林业科学 ›› 2025, Vol. 61 ›› Issue (10): 96-110.doi: 10.11707/j.1001-7488.LYKX20250165
• 研究论文 • 上一篇
马子威1,赵瑞2,蒋翔宇3,普甜3,潘悦3,王娟3,*(
),童美琪4
收稿日期:2025-03-25
出版日期:2025-10-25
发布日期:2025-11-05
通讯作者:
王娟
E-mail:schima@163.com
基金资助:
Ziwei Ma1,Rui Zhao2,Xiangyu Jiang3,Tian Pu3,Yue Pan3,Juan Wang3,*(
),Meiqi Tong4
Received:2025-03-25
Online:2025-10-25
Published:2025-11-05
Contact:
Juan Wang
E-mail:schima@163.com
摘要:
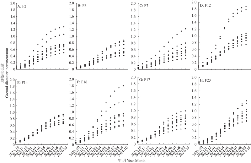
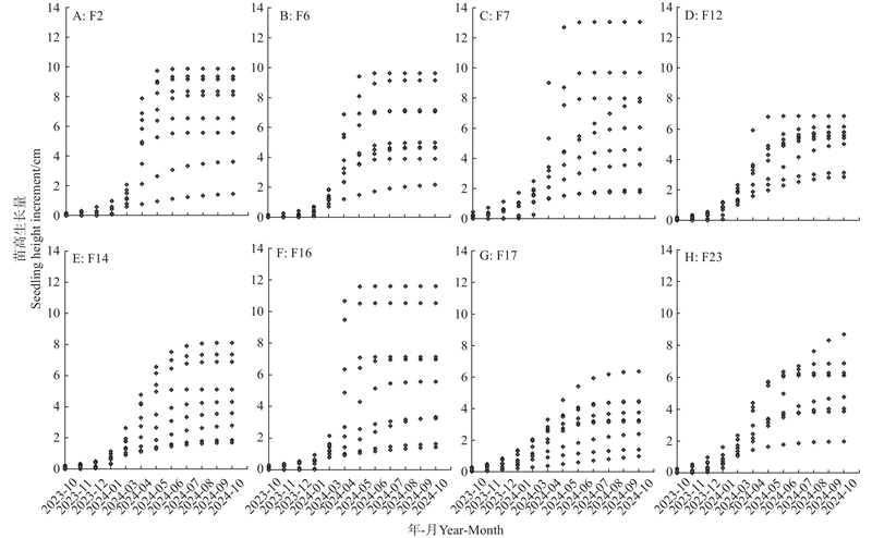
目的: 通过对云南7个不同海拔种源8个蒜头果半同胞家系苗期生长特性的研究,进行家系和优株的配合选择,为蒜头果幼苗精确分级、苗期栽培措施及长期育种策略的制定提供理论依据。方法: 对采自7个不同海拔8株形质优良结实稳定的蒜头果优树自由授粉种子进行播种育苗试验,对各半同胞家系的植株生长、形质、叶片性状指标进行测量。通过数学生长模型优选、隶属函数评价、聚类分析、层次分析法完成对蒜头果半同胞家系苗期生长特性的评价以及家系和优株的配合选择。结果: 在测量周期内,7个不同海拔的8个蒜头果半同胞家系幼苗的苗高与地径生长量的变化均呈“慢?快?慢”的生长节律。各半同胞家系间的苗高地径净生长量存在显著差异,其中苗高净生长量最小值为0.98 cm,最大值为13.07 cm,极差达12.09 cm,变异系数范围为25.8%~64.5%;地径净生长量最小值为0.33 mm,最大值为1.87 mm,极差达1.54 mm,变异系数范围为15.5%~43.6%。不同植株的速生始期、速生末期、速生期均存在差异,由此划分出苗高前期速生型、中期速生型、后期速生型幼苗,各占总苗数的33.8%、36.6%、29.6%;其中地径前期速生型、中期速生型、后期速生型幼苗各占总苗数的81.7%、12.7%、4.2%;通过Q型聚类分析在欧式距离为7.97处聚为3类,Ⅰ类包含21个单株,生长速度较快,平均苗高为39.4 cm,平均地径为6.86 mm;Ⅱ类包含48个单株,生长速度中等,平均苗高为28.0 cm,平均地径为6.36 mm;Ⅲ类包含3个单株,生长速度较慢,平均苗高为15.9 cm,平均地径为5.67 mm;在层次分析中苗高、地径、壮苗指数、冠幅、叶面积的总权重累计值为0.756 0,是优株选择的主要指标。结论: 云南蒜头果不同半同胞家系幼苗的苗高与地径整体生长节律表现出异速生长现象。根据隶属函数值计算得出,蒜头果苗期最优生长数学模型为Logistic模型,苗高生长最优家系为F2、F7、F12家系,地径生长最优家系为F23、F17、F2。根据层次分析法筛选得出,F7-81-2、F7-81-3、F2-43-6、F16-133-3、F6-61-18、F2-43-3、F2-43-10为最优单株。
中图分类号:
马子威,赵瑞,蒋翔宇,普甜,潘悦,王娟,童美琪. 蒜头果半同胞家系苗期生长特性评价及配合选择[J]. 林业科学, 2025, 61(10): 96-110.
Ziwei Ma,Rui Zhao,Xiangyu Jiang,Tian Pu,Yue Pan,Juan Wang,Meiqi Tong. Evaluation of Growth Characteristics at Seedling Stage and Combined Selection of Half-sib Families of Malania oleifera[J]. Scientia Silvae Sinicae, 2025, 61(10): 96-110.
