林业科学 ›› 2025, Vol. 61 ›› Issue (11): 24-34.doi: 10.11707/j.1001-7488.LYKX20240737
• 前沿热点 • 下一篇
贺茜茜2,杨万霞1,2,3,尚旭岚1,2,3,孙操稳1,2,3,张雷1,2,3,方升佐1,2,3,*(
)
收稿日期:2024-12-03
修回日期:2025-02-08
出版日期:2025-11-25
发布日期:2025-12-11
通讯作者:
方升佐
E-mail:fangsz@njfu.edu.cn
基金资助:
Qianqian He2,Wanxia Yang1,2,3,Xulan Shang1,2,3,Caowen Sun1,2,3,Lei Zhang1,2,3,Shengzuo Fang1,2,3,*(
)
Received:2024-12-03
Revised:2025-02-08
Online:2025-11-25
Published:2025-12-11
Contact:
Shengzuo Fang
E-mail:fangsz@njfu.edu.cn
摘要:
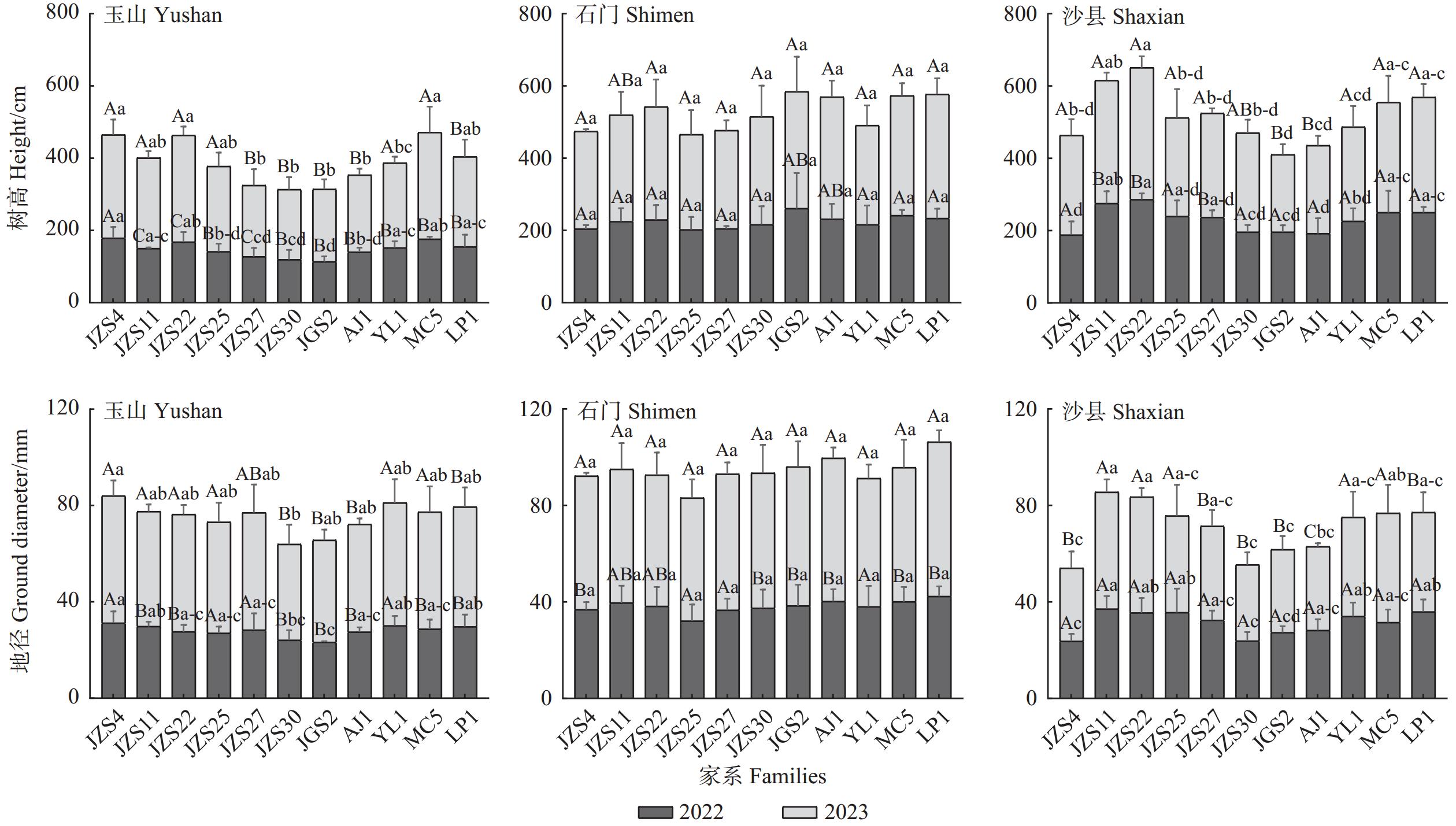
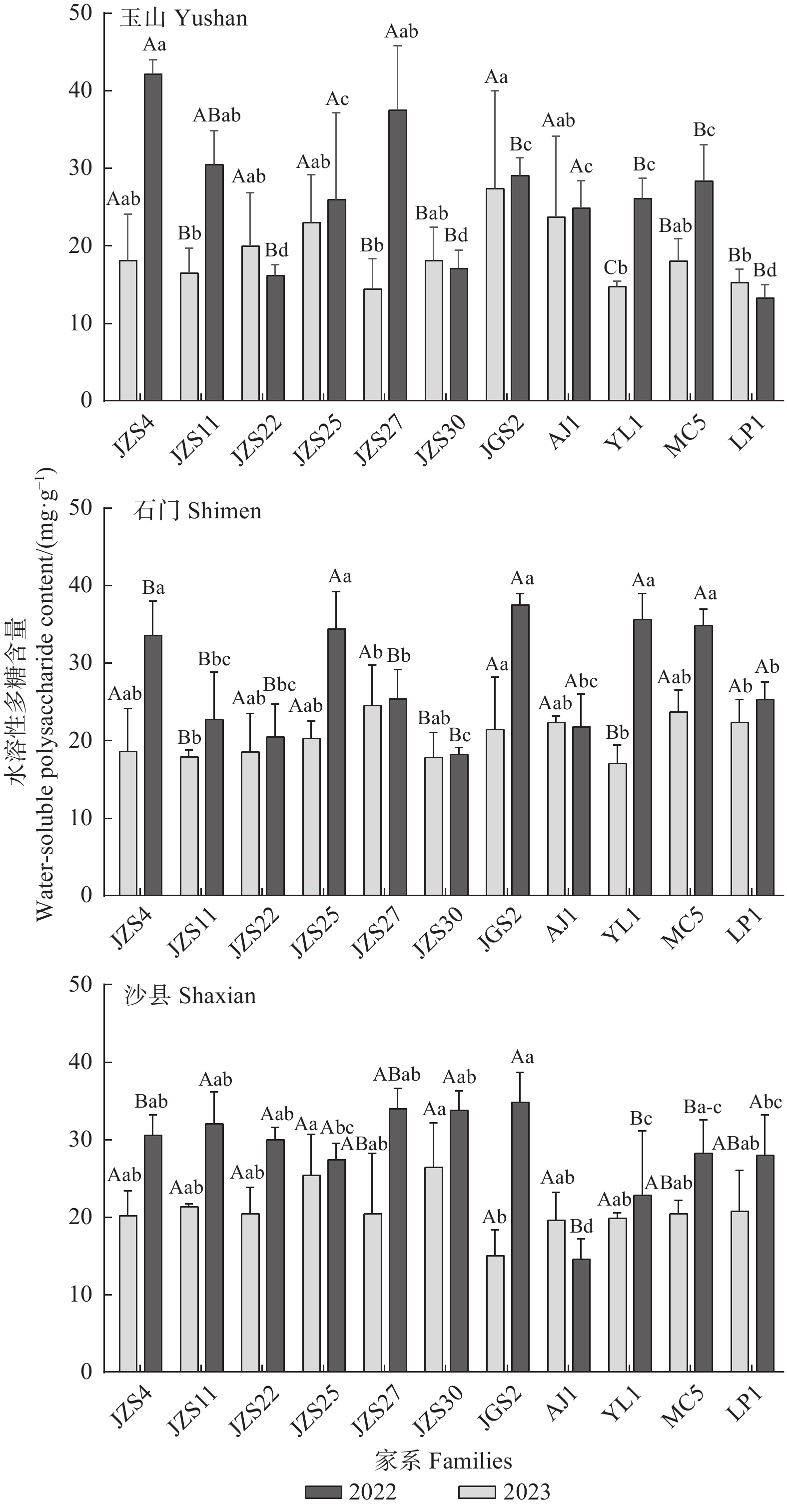
