98(63.45±6.06) | 282.49±16.14(48.93±4.14) |
| 湖南永顺Yongshun Hunan | 43.95±25.54(15.36±9.45) | 240.98±30.78(38.40±4.49) | 284.92±40.34(31.04±5.59) |
| 湖南会同Huitong Hunan | 78.42±6.44(19.73±2.84) | 273.233±50.36(48.811±1.666) | 351.66±53.67(36.37±1.27) |
| 广西桂林Guilin Guangxi | 42.77±5.76(14.10±2.64) | 425.99±46.69(53.19±1.60) | 468.76±45.14(42.24±1.45) |
| 广西贺州Hezhou Guangxi | 319.05±103.64(36.70±6.23) | 532.79±83.26(53.65±1.21) | 851.83±186.56(46.59±2.54) |
| 广东肇庆Zhaoqing Guangdong | 61.35±2.84(20.10±2.80) | 339.37±88.13(53.37±4.31) | 400.72±90.90(42.15±3.90) |
| 根Root | |||
| 陕西汉中Hanzhong Shaanxi | 36.66±16.29(48.72±1.87) | 61.66±38.97(24.17±5.34) | 99.33±55.19(30.71±4.03) |
| 四川万源Wanyuan Sichuan | 34.70±9.48(56.66±1.52) | 66.81±11.50(31.39±2.45) | 101.51±20.02(36.07±1.41) |
| 重庆忠县Zhongxian Chongqing | 36.71±8.38(56.38±3.41) | 39.28±8.14(15.58±0.66) | 75.99±16.40(24.00±1.34) |
| 湖北宣恩Xuanen Hubei | 99.47±18.45(61.03±2.58) | 119.16±36.38(26.93±5.89) | 218.63±39.19(36.69±3.433) |
| 湖南永顺Yongshun Hunan | 195.56±41.75(63.98±11.67) | 216.73±16.25(34.46±1.12) | 412.29±56.98(43.87±3.89) |
| 湖南会同Huitong Hunan | 301.74±74.51(70.81±3.71) | 181.23±30.94(32.64±2.42) | 482.98±101.93(49.03±1.58) |
| 广西桂林Guilin Guangxi | 225.33±26.09(71.83±1.31) | 233.38±35.87(28.93±1.98) | 458.71±60.54(40.96±1.20) |
| 广西贺州Hezhou Guangxi | 255.78±35.11(35.81±6.77) | 309.37±72.81(29.88±2.12) | 565.15±103.72(32.18±2.51) |
| 广东肇庆Zhaoqing Guangdong | 156.51±36.13(48.29±4.54) | 171.653±24.285(28.08±1.478) | 329.16±60.92(34.83±1.39) |
表5
马尾松NSC及其组分库与环境因子间的相关性"
| 影响因子 Influenced factor | 非结构性碳水化合物库 Non-structural carbon pool | 淀粉库 Starch pool | 可溶性糖库 Sugar pool |
| 年平均温度Mean annual temperature | 0.696*** | 0.703*** | 0.655*** |
| 年均最冷月最低温Mean annualminimum temperature of the coldest month | 0.631*** | 0.663*** | 0.564*** |
| 年均最热月最高温Mean annual maximum temperature of the warmest month | 0.653*** | 0.69*** | 0.578*** |
| 年降雨总量Mean annual precipitaiton | 0.715*** | 0.755*** | 0.634*** |
| 帕默尔干旱强度指数Palmer drought severity index | -0.204 | -0.176 | -0.228 |
| 土壤全氮Soil total nitrogen | 0.676*** | 0.651*** | 0.674*** |
| 土壤全磷Soil total phosphorus | -0.148 | -0.178 | -0.106 |
| 土壤全钾Soil total potassium | 0.320 | 0.262 | 0.375*** |
| 土壤氮磷比Soil nitrogen/phosphorus ratio | 0.675*** | 0.658*** | 0.664*** |
| 土壤氮钾比Soil nitrogen/potassium ratio | -0.29 | -0.246 | -0.33 |
| 土壤磷钾比Soil phosphorus/potassium ratio | 0.286 | 0.333 | 0.217 |
|
杜建会, 邵佳怡, 李升发, 等. 树木非结构性碳水化合物含量多时空尺度变化特征及其影响因素研究进展. 应用生态学报, 2020, 31 (4): 1378- 1388.