表1
7个海拔种源的8个蒜头果半同胞家系编号与母树信息"
| 家系 Family | 母树样地 Mother tree sample plot | 海拔 Altitude/m | 经度 Longitude | 纬度 Latitude | 胸径 DBH/cm | 树高 Height/m | 当年产量 Annual output/kg |
| F2 | 富宁未莫村Weimo, Funing | 400 | 106°05′52″E | 23°45′25″N | 31.2 | 11 | 4.5 |
| F6 | 富宁未莫村Weimo, Funing | 621 | 106°04′24″E | 23°27′10″N | 15.4 | 13.5 | 10 |
| F7 | 富宁平腰Pingyao, Funing | 850 | 105°59′54″E | 23°42′36″N | 46.7 | 18 | 50 |
| F12 | 广南平邑Pingyi, Guangnan | 1 040 | 105°26′40″E | 23°52′40″N | 20 | 11 | 10 |
| F14 | 广南平邑Pingyi, Guangnan | 1 040 | 105°26′37″E | 23°52′39″N | 26 | 10 | 30 |
| F16 | 广南莲花Lianhua, Guangnan | 1 350 | 105°04′41″E | 23°58′32″N | 20 | 9 | 20 |
| F17 | 广南莲花Lianhua, Guangnan | 1 420 | 105°04′10″E | 23°58′07″N | 15 | 9 | 5 |
| F23 | 广南布岜Buba, Guangnan | 1 530 | 105°10′47″E | 23°43′27″N | 38 | 15 | 50 |
表2
蒜头果苗期生长特性描述统计表"
| 统计量Statistics | 高净生长量 Height net increment/cm | 高末次测量值 Last measurement of height value/cm | 地径净生长量 Ground diameter net increment/mm | 地径末次测量值 Last last measurement of ground diameter value/mm | 总生物量 Total biomass/g |
| 最大值Max. | 13.3 | 47.6 | 1.84 | 7.28 | 31.31 |
| 最小值Min. | 1 | 14.3 | 0.34 | 5.41 | 4.83 |
| 均值Mean | 5.57 | 30.80 | 0.82 | 6.48 | 17.13 |
| 标准误差Standard error | 0.33 | 0.84 | 0.03 | 0.05 | 0.74 |
| 均值95%置信区间下限 Lower mean 95% confidence interval | 4.92 | 29.14 | 0.76 | 6.38 | 15.65 |
| 均值95%置信区间上限 Upper mean 95% confidence interval | 6.23 | 32.47 | 0.89 | 6.58 | 18.60 |
| 标准差Standard deviation | 2.80 | 7.09 | 0.29 | 0.43 | 6.27 |
| 偏度Skewness | 0.46 | 0.12 | 1.51 | –0.52 | 0.12 |
| 峰度Peakedness | –0.34 | –0.14 | 3.26 | –0.14 | –0.57 |
| 变异系数Coefficient of variation (%) | 50.27 | 23.01 | 35.35 | 6.65 | 36.63 |
表3
蒜头果苗期生长和形态性状描述与分级"
| 生长与形态性状 Growth and morphological traits | 等级Level | ||||
| 1 | 2 | 3 | 4 | 5 | |
| 苗高Seedling height (H)/cm | 14≤H<21 | 21≤H<28 | 28≤H<35 | 35≤H<42 | 42≤H<49 |
| 地径Ground diameter (D)/mm | 5.40≤D<5.78 | 5.78≤D<6.16 | 6.16≤D<6.54 | 6.54≤D<6.92 | 6.92≤D<7.30 |
| 壮苗指数Seedling index (S) | 6≤S<16.4 | 16.4≤S<26.8 | 26.8≤S<37.2 | 37.2≤S<47.6 | 47.6≤S<58 |
| 冠幅Crown breadth (P)/cm | 10≤P<12.3 | 12.3≤P<14.6 | 14.6≤P<16.9 | 16.9≤P<19.2 | 19.2≤P≤21.5 |
| 叶下高Under the leaf height (B)/cm | 6≤B<8.8 | 8.8≤B<11.6 | 11.6≤B<14.4 | 14.4≤B<17.2 | 17.2≤B≤20 |
| 分枝数 Branch number | 1 | 2 | 3 | 4 | |
| 叶片数 Number of leaves (N) | 8≤N<17.6 | 17.6<N<27.2 | 27.2<N<36.8 | 36.8<N<46.4 | 46.4<N≤56 |
| 叶面积 Leaf area (A)/cm2 | 60≤A<139.6 | 139.6≤A<218.2 | 218.2≤A<296.8 | 296.8≤A<375.4 | 375.4≤A<454 |
| 成熟叶片颜色 Mature leaf color | 黄绿色Kelly | 淡绿色Pea green | 绿色Green | ||
| 叶表面形态 Leaf surface morphology | 螺旋卷曲Spiral roll | 平展Flat | 皱缩Shrinking | ||
表5
蒜头果苗期3种生长模型拟合度优选①"
| 模型 Model | 高生长量Height increment | 地径生长量Ground diameter increment | 隶属值 Affiliate value | 排序 Compositor | |||||||
| R2 | AIC | MSE | MV | R2 | AIC | MSE | MV | ||||
| Logistic | 0.983 | ?31.259 | 0.07 394 | 1 | 0.989 | ?80.866 | 0.00 089 | 1 | 0.71 | 1 | |
| Compertz | 0.980 | ?29.257 | 0.09 902 | 1 | 0.989 | ?82.275 | 0.00 102 | 3 | 0.64 | 2 | |
| Bertalanffy | 0.957 | ?20.427 | 0.41 553 | 0 | 0.988 | ?82.465 | 0.00 122 | 0 | 0.38 | 3 | |
表6
蒜头果半同胞家系幼苗苗高生长特性与综合评价①"
| 家系号 Family number | 高净生长量Height net increment | 高末次测量均值± 标准误差 Last measureent of height (Mean±SE)/mm | 隶属函数值 Membership function value | 高综合评价 Comprehensive evaluation of seedling height | ||||
| 均值±标准误差 Mean±SE/cm | 变异系数 Coefficient of variation (%) | 最小值 Min./cm | 最大值 Max./cm | 极差 Range/cm | ||||
| F2 | 6.90±0.96 a | 41.7 | 1.45 | 9.87 | 8.42 | 38.93±0.97 a | 0.863 | 1 |
| F6 | 5.94±0.83 ab | 41.9 | 2.16 | 9.63 | 7.47 | 30.88±1.09 b | 0.577 | 4 |
| F7 | 6.28±1.25 a | 59.8 | 1.76 | 13.07 | 11.31 | 38.58±2.06 a | 0.640 | 2 |
| F12 | 5.18±0.44 ab | 25.8 | 2.87 | 6.85 | 3.98 | 28.34±1.71 bc | 0.583 | 3 |
| F14 | 4.83±0.73 ab | 51.5 | 1.86 | 8.12 | 6.26 | 25.09±2.16 c | 0.250 | 7 |
| F16 | 5.71±1.23 ab | 64.5 | 1.42 | 11.61 | 10.18 | 28.31±2.65 bc | 0.299 | 6 |
| F17 | 3.37±0.55 b | 49.2 | 0.98 | 6.36 | 5.38 | 26.39±0.72 bc | 0.163 | 8 |
| F23 | 5.33±0.74 ab | 39.3 | 1.98 | 8.70 | 6.72 | 29.89±2.02 bc | 0.518 | 5 |