目的: 聚焦青钱柳家系生长性状和叶水溶性多糖含量的变异规律,筛选适应性广、性状稳定的高多糖积累量的优良家系,为青钱柳叶用人工林的定向培育提供优良种质资源。方法: 以江西玉山、湖南石门和福建沙县3个试验点建立的11个青钱柳家系试验林为研究对象,测定其树高、地径、叶水溶性多糖含量、单株叶生物量和单株叶水溶性多糖积累量,分析青钱柳家系各性状的遗传参数;采用GGE双标图及多性状稳定性指数法分别对单株叶水溶性多糖积累量进行单指标和多指标综合评价,定向筛选高多糖积累量的优良家系。结果: 1) 多年多点的试验结果表明,青钱柳家系的树高、地径、叶水溶性多糖含量及单株叶生物量存在极显著差异(P<0.01),且基因型与立地环境的交互作用显著,特别是叶水溶性多糖含量不仅受遗传和立地的影响而且与树龄的变化相关。2) 遗传参数估计结果表明,青钱柳不同性状的遗传力存在明显差异,除地径遗传力较低(0.32)外,其他性状均有较高的遗传力。3) 以青钱柳单株叶水溶性多糖积累量为定向筛选目标,通过GGE双标图分析、多性状稳定性指数评价,筛选出高产且稳定的2个青钱柳家系(JZS27和MC5)。结论: 青钱柳的生长性状、叶水溶性多糖含量及单株叶水溶性多糖积累量受立地环境与基因型共同作用,但不同性状遗传力存在明显差异,基于GGE双标图分析与多性状稳定性指数评价,筛选出适合不同区域青钱柳叶用人工林培育优良家系,为优质高效青钱柳叶用林的定向培育提供依据。
中图分类号:
贺茜茜,杨万霞,尚旭岚,孙操稳,张雷,方升佐. 基于水溶性多糖积累量的青钱柳叶用林优良家系筛选[J]. 林业科学, 2025, 61(11): 24-34.