doi: 10.13287/j.1001-9332.202004.001 |
|
|
Du J H , Shao J Y , Li S F . Non-structural carbohydrate content of trees and its influencing factors at multiple spatial-temporal scales: a review. Chinese Journal of Applied Ecology, 2020, 31 (4): 1378- 1388.
doi: 10.13287/j.1001-9332.202004.001 |
|
| 倪妍妍, 胡军, 刘建锋, 等. 不同地理种源栓皮栎幼苗生长与物质分配的变化趋势. 西北植物学报, 2017, 37 (3): 534- 540. | |
| Ni Y Y , Hu J , Liu J F . The trends in growth and substance allocation in Quercus variabilis seedlings from five provenances. Acta Botanica Boreali-Occidentalia Sinica, 2017, 37 (3): 534- 540. | |
| 国家林业与草原局. LY-T 2263-2014立木生物量模型及碳计量参数——马尾松. 北京: 中国标准出版社, 2014. | |
| National Forestry and Grass Administration . LY-T 2263-2014 Tree biomass models and related parameters to carbon accounting of Pinus massoniana.Beijing: Standards Press of China, 2014. | |
| 国家林业和草原局. GB/T 38590-2020森林资源连续清查技术规程.北京: 中国标准出版社, 2020. | |
| National Forestry and Grass Administration . GB/T 38590-2020Technical regulations for continuous forest inventory.Beijing: Standards Press of China, 2020. | |
|
周玉荣, 于振良. 我国主要森林生态系统炭贮量和碳平衡. 植物生态学报, 2000, 24 (5): 518- 522.
doi: 10.3321/j.issn:1005-264X.2000.05.002 |
|
|
Zhou Y R , Yu Z L . Carbon storage and budget of major Chinese forest types. Chinese Journal of Plant Ecology, 2000, 24 (5): 518- 522.
doi: 10.3321/j.issn:1005-264X.2000.05.002 |
|
|
Baker T R , Burslem D F R P , Swaine M D . Associations between tree growth, soil fertility and water availability at local and regional scales in Ghanaian tropical rain forest. Journal of Tropical Ecology, 2003, 19 (2): 109- 125.
doi: 10.1017/S0266467403003146 |
|
|
Barbaroux C , Bréda N . Contrasting distribution and seasonal dynamics of carbohydrate reserves in stem wood of adult ring-porous sessile oak and diffuse-porous beech trees. Tree Physiology, 2002, 22 (17): 1201- 1210.
doi: 10.1093/treephys/22.17.1201 |
|
|
Barbaroux C , Bréda N , Dufrêne E . Distribution of above-ground and below-ground carbohydrate reserves in adult trees of two contrasting broad-leaved species(Quercus petraea and Fagus sylvatica). New Phytologist, 2003, 157 (3): 605- 615.
doi: 10.1046/j.1469-8137.2003.00681.x |
|
|
Boldingh H , Smith G S , Klages K . Seasonal concentrations of non-structural carbohydrates of five Actinidia species in fruit, leaf and fine root tissue. Annals of Botany, 2000, 85 (4): 469- 476.
doi: 10.1006/anbo.1999.1094 |
|
|
Chapin III F S , Schulze E D , mooney H A . The ecology and economics of storage in plants. Annual Review of Ecology and Systematics, 1990, 21, 423- 447.
doi: 10.1146/annurev.es.21.110190.002231 |
|
|
Chlumska Z , Liancourt P , Hartmann H , et al. Species- and compound-specific dynamics of nonstructural carbohydrates toward the world's upper distribution of vascular plants. Environmental and Experimental Botany, 2022, 201, 104985.
doi: 10.1016/j.envexpbot.2022.104985 |
|
|
Cong Y , Wang A , He H S , et al. Evergreen Quercus aquifolioides remobilizes more soluble carbon components but less N and P from leaves to shoots than deciduous Betula ermanii at the end-season. iForest-Biogeosciences and Forestry, 2018, 11 (4): 517- 525.
doi: 10.3832/ifor2633-011 |
|
|
Dang H S , Zhang K R , Zhang Q F , et al. Temporal variations of mobile carbohydrates in Abies fargesii at the upper tree limits. Plant Biology, 2015, 17 (1): 106- 113.