表7
蒜头果半同胞家系幼苗地径生长特性与综合评价①"
| 家系号 Family number | 地径净生长量Ground diameter net increment | 地径末次测量 均值±标准误差 Last measureent of ground diameter (mean±SE)/mm | 隶属函数值 Membership function value | 地径综合评价 Comprehensive evaluation of ground diameter | ||||
| 均值±标准误差 Mean±SE/mm | 变异系数 Coefficient of variation (%) | 最小值 Min./mm | 最大值 Max./mm | 极差 Range/mm | ||||
| F2 | 0.77±0.08 bc | 32.0 | 0.51 | 1.29 | 0.78 | 6.83±0.08 a | 0.572 | 3 |
| F6 | 0.61±0.06 c | 28.8 | 0.42 | 0.89 | 0.46 | 6.54±0.12 a | 0.401 | 7 |
| F7 | 0.64±0.10 c | 43.6 | 0.33 | 1.23 | 0.91 | 6.64±0.11 a | 0.284 | 8 |
| F12 | 1.14±0.13 a | 34.9 | 0.76 | 1.87 | 1.12 | 5.94±0.11 b | 0.437 | 6 |
| F14 | 0.79±0.04 bc | 15.5 | 0.64 | 0.94 | 0.29 | 5.95±0.11 b | 0.451 | 5 |
| F16 | 0.95±0.13 ab | 40.9 | 0.57 | 1.80 | 1.23 | 6.58±0.12 a | 0.485 | 4 |
| F17 | 0.73±0.05 bc | 21.7 | 0.47 | 0.99 | 0.53 | 6.58±0.05 a | 0.576 | 2 |
| F23 | 0.95±0.07 ab | 22.7 | 0.69 | 1.31 | 0.62 | 6.77±0.08 a | 0.776 | 1 |
表8
蒜头果半同胞家系苗高、地径速生类型划分①"
| FIP No | 苗高Seedling height | FIP No | 地径Ground diameter | |||||||
| t1 | t2 | t3/d | NGI/cm | t1 | t2 | t3/d | NGI/mm | |||
| 前期速生型Early fast-growing type | 前期速生型Early fast-growing type | |||||||||
| F2-43-4 | 2023?12?03 | 2024?05?29 | 177 | 1.5 | F2-43-3 | 2023?12?24 | 2024?07?16 | 204 | 0.51 | |
| F2-43-5 | 2023?12?13 | 2024?06?15 | 184 | 3.6 | F2-43-4 | 2023?12?03 | 2024?05?29 | 177 | 0.78 | |
| F6-61-8 | 2023?12?09 | 2024?06?04 | 179 | 2.2 | F2-43-5 | 2023?12?13 | 2024?06?15 | 175 | 0.69 | |
| F7-81-1 | 2023?12?25 | 2024?05?04 | 130 | 4.6 | F2-43-6 | 2023?12?22 | 2024?06?09 | 169 | 1.05 | |
| F7-81-4 | 2023?12?12 | 2024?05?21 | 160 | 3.6 | F2-43-7 | 2023?12?07 | 2024?06?07 | 182 | 0.73 | |
| F7-81-5 | 2023?11?03 | 2024?04?30 | 178 | 2 | F2-43-8 | 2023?12?10 | 2024?07?11 | 213 | 0.74 | |
| F7-81-6 | 2023?11?01 | 2024?04?05 | 154 | 1.9 | F2-43-10 | 2023?12?04 | 2024?05?28 | 175 | 1.32 | |
| F12-101-1 | 2023?12?09 | 2024?06?04 | 176 | 2.9 | F2-43-11 | 2023?12?13 | 2024?07?11 | 210 | 0.61 | |
| F12-101-3 | 2023?12?12 | 2024?05?14 | 153 | 3.2 | F6-61-1 | 2023?12?02 | 2024?06?02 | 182 | 0.76 | |
| F14-103-1 | 2023?11?23 | 2024?05?13 | 171 | 2 | F6-61-2 | 2023?11?22 | 2024?06?08 | 198 | 0.52 | |
| F14-103-3 | 2023?12?27 | 2024?04?26 | 119 | 4.4 | F6-61-5 | 2023?11?19 | 2024?05?28 | 190 | 0.45 | |
| F14-103-5 | 2023?11?08 | 2024?05?16 | 189 | 1.8 | F6-61-6 | 2023?12?22 | 2024?08?13 | 234 | 0.56 | |
| F14-103-6 | 2023?12?28 | 2024?05?12 | 135 | 3.6 | F6-61-8 | 2023?11?30 | 2024?06?20 | 202 | 0.44 | |
| F14-103-8 | 2023?12?23 | 2024?06?05 | 163 | 2.8 | F6-61-9 | 2023?11?24 | 2024?05?17 | 174 | 0.54 | |
| F16-133-2 | 2023?11?14 | 2024?05?27 | 184 | 1.7 | F6-61-10 | 2023?12?16 | 2024?06?19 | 185 | 0.83 | |
| F16-133-7 | 2023?12?13 | 2024?04?29 | 136 | 3.3 | F7-81-1 | 2023?12?23 | 2024?07?22 | 218 | 0.79 | |
| F16-133-10 | 2023?10?18 | 2024?06?12 | 236 | 1.5 | F7-81-2 | 2023?12?22 | 2024?08?18 | 239 | 1.2 | |
| F17-142-4 | 2023?10?18 | 2024?06?12 | 236 | 1.5 | F7-81-4 | 2023?11?27 | 2024?06?14 | 199 | 0.57 | |
| F17-142-6 | 2023?11?27 | 2024?04?26 | 149 | 3.8 | F7-81-5 | 2023?12?12 | 2024?06?25 | 195 | 0.34 | |
| F17-142-7 | 2023?12?03 | 2024?06?24 | 202 | 2.4 | F7-81-6 | 2023?12?18 | 2024?08?06 | 231 | 0.5 | |
| F17-142-8 | 2023?12?12 | 2024?05?04 | 143 | 4.5 | F7-81-9 | 2023?12?27 | 2024?07?01 | 186 | 0.44 | |
| F23-153-1 | 2023?11?03 | 2024?04?21 | 168 | 2.1 | F12-101-1 | 2023?12?19 | 2024?07?09 | 202 | 1.06 | |
| F23-153-4 | 2023?11?21 | 2024?04?04 | 133 | 4 | F12-101-2 | 2023?12?11 | 2024?06?05 | 176 | 1.76 | |
| F23-153-7 | 2023?12?25 | 2024?06?06 | 162 | 4.7 | F12-101-3 | 2023?12?22 | 2024?07?05 | 195 | 0.92 | |
| 中期速生型Mid-term fast-growing type | F12-101-4 | 2023?12?16 | 2024?07?13 | 209 | 0.94 | |||||
| F2-43-11 | 2024?01?25 | 2024?04?17 | 82 | 8.2 | F12-101-6 | 2023?12?19 | 2024?06?21 | 184 | 1.02 | |
| F6-61-2 | 2024?01?10 | 2024?04?11 | 91 | 4.8 | F12-101-7 | 2023?12?10 | 2024?06?20 | 192 | 1.02 | |
| F6-61-4 | 2024?01?25 | 2024?05?04 | 99 | 4.8 | F12-101-8 | 2023?12?01 | 2024?06?14 | 194 | 0.76 | |