Qianqian He,Wanxia Yang,Xulan Shang,Caowen Sun,Lei Zhang,Shengzuo Fang. Selection of Superior Cyclocarya paliurus Families for Leaf Production Based on the Accumulation of Water-Soluble Polysaccharide[J]. Scientia Silvae Sinicae, 2025, 61(11): 24-34.
表1
3个试验地点的地理位置、气候及土壤基本情况"
| 因素Factor | 指标Index | 玉山 Yushan | 石门 Shimen | 沙县 Shaxian |
| 地理位置 Geographic locations | 经度Longitude(E)/(°) | 118.25 | 111.38 | 117.78 |
| 纬度Latitude(N)/(°) | 28.68 | 29.59 | 26.40 | |
| 海拔Altitude/m | 150~200 | 220~500 | 120~200 | |
| 气候 Climate | 年平均温度Annual mean temperature/℃ | 17.5 | 16.8 | 18.3 |
| 年降水量Annual precipitation/mm | 1 843 | 1 440 | 1 730 | |
| 无霜期Frost free period/d | 260 | 270 | 290 | |
| 年日照时数Annual sunshine hours/h | 1 700 | 1 600 | 1 750 | |
| 土壤 Soil | 土壤质地Soil texture | 壤土Loam | 壤土Loam | 沙壤土Loamy sand |
| pH | 4.49 | 5.66 | 4.70 | |
| 土壤密度Soil bulk density/(g·cm–3) | 1.39 | 1.39 | 1.09 |
表2
青钱柳家系生长和叶水溶性多糖含量的多年多点方差分析①"
| 变异来源 Variance source | df | F | ||
| 地径 Ground diameter | 树高 Tree height | 水溶性多糖含量 Water-soluble polysaccharide content | ||
| 家系Family | 10 | 3.440** | 6.058** | 2.660** |
| 试验点Site | 2 | 75.385** | 72.284** | 3.499* |
| 树龄Tree age | 1 | 330.343** | 210.390** | 107.402** |
| 家系×试验点Family×site | 20 | 2.343** | 3.158** | 2.659** |
| 家系×树龄Family×tree age | 10 | 0.098 | 0.648 | 2.268* |
| 试验点×树龄Site×tree age | 2 | 18.279** | 4.304* | 0.250 |
| 家系×试验点×树龄Family×site×tree age | 20 | 0.316 | 0.305 | 1.978** |
图2
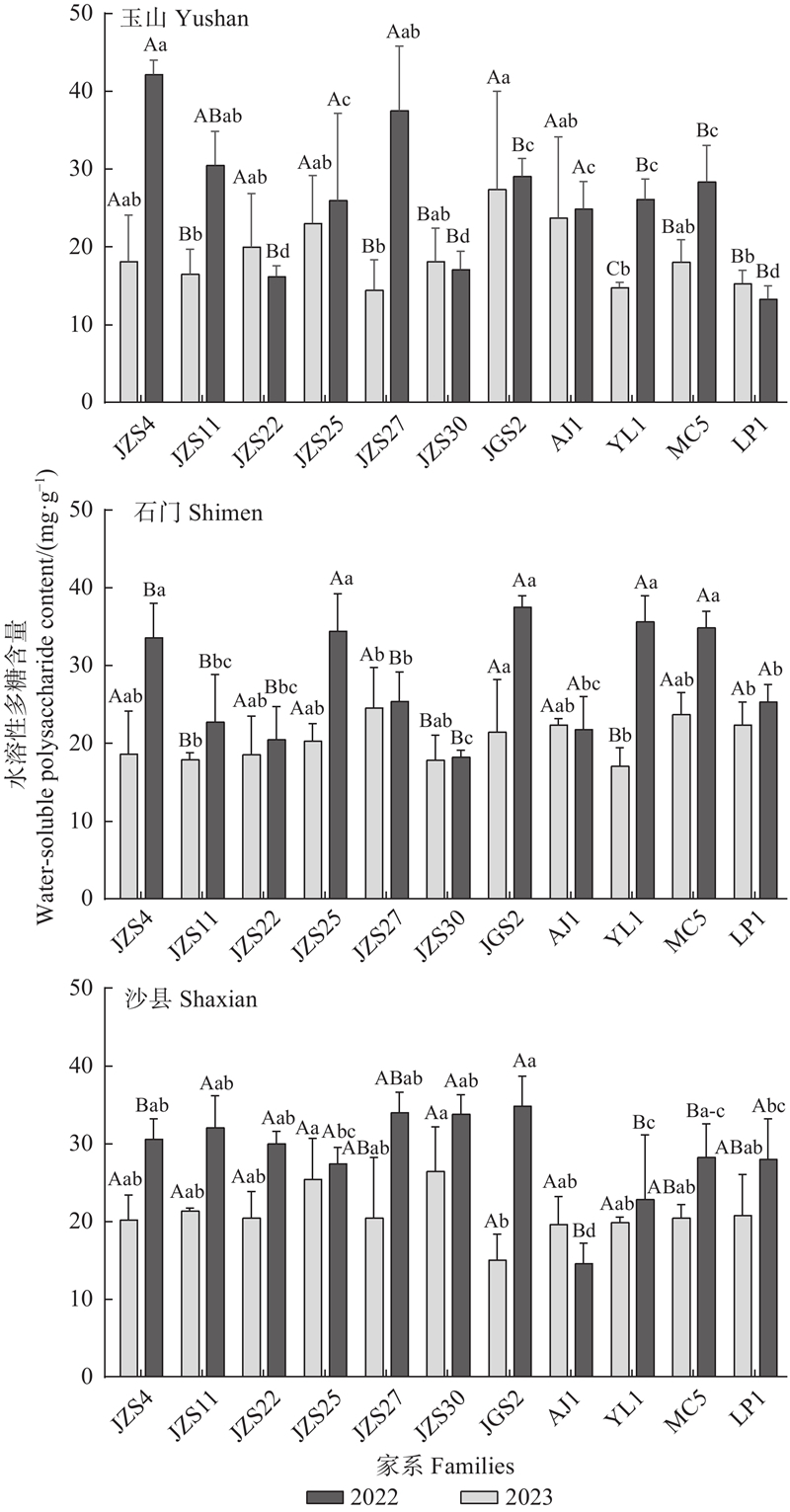
青钱柳家系水溶性多糖含量在3个试验点的差异 不同小写字母表示不同家系在同一试验点的差异显著性,不同大写字母表示同一家系在不同试验点的差异显著性(P<0.05)(Duncan’s多重比较)。Different lowercase letters indicate significant differences among families within the same region,and different capital letters indicate significant differences in the same family at different sites (P<0.05, Duncan's multiple comparisons)."