doi: 10.1111/plb.12191 |
|
|
Fruze M E , Huqgett B A , Aubrecht D M , et al. Whole-trec nonstructra carbohydrate storage and seasonal dynamics in file temperate species. New phytoloqist, 2019, 221 (3): 1466- 1477.
doi: 10.1111/nph.15462 |
|
| Gorissen A , Tietema A , Joosten N N , et al. Climate change affects carbon allocation to the soil in shrublands. Ecosystems, 2004, 7 (6): 650- 661. | |
|
Guo Q F , Ren H . Productivity as related to diversity and age in planted versus natural forests. Global Ecology and Biogeography, 2014, 23 (12): 1461- 1471.
doi: 10.1111/geb.12238 |
|
|
Gough C M , Flower C E , Vogel C S , et al. Whole-ecosystem labile carbon production in a north temperate deciduous forest. Agricultural and Forest Meteorology, 2009, 149, 1531- 1540.
doi: 10.1016/j.agrformet.2009.04.006 |
|
|
Hartmann H , Trumbore S . Understanding the roles of nonstructural carbohydrates in forest trees-from what we can measure to what we want to know. New Phytologist, 2016, 211 (2): 386- 403.
doi: 10.1111/nph.13955 |
|
|
Hoch G , Körner C . Global patterns of mobile carbon stores in trees at the high-elevation tree line. Global Ecology and Biogeography, 2012, 21 (8): 861- 871.
doi: 10.1111/j.1466-8238.2011.00731.x |
|
| Hoch G , Richter A , Körner C . Non-structural carbon compounds in temperate forest trees. Plant, Cell & Environment, 2003, 26 (7): 1067- 1081. | |
|
Klein T , Hoch G , Yakir D , et al. Drought stress, growth and nonstructural carbohydrate dynamics of pine trees in a semi-arid forest. Tree Physiology, 2014, 34 (9): 981- 992.
doi: 10.1093/treephys/tpu071 |
|
|
Kobe R K . Carbohydrate allocation to storage as a basis of interspecific variation in sapling survivorship and growth. Oikos, 1997, 80 (2): 226- 233.
doi: 10.2307/3546590 |
|
|
Körner C . Carbon limitation in trees. Journal of Ecology, 2003, 91 (1): 4- 17.
doi: 10.1046/j.1365-2745.2003.00742.x |
|
|
Kozlowski T T . Carbohydrate sources and sinks in woody plants. The Botanical Review, 1992, 58 (2): 107- 222.
doi: 10.1007/BF02858600 |
|
|
Lens F , Jansen S , Robbrecht E , et al. Wood anatomy of the Vanguerieae(Ixoroideae - Rubiaceae), with special emphasis on some Geofrutices. Iawa Journal, 2000, 21 (4): 443- 455.
doi: 10.1163/22941932-90000260 |
|
|
Li K R , Wang S Q , Cao M K . Vegetation and soil carbon storage in China. Science in China Ser. D Earth Sciences(English edition), 2004, 47 (1): 49- 57.
doi: 10.1360/02yd0029 |
|
| Li M H , Hoch G , Körner C . Spatial variability of mobile carbohydrates within Pinus cembra trees at the alpine treeline. Phyton, 2001, 41 (2): 203- 213. | |
| Li M H , Hoch G , Körner C . Source/sink removal affects mobile carbohydrates in Pinus cembra at the Swiss treeline. Trees, 2002, 16 (4-5): 331- 337. | |
|
Li M H , Jiang Y , Wang A , et al. Active summer carbon storage for winter persistence in trees at the cold alpine treeline. Tree Physiology, 2018, 38 (9): 1345- 1355.
doi: 10.1093/treephys/tpy020 |
|
|
Li N N , He N P , Yu G R , et al. Leaf non-structural carbohydrates regulated by plant functional groups and climate: Evidences from a tropical to cold-temperate forest transect. Ecological Indicators, 2016, 62, 22- 31.
doi: 10.1016/j.ecolind.2015.11.017 |
|
|
Liu H Y , Shangguan H L , Zhou M , et al. Differentiated responses of nonstructural carbohydrate allocation to climatic dryness and drought events in the Inner Asian arid timberline. Agricultural and Forest Meteorology, 2019, 271, 355- 361.