| F6-61-5 | 2024?01?24 | 2024?04?20 | 86 | 5.1 | F12-101-9 | 2023?12?20 | 2024?07?06 | 198 | 0.86 | |
| F7-81-2 | 2024?01?02 | 2024?07?11 | 191 | 7.7 | F14-103-1 | 2023?12?18 | 2024?07?17 | 211 | 0.77 | |
| F7-81-8 | 2024?01?11 | 2024?05?13 | 122 | 6 | F14-103-2 | 2023?12?07 | 2024?06?20 | 195 | 0.88 | |
| F12-101-2 | 2024?01?15 | 2024?04?29 | 104 | 6.2 | F14-103-4 | 2023?11?28 | 2024?06?25 | 209 | 0.65 | |
| F12-101-4 | 2024?01?12 | 2024?05?09 | 117 | 5.8 | F14-103-5 | 2023?12?06 | 2024?07?26 | 232 | 0.7 | |
| F12-101-7 | 2024?01?01 | 2024?04?26 | 115 | 5.8 | F14-103-6 | 2023?12?24 | 2024?07?10 | 198 | 0.9 | |
| F12-101-8 | 2024?01?01 | 2024?04?30 | 119 | 5.6 | F14-103-8 | 2023?11?08 | 2024?05?08 | 181 | 0.71 | |
| F12-101-9 | 2024?01?25 | 2024?06?27 | 153 | 4.9 | F14-103-9 | 2023?12?25 | 2024?07?10 | 197 | 0.91 | |
| F14-103-2 | 2024?01?20 | 2024?03?28 | 67 | 5.3 | F14-103-10 | 2023?12?04 | 2024?07?05 | 213 | 0.64 | |
| F14-103-4 | 2024?01?23 | 2024?04?23 | 90 | 7.4 | F16-133-1 | 2023?12?04 | 2024?06?15 | 193 | 1.31 | |
| F14-103-10 | 2024?01?14 | 2024?04?27 | 103 | 8.3 | F16-133-2 | 2023?12?12 | 2024?06?17 | 187 | 0.95 | |
| F16-133-1 | 2024?01?21 | 2024?04?09 | 78 | 7.2 | F16-133-5 | 2023?12?18 | 2024?06?17 | 181 | 0.73 | |
| F16-133-4 | 2024?01?09 | 2024?06?28 | 170 | 3.3 | F16-133-6 | 2023?12?23 | 2024?06?15 | 174 | 0.76 | |
| F16-133-6 | 2024?01?29 | 2024?03?23 | 53 | 7.4 | F16-133-7 | 2023?11?22 | 2024?07?10 | 200 | 0.63 | |
| F17-142-1 | 2024?01?15 | 2024?09?08 | 234 | 1 | F16-133-8 | 2023?12?18 | 2024?06?26 | 190 | 0.87 | |
| F17-142-2 | 2024?01?11 | 2024?04?21 | 100 | 3.4 | F16-133-10 | 2023?12?08 | 2024?07?12 | 216 | 0.58 | |
| F17-142-3 | 2024?01?08 | 2024?04?27 | 109 | 4.5 | F17-142-1 | 2023?11?29 | 2024?06?04 | 187 | 0.7 | |
| F17-142-5 | 2024?01?16 | 2024?04?26 | 100 | 3.3 | F17-142-2 | 2023?12?02 | 2024?06?28 | 238 | 0.6 | |
| F17-142-9 | 2024?01?10 | 2024?05?15 | 125 | 6.3 | F17-142-3 | 2023?12?21 | 2024?07?28 | 219 | 0.76 | |
| F23-153-2 | 2024?01?26 | 2024?04?10 | 74 | 6.3 | F17-142-4 | 2023?11?15 | 2024?06?21 | 218 | 0.48 | |
| F23-153-3 | 2024?01?17 | 2024?04?09 | 82 | 6.4 | F17-142-5 | 2023?11?18 | 2024?07?03 | 227 | 0.63 | |
| F23-153-6 | 2024?01?06 | 2024?05?13 | 127 | 4 | F17-142-6 | 2023?12?15 | 2024?06?13 | 180 | 1 | |
| F23-153-9 | 2024?01?17 | 2024?04?29 | 102 | 7 | F17-142-7 | 2023?12?05 | 2024?06?05 | 182 | 0.87 | |
| 后期速生型Late fast-growing type | F17-142-8 | 2023?12?16 | 2024?07?01 | 197 | 0.77 | |||||
| F2-43-3 | 2024?03?06 | 2024?04?06 | 31 | 5.8 | F17-142-9 | 2023?12?22 | 2024?06?29 | 189 | 0.81 | |
| F2-43-6 | 2024?03?03 | 2024?03?30 | 28 | 10.1 | F23-153-1 | 2023?12?23 | 2024?08?11 | 231 | 0.7 | |
| F2-43-7 | 2024?03?06 | 2024?04?02 | 27 | 9.5 | F23-153-2 | 2023?12?23 | 2024?07?17 | 206 | 0.87 | |
| F2-43-8 | 2024?03?08 | 2024?04?10 | 33 | 9.6 | F23-153-4 | 2023?12?15 | 2024?06?24 | 191 | 0.89 | |
| F2-43-9 | 2024?03?03 | 2024?04?03 | 31 | 6.8 | F23-153-6 | 2023?11?18 | 2024?06?13 | 207 | 0.7 | |
| F2-43-10 | 2024?03?05 | 2024?04?01 | 27 | 8.6 | F23-153-8 | 2023?12?03 | 2024?06?23 | 202 | 0.8 | |
| F6-61-1 | 2024?03?03 | 2024?04?13 | 41 | 4.1 | 中期速生型Mid-term fast-growing type | |||||
| F6-61-6 | 2024?03?01 | 2024?04?17 | 47 | 9.4 | F2-43-9 | 2024?01?16 | 2024?07?02 | 167 | 0.6 | |
| F6-61-9 | 2024?03?01 | 2024?03?30 | 30 | 7.3 | F6-61-4 | 2024?01?30 | 2024?09?07 | 220 | 0.6 | |
| F6-61-10 | 2024?03?04 | 2024?04?22 | 49 | 7.3 | F6-61-18 | 2024?01?09 | 2024?07?24 | 196 | 0.87 | |
| F6-61-18 | 2024?03?07 | 2024?04?04 | 28 | 9.9 | F7-81-8 | 2024?01?12 | 2024?08?27 | 227 | 0.66 | |
| F7-81-3 | 2024?03?24 | 2024?04?21 | 28 | 9.8 | F12-101-5 | 2024?01?04 | 2024?05?30 | 146 | 1.84 | |
| F7-81-9 | 2024?03?07 | 2024?04?06 | 30 | 13.3 | F14-103-3 | 2024?01?12 | 2024?07?27 | 196 | 0.9 | |
| F7-81-10 | 2024?03?02 | 2024?04?09 | 38 | 8.2 | F16-133-3 | 2024?01?11 | 2024?07?01 | 171 | 1.76 | |
| F12-101-5 | 2024?03?05 | 2024?05?11 | 67 | 5.6 | F16-133-4 | 2024?01?04 | 2024?08?04 | 212 | 0.92 | |