表3
青钱柳家系单株叶生物量和叶水溶性多糖积累量多点方差分析①"
| 性状Trait | 变异来源 Variance source | df | 均方 Mean squre | F |
| 单株叶 生物量 Individual leaf biomass | 家系Family | 10 | 5.423** | |
| 试验点Site | 2 | 36.118** | ||
| 家系×试验点 Family×site | 20 | 2.971** | ||
| 误差Error | 99 | |||
| 水溶性多糖 单株积累量 Water-soluble polysaccharide individual accumulation | 家系Family | 10 | 21.619 | 8.152** |
| 试验点Site | 2 | 73.193 | 27.600** | |
| 家系×试验点 Family×site | 20 | 10.067 | 3.796** | |
| 误差Error | 99 | 2.652 |
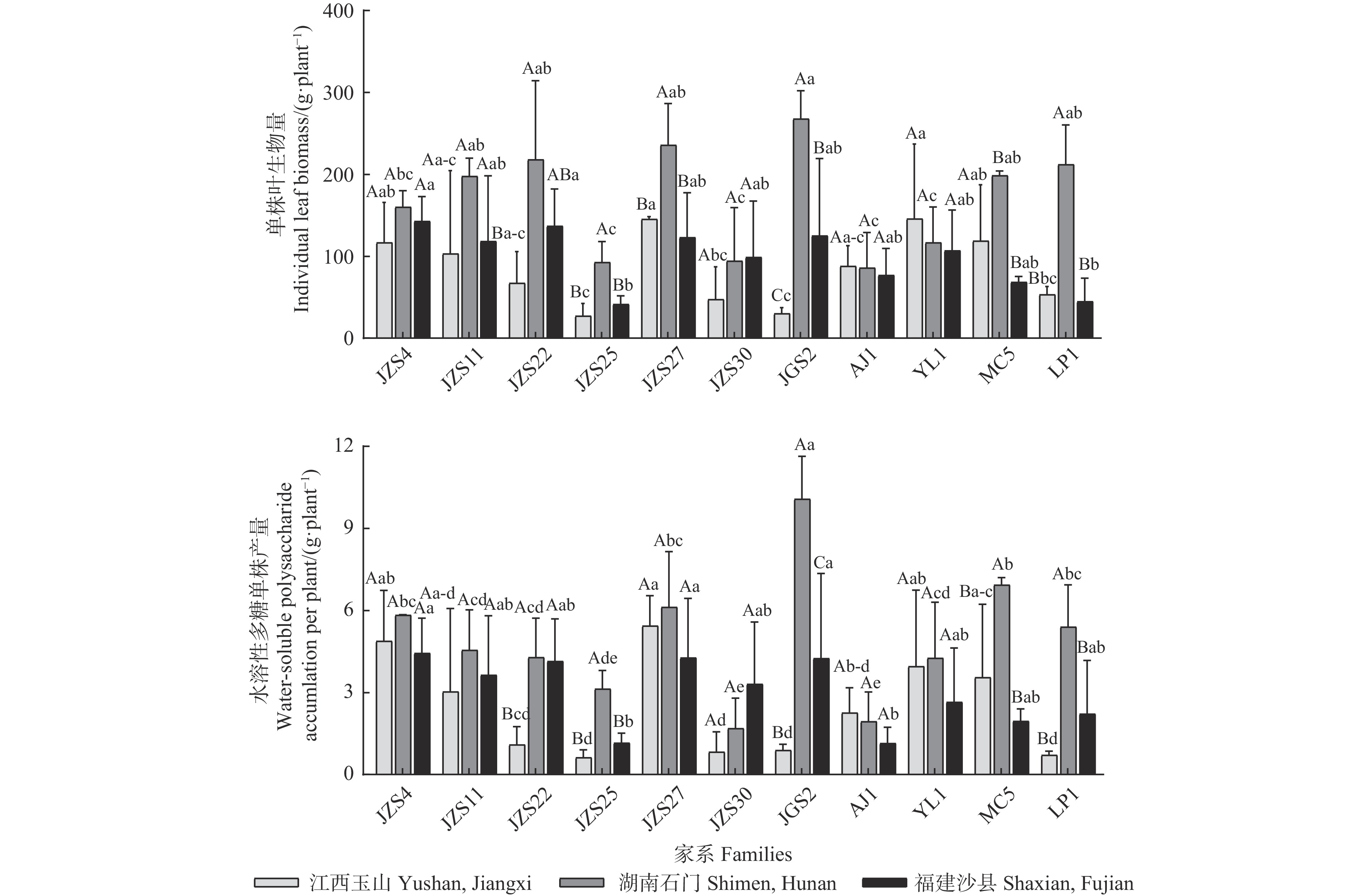
图3
青钱柳家系单株叶生物量和水溶性多糖积累量在3个试验点的差异 不同小写字母表示不同家系在同一试验点的差异显著性,不同大写字母表示同一家系在不同试验点的差异显著性(P<0.05,Duncan's多重比较)。Different lowercase letters indicate significant differences among families within the same region,and different capital letters indicate significant differences in the same family at different sites (P<0.05, Duncan's multiple comparisons)."