doi: 10.1016/j.agrformet.2019.03.008 |
|
|
Liu J F , Deng Y P , Wang X F , et al. The concentration of non-structural carbohydrates, N, and P in Quercus variabilis does not decline toward its northernmost distribution range along a 1500km transect in China. Frontiers in Plant Science, 2018, 9, 1444.
doi: 10.3389/fpls.2018.01444 |
|
|
Martínez-Vilalta J , Sala A , Asensio D , et al. Dynamics of non-structural carbohydrates in terrestrial plants: a global synthesis. Ecological Monographs, 2016, 86 (4): 495- 516.
doi: 10.1002/ecm.1231 |
|
|
Myers J A , Kitajima K . Carbohydrate storage enhances seedling shade and stress tolerance in a neotropical forest. Journal of Ecology, 2007, 95 (2): 383- 395.
doi: 10.1111/j.1365-2745.2006.01207.x |
|
|
Palacio S , Hoch G , Sala A , et al. Does carbon storage limit tree growth. New Phytologist, 2014, 201 (4): 1096- 1100.
doi: 10.1111/nph.12602 |
|
|
Reich P B , Oleksyn J . Global patterns of plant leaf N and P in relation to temperature and latitude. Proceedings of the National Academy of Sciences of the United States of America, 2004, 101 (30): 11001- 11006.
doi: 10.1073/pnas.0403588101 |
|
|
Richardson A D , Carbone M S , Huggett B A , et al. Distribution and mixing of old and new nonstructural carbon in two temperate trees. New Phytologist, 2015, 206 (2): 590- 597.
doi: 10.1111/nph.13273 |
|
|
Richardson A D , Carbone M S , Keenan T F , et al. Seasonal dynamics and age of stemwood nonstructural carbohydrates in temperate forest trees. New Phytologist, 2013, 197 (3): 850- 861.
doi: 10.1111/nph.12042 |
|
|
Rocha A V , Goulden M L . Why is marsh productivity so high? New insights from eddy covariance and biomass measurements in a Typha marsh. Agricultural and Forest Meteorology, 2009, 149 (1): 159- 168.
doi: 10.1016/j.agrformet.2008.07.010 |
|
|
Schönbeck L , Gessler A , Hoch G , et al. Homeostatic levels of nonstructural carbohydrates after 13 yr of drought and irrigation in Pinus sylvestris. New Phytologist, 2018, 219 (4): 1314- 1324.
doi: 10.1111/nph.15224 |
|
|
Schoonmaker A L , Hillabrand R M , Lieffers V J , et al. Seasonal dynamics of non-structural carbon pools and their relationship to growth in two boreal conifer tree species. Tree Physiology, 2021, 41 (9): 1563- 1582.
doi: 10.1093/treephys/tpab013 |
|
| Smith M G , miller R E , Arndt S K , et al. Whole-tree distribution and temporal variation of non-structural carbohydrates in broadleaf evergreen trees. Tree Physiology, 2017, 38 (4): 570- 581. | |
| Tanaka T S T , Irbisa C , Kumagai H , et al. Timing of harvest of Phragmites australis (CAV) Trin. ex Steudel affects subsequent canopy structure and nutritive value of roughage in subtropical highland. Journal of Environmental Management, 2016, 166, 420- 428. | |
|
Toledo M , Poorter L , Peña-Claros M , et al. Climate is a stronger driver of tree and forest growth rates than soil and disturbance. Journal of Ecology, 2011, 99 (1): 254- 264.
doi: 10.1111/j.1365-2745.2010.01741.x |
|
| Wang A , Wang X , Tognetti R , et al. Elevation alters carbon and nutrient concentrations and stoichiometry in Quercus aquifolioides in southuesterr China. Scien of the Total Environment, 2018, 622-623, 1436- 1475. | |
|
Wen D , He N P . Forest carbon storage along the north-south transect of eastern China: spatial patterns, allocation, and influencing factors. Ecological Indicators, 2016, 61, 960- 967.
doi: 10.1016/j.ecolind.2015.10.054 |
|
|
Würth M K R , Peláez-Riedl S , Wright S J , et al. Non-structural carbohydrate pools in a tropical forest. Oecologia, 2005, 143 (1): 11- 24.