| F12-101-6 | 2024?03?01 | 2024?03?25 | 24 | 7.1 | F23-153-3 | 2024?01?22 | 2024?07?25 | 184 | 1.18 | |
| F14-103-9 | 2024?03?03 | 2024?04?30 | 58 | 7 | F23-153-9 | 2024?01?26 | 2024?08?29 | 215 | 0.95 | |
| F16-133-3 | 2024?03?04 | 2024?03?22 | 18 | 11.9 | 后期速生型Late fast-growing type | |||||
| F16-133-5 | 2024?03?01 | 2024?05?02 | 62 | 5.6 | F7-81-8 | 2024?03?08 | 2024?09?21 | 197 | 0.57 | |
| F16-133-8 | 2024?03?05 | 2024?03?24 | 19 | 10.8 | F23-153-7 | 2024?03?27 | 2024?08?07 | 169 | 1 | |
| F23-153-8 | 2024?03?29 | 2024?07?16 | 109 | 8.5 | F23-153-11 | 2024?03?16 | 2024?08?19 | 146 | 1.28 | |
表9
蒜头果半同胞家系优株评价体系及权重①"
| 判断矩阵 Judgment matrix | 权重Weight | 总权重 Total weight | 一致性检验 Consistency test | ||||||
| λmax | CR | ||||||||
| A-Ci | A | C1 | C2 | C3 | 3.009 2 | 0.007 9 | |||
| C1 | 1 | 3 | 2 | 0.539 6 | |||||
| C2 | 1/3 | 1 | 1/2 | 0.163 4 | |||||
| C3 | 1/2 | 2 | 1 | 0.297 0 | |||||
| C1-Pi | C1 | P1 | P2 | P3 | |||||
| P1 | 1 | 1/2 | 1 | 0.250 0 | 0.134 9 | 3.000 0 | 0.000 0 | ||
| P2 | 2 | 1 | 2 | 0.500 0 | 0.269 8 | ||||
| P3 | 1 | 1/2 | 1 | 0.250 0 | 0.134 9 | ||||
| C2-Pi | C2 | P4 | P5 | P6 | |||||
| P4 | 1 | 3 | 2 | 0.539 6 | 0.088 2 | 3.009 2 | 0.007 9 | ||
| P5 | 1/3 | 1 | 1/2 | 0.163 4 | 0.026 7 | ||||
| P6 | 1/2 | 2 | 1 | 0.297 0 | 0.048 5 | ||||
| C3-Pi | C3 | P7 | P8 | P9 | P10 | ||||
| P7 | 1 | 1/3 | 1 | 1 | 0.189 4 | 0.056 2 | 4.056 9 | 0.021 3 | |
| P8 | 3 | 1 | 3 | 3 | 0.431 8 | 0.128 2 | |||
| P9 | 1 | 1/3 | 1 | 1 | 0.189 4 | 0.056 2 | |||
| P10 | 1 | 1/3 | 1 | 1 | 0.189 4 | 0.056 2 | |||
表10
蒜头果半同胞家系优良单株表型性状比较①"
| 优良单株编号 Number of superior plants | P1 | P2 | P3 | P4 | P5 | P6 | P7 | P8 | P9 | P10 | 加权得分 Weighted score |
| F7-81-2 | 5 | 5 | 5 | 5 | 2 | 4 | 3 | 5 | 5 | 4 | 4.701 8 |
| F7-81-3 | 5 | 5 | 4 | 5 | 5 | 1 | 2 | 5 | 5 | 3 | 4.389 1 |
| F2-43-6 | 4 | 5 | 5 | 4 | 5 | 2 | 2 | 5 | 4 | 4 | 4.349 4 |
| F16-133-3 | 4 | 5 | 4 | 5 | 4 | 2 | 2 | 5 | 5 | 3 | 4.276 0 |
| F6-61-18 | 3 | 5 | 3 | 5 | 3 | 3 | 3 | 5 | 5 | 4 | 4.140 4 |
| F2-43-3 | 5 | 5 | 3 | 3 | 5 | 1 | 2 | 5 | 5 | 4 | 4.134 0 |
| F2-43-10 | 4 | 5 | 4 | 5 | 5 | 1 | 2 | 4 | 4 | 4 | 4.126 0 |
| F7-81-1 | 5 | 4 | 3 | 4 | 3 | 2 | 2 | 5 | 5 | 4 | 3.947 5 |
| F23-153-1 | 4 | 5 | 3 | 3 | 5 | 1 | 1 | 5 | 5 | 4 | 3.942 9 |
| F2-43-7 | 4 | 4 | 4 | 4 | 4 | 1 | 2 | 5 | 5 | 4 | 3.925 7 |
| F2-43-4 | 4 | 5 | 4 | 2 | 4 | 1 | 1 | 4 | 4 | 4 | 3.778 5 |
| F23-153-2 | 4 | 5 | 2 | 3 | 4 | 1 | 2 | 4 | 5 | 5 | 3.765 5 |
| F7-81-9 | 4 | 4 | 2 | 5 | 3 | 1 | 2 | 5 | 5 | 4 | 3.717 4 |
| F2-43-8 | 4 | 4 | 2 | 4 | 4 | 1 | 2 | 5 | 5 | 4 | 3.655 9 |
| F17-142-1 | 3 | 4 | 5 | 3 | 4 | 1 | 1 | 4 | 5 | 4 | 3.653 1 |
| F6-61-1 | 3 | 5 | 2 | 4 | 2 | 1 | 2 | 5 | 3 | 4 | 3.625 0 |
| F16-133-2 | 3 | 4 | 3 | 3 | 2 | 2 | 3 | 5 | 5 | 3 | 3.562 8 |
| F17-142-2 | 3 | 4 | 3 | 5 | 2 | 2 | 2 | 4 | 4 | 4 | 3.554 8 |
| F2-43-5 | 4 | 4 | 4 | 3 | 5 | 1 | 1 | 3 | 5 | 4 | 3.551 6 |
| F6-61-6 | 4 | 4 | 3 | 3 | 3 | 1 | 2 | 4 | 5 | 4 | 3.547 7 |
| F23-153-3 | 4 | 5 | 2 | 2 | 5 | 1 | 1 | 4 | 3 | 5 | 3.535 4 |
| 陈金凤. 广西蒜头果属及青皮木属木材解剖研究. 广西植物, 1994, 14 (4): 373- 375. | |
| Chen J F. Study on wood anatomy of Malania and Schoepfia (Olacaceae) from Guangxi. Guihaia, 1994, 14 (4): 373- 375. | |
| 陈秋平, 李云驹, 李 悦, 等. 2023. 蒜头果幼苗衰退过程中组织养分含量变化特征. 广西植物, 44(1): 137–146. | |
| Chen Q P, Li Y J, Li Y, et al. 2024. Dynamics of tissue nutrient content in relation to declining seedling growth in Malania oleifera. Guihaia, 44(1): 137–146. [in Chinese] | |
| 陈婉东, 王鹏飞, 普 甜, 等. 共栽培植物对蒜头果幼苗的共生效应. 江西农业大学学报, 2022, 44 (5): 1197- 1206. | |
| Chen W D, Wang P F, Pu T, et al. Symbiotic effect of co-cultivated plants on Malania oleifera seedlings. Acta Agriculturae Universitatis Jiangxiensis, 2022, 44 (5): 1197- 1206. | |
| 陈 彧, 董晓娜, 饶丹丹, 等. 不同产地降香黄檀家系幼苗期性状变异及早期选择. 分子植物育种, 2024, 22 (22): 7525- 7534. | |
| Chen Y, Dong X N, Rao D D, et al. Variation in seedling stage traits of Dalbergia odorifera from different origins and early selection of excellent family. Molecular Plant Breeding, 2024, 22 (22): 7525- 7534. | |
|
崔子佳, 欧 斌, 韩 璐, 等. 26个苦槠优树子代苗高生长量差异分析. 林业科技情报, 2022, 54 (1): 6- 9.