表4
青钱柳家系各性状遗传参数的差异"
| 性状 Traits | 方差 Variance | 遗传力 Heritability | 变异系数 Variation coefficient | |||||||
| 树高 Tree height | 217.945 | 497.156 | 0 | 0 | 1 718.828 | 0.48 | 95.55 | 17..37 | ||
| 地径 Ground diameter | 2.088 | 5.546 | 0 | 4.233 | 45.656 | 0.32 | 22.23 | 16.00 | ||
| 水溶性多糖含量 Water-soluble polysaccharide content | 13.497 | 34.024 | 0 | 0 | 18.170 | 0.51 | 12.84 | 14.90 | ||
| 单株叶生物量 Individual leaf biomass | 524.503 | 1 265.177 | 0 | 0 | 2 567.232 | 0.45 | 19.32 | 42.74 | ||
| 水溶性多糖单株积累量 Accumulation of water-soluble polysaccharide per plant | 0.936 | 1.945 | 0 | 0 | 2.574 | 0.52 | 27.41 | 45.45 | ||
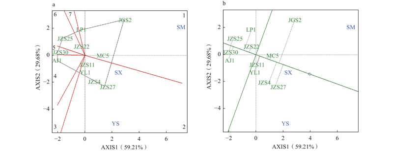
图4
基于GGE分析的青钱柳家系适应性功能图(a)及丰产性和稳定性功能图(b) SM:石门 Shimen;YS:玉山 Yushan;SX:沙县 Shaxian;JZS4:金钟山4 Jinzhong Mountain 4;JZS11:金钟山11 Jinzhong Mountain 11;JZS22:金钟山22 Jinzhong Mountain 22;JZS25:金钟山25 Jinzhong Mountain 25;JZS27:金钟山27 Jinzhong Mountain 27;JZS30:金钟山30 Jinzhong Mountain 30;JGS2:井冈山2 Jinggang Mountain 2;AJ1:安吉县1 Anji county 1;YL1:炎陵县1 Yanling county 1;MC5:沐川县5 Muchuan county 5;LP1:黎平县1 Liping county 1."
| 陈曼雨, 顾志良. 青钱柳调节糖脂代谢活性成分及作用机制的研究进展. 食品工业科技, 2021, 42 (11): 382- 389. | |
| Chen M Y, Gu Z L. Research progress on the active components and mechanism of Cyclocarya paliurus in regulating glucose and lipid metabolism. Science and Technology of Food Industry, 2021, 42 (11): 382- 389. | |
| 苑海静, 成向荣, 虞木奎, 等. 麻栎优树自由授粉家系生长性状3地点间动态变异及优良家系选择. 林业科学研究, 2022, 35 (2): 9- 18. | |
| Yuan H J, Cheng X R, Yu M K, et al. Dynamic variation of growth traits in open-pollinated families of Quercus acutissima superior tree and selection of superior families among three sites. Research in Forestry Sciences, 2022, 35 (2): 9- 18. | |
| 方升佐. 青钱柳产业发展历程及资源培育研究进展. 南京林业大学学报 (自然科学版), 2022, 46 (6): 115- 126. | |
| Fang S Z. A review on the development history and the resource siliviculture of Cyclocarya paliurus industry. Journal of Nanjing Forestry University (Natural Sciences Edition), 2022, 46 (6): 115- 126. | |
| 方升佐, 尚旭岚, 杨万霞. 2022. 青钱柳地理变异研究. 北京: 中国林业出版社. | |
| Fang S Z, Shang X L, Yang W X. 2022. Research on geographical variations of Cyclocarya paliurus. Bejing: China Forestry Publishing House. [in Chinese] | |
| 贺海波, 朱丽金, 罗思旭, 等. 青钱柳功能性多糖的研究现状及展望. 生物资源, 2021, 43 (2): 110- 118. | |
| He H B, Zhu L J, Luo S X, et al. Current status and prospects of research on functional polysaccharides from Cyclocarya paliurus. Biological Resources, 2021, 43 (2): 110- 118. | |
| 蓝丽霞, 徐展宏, 孙操稳, 等. 青钱柳种质资源评价及其优良家系和单株筛选. 林业科学研究, 2022, 35 (5): 42- 51. | |
| Lan L X, Xu Z H, Sun C W, et al. Evaluation of Cyclocarya paliurus germplasm resources and screening of superior families and individual plants. Forestry Science Research, 2022, 35 (5): 42- 51. | |
| 卢玉翠, 王利晶, 龙仙梅, 等. 青钱柳多糖抑菌活性及作用机制研究. 食品安全质量检测学报, 2024, 15 (2): 275- 284. | |
| Lu Y C, Wang L J, Long X M, et al. Study on the antibacterial activity and mechanism of Cyclocarya paliurus polysaccharides. Journal of Food Safety and Quality, 2024, 15 (2): 275- 284. | |
| 田 力, 徐骋炜, 尚旭岚, 等. 青钱柳药用优良单株评价与选择. 南京林业大学学报(自然科学版), 2021, 45 (1): 21- 28. | |
| Tian L, Xu C W, Shang X L, et al. Evaluation and selection of excellent medicinal individuals of Cyclocarya paliurus. Journal of Nanjing Forestry University (Natural Sciences Edition), 2021, 45 (1): 21- 28. | |