doi: 10.1007/s00442-004-1773-2 |
|
|
Zadworny M , McCormack M L , mucha J , et al. Scots pine fine roots adjust along a 2000-km latitudinal climatic gradient. New Phytologist, 2016, 212 (2): 389- 399.
doi: 10.1111/nph.14048 |
|
|
Zhu W Z , Xiang J S , Wang S G , et al. Resprouting ability and mobile carbohydrate reserves in an oak shrubland decline with increasing elevation on the eastern edge of the Qinghai-Tibet Plateau. Forest Ecology and Management, 2012, 278, 118- 126.
doi: 10.1016/j.foreco.2012.04.032 |
| [1] | 李敏, 赵熙州, 王好运, 卢中科, 丁贵杰. 干旱胁迫及外生菌根菌对马尾松幼苗根系形态及分泌物的影响[J]. 林业科学, 2022, 58(7): 63-72. |
| [2] | 周紫晶,范付华,尚先文,覃慧娟,王聪慧,丁贵杰,谭健晖. 外源IAA对马尾松幼苗茎干次生生长的影响[J]. 林业科学, 2021, 57(9): 42-51. |
| [3] | 王海洋,马千里. 马尾松树皮纳米木质纤维素气凝胶吸附剂对Cr3+、Cu2+、Pb2+、Ni2+的吸附性能及机理[J]. 林业科学, 2021, 57(7): 166-174. |
| [4] | 叶琳峰,李彦,王忠媛,陆世通,潘天天,陈森,谢江波. 湿润地区3种松属植物枝和根导水系统的效率-安全关系[J]. 林业科学, 2021, 57(7): 194-204. |
| [5] | 白云星,周运超,张薰元,杜姣姣. 马尾松针阔混交人工林凋落物和土壤水源涵养能力[J]. 林业科学, 2021, 57(11): 24-36. |
| [6] | 温小遂,宋墩福,杨忠岐,王忠辉,施明清. 天敌花绒寄甲与寄主松褐天牛成虫出现期的关系[J]. 林业科学, 2020, 56(9): 193-200. |
| [7] | 王胤,姚瑞玲. 继代培养中马尾松生根能力及其与内源激素含量的相关分析[J]. 林业科学, 2020, 56(8): 38-46. |
| [8] | 朱丽华,章欣月,夏馨蕊,万羽,代善俊,叶建仁. 无细菌松材线虫对马尾松的致病性[J]. 林业科学, 2020, 56(7): 63-69. |
| [9] | 王晓荣,雷蕾,付甜,潘磊,曾立雄,肖文发. 抚育择伐对马尾松林凋落叶分解速率和养分释放的短期影响[J]. 林业科学, 2020, 56(4): 12-21. |
| [10] | 朱沛煌,陈妤,朱灵芝,李荣,季孔庶. 马尾松转录组密码子使用偏好性及其影响因素[J]. 林业科学, 2020, 56(4): 74-81. |
| [11] | 武星,胡兴峰,陈佩珍,孙晓波,吴帆,季孔庶. 马尾松PmPIN1基因的克隆及功能分析[J]. 林业科学, 2020, 56(3): 184-192. |
| [12] | 闫小莉, 胡文佳, 马远帆, 霍昱帆, 王拓, 马祥庆. 异质性供氮环境下杉木、马尾松、木荷氮素吸收偏好及其根系觅氮策略[J]. 林业科学, 2020, 56(2): 1-11. |
| [13] | 孙凯,吴家森,盛卫星,姜培坤,张云晴,葛江飞. 亚热带不同林龄马尾松林地上器官植硅体碳封存潜力[J]. 林业科学, 2020, 56(12): 10-18. |
| [14] | 陈奕帆,付晓莉,王辉民,戴晓琴,寇亮,陈伏生,卜文圣. 林下植被清除对不同径级中龄杉木生长速率的影响机制[J]. 林业科学, 2020, 56(11): 21-30. |
| [15] | 袁秀锦, 肖文发, 雷静品, 潘磊, 王晓荣, 崔鸿侠, 胡文杰. 三峡库区马尾松林穿透雨和树干茎流空间变异特征[J]. 林业科学, 2020, 56(1): 10-19. |
| 阅读次数 | ||||||
|
全文 |
|
|||||
|
摘要 |
|
|||||