doi: 10.3969/j.issn.1009-3303.2022.01.002 |
|
|
Cui Z J, Ou B, Han L, et al. Analysis on the difference of seedling height growth of 26 superior trees of Castanopsis sclerophylla. Forestry Science and Technology Information, 2022, 54 (1): 6- 9.
doi: 10.3969/j.issn.1009-3303.2022.01.002 |
|
|
郭方斌, 王四海, 王 娟, 等. 珍稀植物蒜头果野生植株结实量及果实特征研究. 广西植物, 2018, 38 (1): 57- 64.
doi: 10.11931/guihaia.gxzw201704040 |
|
|
Guo F B, Wang S H, Wang J, et al. Fruit yield and characters of wild Malania oleifera, a rare plant species in southwest China. Guihaia, 2018, 38 (1): 57- 64.
doi: 10.11931/guihaia.gxzw201704040 |
|
| 何 栋, 杨锦昌, 谭全中, 等. 2024. 油楠种源家系生长遗传变异及早期选择. 南京林业大学学报(自然科学版), https://link.cnki.net/urlid/32.1161.S.20240919.0945.002. | |
| He D, Yang J C, Tan Q Z, et al. 2024. Genetic variation and early selection of traits among Sindora glabra provenances and families. Journal of Nanjing Forestry University (Natural Sciences Edition), https://link.cnki.net/urlid/32.1161.S.20240919.0945.002. [in Chinese] | |
| 胡勐鸿, 吕 寻, 戴小芬, 等. 2024. 日本落叶松无性系种子园和优树半同胞家系苗期比较. 东北林业大学学报, 52(12): 10–17. | |
| Hu M H, Lyu X, Dai X F, et al. 2024. Comparison of seedlings from clonal seed orchards and half-sibling families of Larix kaempferi. Journal of Northest Forestry University. [in Chinese] | |
| 黄晓露, 李宝财, 骆相华, 等. 蒜头果种子形态特征及脂肪酸组成分析. 森林与环境学报, 2022, 42 (6): 663- 672. | |
| Huang X L, Li B C, Luo X H, et al. Variation analysis of seed morphological characteristics and fatty acid composition of Malania oleifera individuals. Journal of Forest and Environment, 2022, 42 (6): 663- 672. | |
| 黄晓露, 杨日升, 骆相华, 等. 广西4个蒜头果家系幼苗光合生理特征分析. 广西林业科学, 2022, 51 (4): 482- 488. | |
| Huang X L, Yang R S, Luo X H, et al. Analysis on photosynthetic physiological characteristics of seedlings of four Malania oleifera families in Guangxi. Guangxi Forestry Science, 2022, 51 (4): 482- 488. | |
| 李洪果, 李武志, 邓硕坤, 等. 蒜头果种质资源及其研究利用现状. 林业科技通讯, 2019, (7), 32- 34. | |
| Li H G, Li W Z, Deng S K, et al. Malania oleifera germplasm resources and their research and utilization status. Forest Science and Technology, 2019, (7), 32- 34. | |
| 李建华, 许玉兰, 段安安, 等. 不同干型云南松子代一年生家系苗生长节律比较. 种子, 2018, 38 (3): 67- 72. | |
| Li J H, Xu Y L, Duan A A, et al. Comparison of growth rhythm of one-year family seedlings of Pinus yunnanensis with different stem types. Seed, 2018, 38 (3): 67- 72. | |
| 李树刚. 油料植物一新属: 蒜头果属. 东北林学院植物研究室汇刊, 1980, (6): 67- 72. | |
| Li S K. Malania, a new genus of oil-yielding plant. Bulletin of Botanical Laboratory of Northeast Forestry Institute, 1980, (6): 67- 72. | |
| 李双喜. 2015. 印度檀香与寄主植物间水分和养分利用关系. 北京: 中国林业科学研究院. | |
| Li S X. 2015. Mutual influence between Santalum album and its host on water and nutrient. Beijing: Chinese Academy of Forestry. [in Chinese] | |
|
李雪娟, 唐宗英, 乔 璐, 等. 不同钙、氮施用量对珍稀资源植物蒜头果一年生幼苗生长的影响. 中南农业科技, 2023, 44 (11): 32- 37.
doi: 10.3969/j.issn.1007-273X.2023.11.008 |
|
|
Li X J, Tang Z Y, Qiao L, et al. Different calcium and nitrogen application rates for rare resource plant Malania oleifera effect of annual seedling growth. South-Central Agricultural Science and Technology, 2023, 44 (11): 32- 37.
doi: 10.3969/j.issn.1007-273X.2023.11.008 |
|
| 李勇鹏, 景跃波, 卯吉华, 等. 蒜头果半寄生特性研究. 西部林业科学, 2019, 48 (4): 1- 12. | |
| Li Y P, Jing Y B, Mao J H, et al. Root hemiparasitic characteristics of Malania oleifera. Journal of West China Forestry Science, 2019, 48 (4): 1- 12. | |
|
梁称利, 张宁南, 龙友深, 等. 不同种源檀香在广东低山区生长表现. 种子, 2011, 30 (6): 1- 5.
doi: 10.3969/j.issn.1001-4705.2011.06.001 |
|
|
Liang C L, Zhang N N, Long Y S, et al. Growth performance of different provenances sandalwood (Santalum album L. ) in hilly area, Guangdong. Seed, 2011, 30 (6): 1- 5.
doi: 10.3969/j.issn.1001-4705.2011.06.001 |
|
| 梁月芳. 2001. 蒜头果的濒危原因研究及挽救对策. 南宁: 广西大学. | |
| Liang Y F. 2001. Study on the endangering causes and the saving strategies for Malania oleifera. Nanning: Guangxi University. [in Chinese] | |
|
刘爱林, 杨晓倩, 陈玺珏, 等. ‘范艾斯汀’海棠半同胞家系苗期生长特性及子代优选. 植物资源与环境学报, 2024, 33 (5): 62- 73.