| 王俊青, 赵天宇, 谷凤平, 等. 枫香半同胞家系子代遗传变异与优良家系选择研究. 西南林业大学学报, 2015, 35 (4): 33- 38. | |
| Wang J Q, Zhao T Y, Gu F P, et al. Genetic variation of progeny and selection of superior lineages in half-sib families of Chinese sweetgum. Journal of Southwest Forestry University, 2015, 35 (4): 33- 38. | |
| 汪荣斌, 秦亚东, 周娟娟. 国内近10年青钱柳多糖研究进展. 中国中医药信息杂志, 2017, 24 (5): 133- 136. | |
| Wang R B, Qin Y D, Zhou J J. Research progress of polysaccharides from Cyclocarya paliurus in China in the past 10 years. Chinese Journal of Traditional Chinese Medicine Information, 2017, 24 (5): 133- 136. | |
| 王舒扬, 田 力, 周顺陶, 等. 多倍化对青钱柳叶形态、光合性能和次生代谢产物积累的影响. 林业科学, 2024, 60 (8): 120- 131. | |
| Wang S Y, Tian L, Zhou S T, et al. Effects of polyploidizationon leaf morphology, photosynthetic performance, and accumulation of secondary metabolites in Cyclocarya paliurus. Forest Science, 2024, 60 (8): 120- 131. | |
| 谢建华, 谢明勇, 聂少平, 等. 苯酚-硫酸法测定青钱柳中多糖含量. 食品工业, 2010, 31 (4): 93- 95. | |
| Xie J H, Xie M Y, Nie S P, et al. Determination of polysaccharides from Cyclocarya paliurus (Batal.) Iljinskja by phenol-sulfuric acid. Food Industry, 2010, 31 (4): 93- 95. | |
| 谢建华, 申明月, 聂少平, 等. 青钱柳多糖活性炭脱色工艺. 南昌大学学报(理科版), 2013, 37 (4): 382- 385. | |
| Xie J H, Shen M Y, Nie S P, et al. Activated carbon decolorization process of Cyclocarya paliurus polysaccharide. Journal of Nanchang University (Science Edition), 2013, 37 (4): 382- 385. | |
| 许乃银, 李 健. GGE双标图的信息比校正原理与应用: 以长江流域棉花品种生态区划分为例. 中国生态农业学报, 2015, 23 (9): 1169- 1177. | |
| Xu L Y, Li J. Principles and applications of information ratio adjustment of GGE biplot: a case study of cotton mega-environment investigation inthe Yangtze River Valley. Chinese Journal of Eco-Agriculture, 2015, 23 (9): 1169- 1177. | |
| 严威凯. 双标图分析在农作物品种多点试验中的应用. 作物学报, 2010, 36 (11): 1805- 1819. | |
| Yan W K. Application of biplot analysis to crop variety multipoint test. Acta Agronomica Sinica, 2010, 36 (11): 1805- 1819. | |
|
严威凯. 品种选育与评价的原理和方法评述. 作物学报, 2022, 48 (9): 2137- 2154.
doi: 10.3724/SP.J.1006.2022.11105 |
|
|
Yan W K. A critical review on the principles and procedures for cultivar development and evaluation. Acta Agronomica Sinica, 2022, 48 (9): 2137- 2154.
doi: 10.3724/SP.J.1006.2022.11105 |
|
| 杨姝琦, 许业洲, 袁 慧, 等. 罗田垂枝杉子代生长性状遗传变异及早期选择. 广西师范大学学报(自然科学版), 2024, 42 (5): 193- 200. | |
| Yang S Q, Xu Y Z, Yuan H, et al. Genetic variation and early selection of growth traits in progeny of Epiphyllus chinensis. Journal of Guangxi Normal University (Natural Science Edition), 2024, 42 (5): 193- 200. | |
| 叶振南, 李 楠, 盛丹丹, 等. 青钱柳多糖对高脂血症大鼠血脂及抗脂质过氧化作用的影响. 现代食品科技, 2014, 30 (4): 1- 5. | |
| Ye Z N, Li N, Sheng D D, et al. Effects of Cyclocarya paliurus polysaccharides on hyperlipidemia and anti-lipid peroxidation in hyperlipidemic rats. Modern Food Science and Technology, 2014, 30 (4): 1- 5. | |
| 邹荣灿, 吴少锦, 焦思棋, 等. 不同产地青钱柳多糖的体外抗氧化及α-葡萄糖苷酶抑制活性. 食品工业科技, 2018, 39 (22): 25- 29. | |
| Zou R C, Wu S J, Jiao S Q, et al. In vitro antioxidant and α-glucosidase inhibitory activities of Cyclocarya paliurus polysaccharides from different origins. Food Industry Science and Technology, 2018, 39 (22): 25- 29. | |
|
Ahmed M S, Majeed A, Attia K A, et al. Country-wide, multi-location trials of green super rice lines for yield performance and stability analysis using genetic and stability parameters. Scientific Reports, 2024, 14 (1): 9416.