doi: 10.3969/j.issn.1674-7895.2024.05.06 |
|
|
Liu A L, Yang X Q, Chen X Y, et al. Growth characteristics and progeny optimization of half-sib families of Malus spectabilis ‘Vans Eseltine’ during seeding stage. Journal of Plant Resources and Environment, 2024, 33 (5): 62- 73.
doi: 10.3969/j.issn.1674-7895.2024.05.06 |
|
| 刘小金, 徐大平, 张宁南, 等. 苗期寄主配置对印度檀香幼苗生长影响的研究. 林业科学研究, 2010, 23 (6): 924- 927. | |
| Liu X J, Xu D P, Zhang N N, et al. Effects of pot host configuration on the growth of Indian sandalwood (Santalum album) seedlings in south China. Forest Research, 2010, 23 (6): 924- 927. | |
| 陆俊锟. 2011. 印度檀香与寄主植物间寄生关系的研究. 北京: 中国林业科学研究院. | |
| Lu J K. 2011. The parasitism between hemiparasite Santalum album and its hosts. Beijing: Chinese Academy of Forestry. [in Chinese] | |
| 陆克宇. 2021. 不同营林措施对檀香幼林生长影响的研究. 南宁: 广西大学. | |
| Lu K Y. 2021. Influence study for different forest management on measures on Santalum album young forest growth. Nanning: Guangxi University. [in Chinese] | |
| 罗 行. 2021. 极小种群濒危植物蒜头果的遗传多样性及交配系统研究. 北京: 北京林业大学. | |
| Luo H. 2021. Genetic diversity and mating system of Malania oleifera, an endangered species with extremely small population. Beijing: Beijing Forestry University. [in Chinese] | |
| 骆绪美, 汪小进, 潘新建, 等. 引种蒜头果的幼苗生长表现及区位生长差异性分析. 安徽林业科技, 2011, 37 (2): 27- 29. | |
| Luo X M, Wang X J, Pan X J, et al. Analysis on growth performance and regional growth differences of introduced Malania oleifera seedlings. Anhui Forestry Science and Technology, 2011, 37 (2): 27- 29. | |
|
罗欣语, 王 芷, 陈 飏, 等. 木本植物天然种群间叶、果表型性状变异研究进展. 现代园艺, 2024, (5): 66- 68.
doi: 10.3969/j.issn.1006-4958.2024.05.021 |
|
|
Luo X Y, Wang Z, Chen Y, et al. Changes of leaf and fruit phenotype traits in natural populations of woody plants. Contemporary Horticulture, 2024, (5): 66- 68.
doi: 10.3969/j.issn.1006-4958.2024.05.021 |
|
|
马柏林, 梁淑芳, 赵德义, 等. 含神经酸植物的研究. 西北植物学报, 2004, 24 (12): 2362- 2365.
doi: 10.3321/j.issn:1000-4025.2004.12.031 |
|
|
Ma B L, Liang S F, Zhao D Y, et al. Study on plants containing nervonic acid. Acta Botanica Boreali-Occidentalia Sinica, 2004, 24 (12): 2362- 2365.
doi: 10.3321/j.issn:1000-4025.2004.12.031 |
|
| 倪召欣. 2020. 侧柏半同胞家系种质资源评价与筛选. 泰安: 山东农业大学. | |
| Ni S X. 2020. Evaluation and selection of germplasm resources of half-sib family of Platycladus orientalis (L. ) Franco. Taian: Shandong Agricultural University. [in Chinese] | |
| 潘 悦, 雷小铃, 王 明, 等. 2021. 云南省广南县蒜头果主要病害调查及几种农药对其防治效果的评价. 湖北农业科学, 60(12): 67–72. | |
| Pan Y, Lei X L, Wang M, et al. 2020. Investigation on the main diseases of Malania oleifera in Guangnan county of Yunnan Province and evaluation on the control effect of several fungicides. Hubei Agricultural Sciences, 60(12): 67–72. [in Chinese] | |
| 万志兵, 冯 刚, 朱成磊, 等. 不同柳树无性系一年生生长差异分析. 分子植物育种, 2018, 16 (7): 2358- 2363. | |
| Wan Z B, Feng G, Zhu C L, et al. Growth difference analysis of annual different willow clones. Molecular Plant Breeding, 2018, 16 (7): 2358- 2363. | |
| 王俊威, 陈婉东, 王巧玲, 等. 3株蒜头果内生木霉的鉴定及其对幼苗的促生作用研究. 西北农林科技大学学报(自然科学版), 2024, 52 (4): 1- 12. | |
| Wang J W, Chen W D, Wang Q L, et al. Identification of three endophytic Trichoderma strains from Malania oleifera and their growth promoting effects on seedlings. Journal of Northwest A& F University (Natural Science Edition), 2024, 52 (4): 1- 12. | |
| 王俊威, 雷小铃, 陈婉东, 等. 2023. 两株蒜头果内生木霉的物种鉴定及其对幼苗的促生作用研究. 江西农业大学学报, 45(2): 273–284. | |
| Wang J W, Lei X L, Chen W D, et al. 2023. Identification of two endophytic Trichoderma strains in Malania oleifera and their growth promoting effects on seedlings. Acta Agriculturae Universitatis Jiangxiensis, 2023, 45(2): 273–284. [in Chinese] | |
| 王 毅, 王 娟, 王四海, 等. 蒜头果的内生真菌多样性分析. 基因组学与应用生物学, 2018, 37 (9): 3859- 3866. | |
| Wang Y, Wang J, Wang S H, et al. Diversity of endophytic fungi of Malania oleifera Chun et Lee. Genomics and Applied Biology, 2018, 37 (9): 3859- 3866. | |
|
吴彦琼, 黎向东, 胡玉佳, 等. 蒜头果生殖生物学特性研究. 中山大学学报(自然科学版), 2004, 43 (2): 81- 83.
doi: 10.3321/j.issn:0529-6579.2004.02.021 |
|
|
Wu Y Q, Li X D, Hu Y J, et al. Reproductive biology of Malania oeifera. Acta Scientiarum Naturalium Universitatis Sunyatseni, 2004, 43 (2): 81- 83.
doi: 10.3321/j.issn:0529-6579.2004.02.021 |
|
|
吴云燕, 张 露, 刘远生, 等. 不同种源/家系毛红椿连年生长性状变异及早期选择. 江西农业大学学报, 2024, 46 (1): 106- 117.
doi: 10.3724/aauj.2024011 |
|
|
Wu Y Y, Zhang L, Liu Y S, et al. Variation of annual growth traits and early selection of different provenances/families of Toona ciliata var. Pubescens. Acta Agriculturae Universitatis Jiangxiensis, 2024, 46 (1): 106- 117.