doi: 10.1038/s41598-024-55510-x |
|
|
Ambrósio M, Daher R F, Santos R M, et al. Multi-trait index: selection and recommendation of superior black bean genotypes as new improved varieties. BMC Plant Biology, 2024, 24 (1): 525.
doi: 10.1186/s12870-024-05248-5 |
|
| Behera P P, Singode A, Bhat B V, et al. Genetic gains in forage sorghum for adaptive traits for non-conventional area through multi-trait-based stability selection methods. Frontiers in Plant Science, 2024, 15, 1248663. | |
|
Demelash H. Genotype by environment interaction, AMMI, GGE biplot, and mega environment analysis of elite Sorghum bicolor (L.) Moench genotypes in humid lowland areas of Ethiopia. Heliyon, 2024, 10 (5): E26528.
doi: 10.1016/j.heliyon.2024.e26528 |
|
|
Deng B, Cao Y N, Fang S Z, et al. Variation and stability of growth and leaf flavonoid content in Cyclocarya paliurus across environments. Ind Crops Prod, 2015, 76, 386- 393.
doi: 10.1016/j.indcrop.2015.07.011 |
|
|
Din A, Gul R, Khan H, et al. Assessing the gnotype-by-evironment G× E ineraction in Desi chickpea via the byesian aditive main effects and multiplicative interaction model. Agriculture, 2024, 14 (2): 215.
doi: 10.3390/agriculture14020215 |
|
|
Fang S Z, Yang W X, Chu X L, et al. Provenance and temporal variations in selected flavonoids in leaves of Cyclocarya paliurus. Food Chemistry, 2011, 124, 1382- 1386.
doi: 10.1016/j.foodchem.2010.07.095 |
|
|
Fu X X, Zhou X D, Deng B, et al. Seasonal and genotypic variation of water-soluble polysaccharide content in leaves of Cyclocarya paliurus. Southern Forests: a Journal of Forest Science, 2015, 77 (3): 231- 236.
doi: 10.2989/20702620.2015.1010698 |
|
|
Ghaffar M, Asghar M J, Shahid M, et al. Estimation of G× E interaction of Lentil genotypes for yield using AMMI and GGE biplot in Pakistan. Journal of Soil Science and Plant Nutrition, 2023, 23 (2): 2316- 2330.
doi: 10.1007/s42729-023-01182-x |
|
| Liu Q, Huang L L, Fu Co, et al. Genotype–environment interaction of crocin in Gardenia jasminoides by AMMI and GGE biplot analysis. Food Science & Nutrition, 2022, 10 (11): 4080- 4087. | |
|
Liu Y, Fang S Z, Zhou M M, et al. Geographic variation in water-soluble polysaccharide content and antioxidant activities of Cyclocarya paliurus leaves. Industrial Crops and Products, 2018, 121, 180- 186.
doi: 10.1016/j.indcrop.2018.05.017 |
|
| Khandelwal V, Patel R, Choudhary K B, et al. 2024. Stabilityanalysis and identification of superior hybrids inpearl millet [Pennisetum glaucum (L. ) R. Br.] using the multi trait stability index. Plants, 13(8): 1101. | |
|
Krishnamurthy S L, Sharma P C, Sharma D K, et al. Additive main effects and multiplicative interaction analyses of yield performance in rice genotypes for general and specific adaptation to salt stress in locations in India. Euphytica, 2021, 217, 1- 15.
doi: 10.1007/s10681-020-02732-5 |
|
| Kroon J, Andersson B, Mullin T J. Genetic variation in the diameter-height relationship in Scots pine (Pinus sylvestris). Canadian Journal of Forest Research, 2008, 38 (9): 2279- 2289. | |
| Navrood F F, Zakaria R A, Rad M M, et al. Stability analysis of groundnut (Arachis hypogaea L.) genotypes using AMMI and GGE biplot models and ideal genotype selection indicator. Indian Journal of Genetics and Plant Breeding, 2023, 83 (4): 518- 525. | |
|
Olivoto T, Lúcio A D C, da Silva J A G, et al. Mean performance and stability in multi-environment trials Ⅱ: selection based on multiple traits. Agronomy Journal, 2019, 111(6), 2961- 2969.
doi: 10.2134/agronj2019.03.0221 |
|
|
Omrani A, Omrani S, Khodarahmi M, et al. Evaluation of grain yield stability in some selected wheat genotypes using AMMI and GGE biplot methods. Agronomy, 2022, 12 (5): 1130.
doi: 10.3390/agronomy12051130 |
|
|
Sharma J P, Sankhyan H P, Thakur S, et al. Estimates of genetic parameters for growth, leaf and biomass traits of Indian Willow (Salix tetrasperma Roxb. ). Journal of Tree Sciences, 2019, 38 (1): 1- 5.
doi: 10.5958/2455-7129.2019.00001.3 |
|
|
Tesfaye M, Feyissa T, Hailesilassie T, et al. Identification of high erucic acid Brassica carinata genotypes through multi-trait stability index. Agriculture, 2024, 14 (7): 1100.
doi: 10.3390/agriculture14071100 |
|
|
Tian Y, Yang W, Wan S, et al. Insights into the hormone-regulating mechanism of adventitious root formation in softwood cuttings of Cyclocarya paliurus and optimization of the hormone-based formula for promoting rooting. International Journal of Molecular Science, 2024, 25, 1343.
doi: 10.3390/ijms25021343 |
|
|
Wang M Y, Jiang S, Deng Y, et al. Nine new nor-3, 4-seco-dammarane triterpenoids from the leaves of Cyclocarya paliurus and their hypoglycemic activity. Bioorganic Chemistry, 2024, 152, 107763.
doi: 10.1016/j.bioorg.2024.107763 |
|
| Wardofa G A, Ararsa A D. Evaluation of grain yield stability analysis in bread wheat (Triticum aestivum L.) genotypes using parametric method. American Journal of Life Sciences, 2020, 8 (6): 189- 195. | |
|
Xie J H, Liu X, Shen M Y, et al. Purification, physicochemical characterisation and anticancer activity of a polysaccharide from Cyclocarya paliurus leaves. Food Chemistry, 2013, 136 (3/4): 1453- 1460.
doi: 10.1016/j.foodchem.2012.09.078 |
|
|
Xie J H, Zhang F, Wang Z J, et al. Preparation, characterization and antioxidant activities of acetylated polysaccharides from Cyclocarya paliurus leaves. Carbohydrate Polymers, 2015, 133, 596- 604.
doi: 10.1016/j.carbpol.2015.07.031 |
|
|
Zhang Y, Zeng L, Ouyang K, Wang W. Cholesterol-lowering effect of polysaccharides from Cyclocarya paliurus in vitro and in hypercholesterolemia mice. Foods, 2024, 13 (15): 2343.
doi: 10.3390/foods13152343 |
|
|
Zhao Y, Feng Y, Yang C, et al. Genetic parameters and genotype-environment interactions in Paulownia clonal tests in temperate and subtropical regions of China. Forests, 2022, 13 (12): 2113.
doi: 10.3390/f13122113 |
|
| Zhou M M, Pei C, Xu L S, et al 2021. Genotype-environment interactions for tree growth and leaf phytochemical content of Cyclocarya paliurus (Batal. ) Iljinskaja. Forests, 12(6) : 735. |
| [1] | 张静, 张伟溪, 丁昌俊, 褚延广, 苏晓华, 赵军, 苏雪辉, 苑正赛, 李政宏, 余金金, 黄秦军. 美洲黑杨亲本及其不同林龄及生长势子代叶片糖代谢的差异[J]. 林业科学, 2025, 61(5): 131-145. |
| [2] | 姜清彬,孟景祥,李保军,陈海军,方碧江,郭朗,田生辉. 8年生火力楠半同胞家系遗传评价与选育[J]. 林业科学, 2025, 61(1): 104-114. |
| [3] | 魏瑞研,张卫华,徐放,林元震. 红锥生长性状的全基因组选择与优良子代早期评选[J]. 林业科学, 2024, 60(12): 83-91. |
| [4] | 史月冬,郑宏,叶代全,施季森,边黎明. 杉木生长性状的空间与竞争效应及其对遗传参数估计的影响[J]. 林业科学, 2022, 58(5): 75-84. |
| [5] | 冯莹,林庆良,潘东明. 青钱柳愈伤组织的离体保存[J]. 林业科学, 2020, 56(9): 58-66. |
| [6] | 王云鹏,张蕊,周志春,黄少华,马丽珍,范辉华. 木荷优树自由授粉家系早期生长性状遗传变异动态规律[J]. 林业科学, 2020, 56(9): 77-86. |
| [7] | 郭丽,张亮,李蓬勃,刘福,王越,孔祥波,张苏芳,张真. 不同栽培方式对4种黑杨派无性系生长及对春尺蠖抗性的影响[J]. 林业科学, 2020, 56(5): 193-202. |
| [8] | 沈乐, 徐建民, 李光友, 陆钊华, 杨雪艳, 朱映安, 胡杨, 宋佩宁, 郭文仲. 尾叶桉与巨桉杂种F1代生长性状遗传分析[J]. 林业科学, 2019, 55(7): 68-76. |
| [9] | 张帅楠, 栾启福, 姜景民. 基于无损检测技术的湿地松生长及材性性状遗传变异分析[J]. 林业科学, 2017, 53(6): 30-36. |
| [10] | 杨会肖, 刘天颐, 刘纯鑫, 王金榜, 黄少伟. 火炬松基因资源林的空间分析[J]. 林业科学, 2015, 51(11): 50-59. |
| [11] | 尹忠平, 上官新晨, 陈继光, 吴少福, 黎冬明. 青钱柳悬浮培养细胞三萜酸的分离及结构鉴定[J]. 林业科学, 2013, 49(9): 23-27. |
| [12] | 尚旭岚;徐锡增;方升佐. 青钱柳种子休眠机制[J]. 林业科学, 2011, 47(3): 68-74. |
| [13] | 栾启福;姜景民;张建忠;张守攻. 火炬松×加勒比松F1代生长、树干通直度和基本密度遗传和配合力分析[J]. 林业科学, 2011, 47(3): 178-183. |
| [14] | 谢寅峰;张志敏;尚旭岚;杨万霞;王纪;方升佐. 青钱柳茎段腋芽萌发和丛生芽增殖[J]. 林业科学, 2011, 47(1): 50-55. |
| [15] | 任华东 姚小华 康文玲 李生 王开良 段福文. 黑荆树种源和家系的遗传变异与早期选择[J]. 林业科学, 2010, 46(3): 153-160. |
| 阅读次数 | ||||||
|
全文 |
|
|||||
|
摘要 |
|
|||||