doi: 10.3724/aauj.2024011 |
|
| 熊旭东, 刘爱忠, 鲁 赛, 等. 不同遮阳率对蒜头果幼苗生长及生物量分配的影响. 西南林业大学学报(自然科学), 2024, 44 (2): 36- 41. | |
| Xiong X D, Liu A Z, Lu S, et al. Response of Malania oleifera seedling growth and biomass allocation to different light intensities. Journal of Southwest Forestry University (Natural Sciences Edition), 2024, 44 (2): 36- 41. | |
|
熊 英, 黎向东, 潘晓芳, 等. 蒜头果种腐率高的原因探究. 广西林业科学, 2003, 32 (1): 40- 43.
doi: 10.3969/j.issn.1006-1126.2003.01.011 |
|
|
Xiong Y, Li X D, Pan X F, et al. Explore the reasons for the high rot rate of Malania oleifera seeds. Guangxi Forestry Science, 2003, 32 (1): 40- 43.
doi: 10.3969/j.issn.1006-1126.2003.01.011 |
|
|
晏 姝, 韦如萍, 王润辉, 等. 南洋楹半同胞家系苗期变异及选择. 浙江农林大学学报, 2023, 40 (6): 1- 8.
doi: 10.11833/j.issn.2095-0756.20230331 |
|
|
Yan S, Wei R P, Wang R H, et al. Variation and selection of half-sib families of Falcataria falcata during seedling stage. Journal of Zhejiang A& F University, 2023, 40 (6): 1- 8.
doi: 10.11833/j.issn.2095-0756.20230331 |
|
| 杨贵钗, 潘 悦, 陈婉东, 等. 不同基质配比对蒜头果容器育苗的影响. 西南林业大学学报(自然科学), 2022, 42 (6): 63- 70. | |
| Yang G C, Pan Y, Chen W D, et al. Effect of different mixed substrates on the container seedling of Malania oleifera. Journal of Southwest Forestry University (Natural Sciences Edition), 2022, 42 (6): 63- 70. | |
| 杨卓颖, 梁文汇, 黄晓露, 等. 不同基质处理对蒜头果幼苗生长的影响. 广西林业科学, 2024, 53 (1): 49- 56. | |
| Yang Z Y, Liang W H, Huang X L, et al. Effects of different substrate treatments on growths of Malania oleifera seedlings. Guangxi Forestry Science, 2024, 53 (1): 49- 56. | |
|
余慧嵘. 珍稀濒危树种蒜头果引种育苗技术及生长节律研究. 黄山学院学报, 2011, 13 (3): 50- 52.
doi: 10.3969/j.issn.1672-447X.2011.03.017 |
|
|
Yu H R. A study on the technology of breeding seedlings and the growth rhythm of the rare and endangered Malania oleifera Chun et S. K Lee. Journal of Huangshan University, 2011, 13 (3): 50- 52.
doi: 10.3969/j.issn.1672-447X.2011.03.017 |
|
|
余慧嵘. 不同基肥对蒜头果幼苗生长的影响. 安徽林业科技, 2013, 9 (4): 33- 35.
doi: 10.3969/j.issn.2095-0152.2013.04.010 |
|
|
Yu H R. Effects of different base fertilizers on the growth of Malania oleifera seedings. Anhui Forestry Science and Technology, 2013, 9 (4): 33- 35.
doi: 10.3969/j.issn.2095-0152.2013.04.010 |
|
| 张国革, 赖家业, 潘春柳. 蒜头果种子育苗试验初报. 广西农业生物科学, 2008, 27 (sup): 8- 11. | |
| Zhang G G, Lai J Y, Pan C L. Seedling raising experiments of Malania oleifera seeds. Journal of Guangxi Agriculture and Biology Science, 2008, 27 (sup): 8- 11. | |
| 张连翔, 刘学增. 逻辑斯谛曲线上两个重要特征点的分析及其应用. 河北林学院学报, 1992, 7 (2): 154- 158. | |
| Zhang L X, Liu X Z. The analysis and application of the two important characteristic points on logistic curve. Journal of Hebei Forestry College, 1992, 7 (2): 154- 158. | |
| 郑仁华, 施季森, 杨宗武, 等. 福建柏优树子代苗期性状遗传变异和生长节律研究. 林业科学, 2003, 39 (1): 179- 183. | |
| Zheng R H, Shi J S, Yang Z W, et al. Studies on the growth rhythm and genetic variations of traits among plus-tree progeny families of Fokienia hodginsii at seedling stage. Scientia Silvae Sinicae, 2003, 39 (1): 179- 183. | |
| 中国老科学技术工作者协会林业分会. 蒜头果好: 我国蒜头果产业发展状况调查研究报告. 中国林业产业, 2024, (8): 11- 18. | |
| Forestry Branch of China Association of Senior Scientists and Technicians. Malania oleifera is good: investigation and research report on the development status of Malania oleifera industry in China. China Forestry Industry, 2024, (8): 11- 18. | |
| 周 凡, 王义平, 熊 炀, 等. 不同地理种源观光木苗期表型性状与生物量比较研究. 林业科技, 2024, 49 (4): 1- 7,13. | |
| Zhou F, Wang Y P, Xiong Y, et al. Phenotypic traits and biomass comparative analysis of Michelia odora seedlings from different provenances. Forestry Science & Technology, 2024, 49 (4): 1- 7,13. | |
|
周 昊, 叶尔江·拜克吐尔汉, 何怀江, 等. 东北地区主要造林树种幼苗期生物量分配特征与异速生长模型. 林业科学, 2023, 59 (11): 23- 32.
doi: 10.11707/j.1001-7488.LYKX20220428 |
|
|
Zhou H, Yeerjiang B, He H J, et al. Biomass distribution characteristics and species-specific allometric equations for afforestation species in northeast China. Scientia Slivae Sinicae, 2023, 59 (11): 23- 32.
doi: 10.11707/j.1001-7488.LYKX20220428 |
|
| 邹贵武. 2022. 竞争影响马尾松(Pinus massoniana)生长的生态学机制研究. 杭州: 浙江大学. | |
| Zou G W. 2022. Ecological mechanisms of competition affecting the growth of Masson pine (Pinus massoniana). Hangzhou: Zhejiang University. [in Chinese] | |
|
Chen W D, Wang J W, Wu Y L, et al. First report of leaf spot on Malania oleifera caused by Pestalotiopsis australasiae in China. Journal of Plant Pathology, 2023, 105 (3): 1211.
doi: 10.1007/s42161-023-01423-z |
|
|
Li A R, Mao P, Li Y J. Root hemiparasitism in Malania oleifera (Olacaceae), a neglected aspect in research of the highly valued tree species. Plant Diversity, 2019, 41 (5): 347- 351.
doi: 10.1016/j.pld.2019.09.003 |
|
|
Pan Y, Lei X L, Wang P F, et al. First report of leaf spot and stem canker on Malania oleifera caused by Neofusicoccum parvum in China. Journal of Plant Pathology, 2022, 104 (1): 413.
doi: 10.1007/s42161-021-00978-z |
|
| Shen Y T, Tao L D, Zhang R G, et al. Genomic insights into endangerment and conservation of the garlic-fruit tree (Malania oleifera), a plant species with extremely small populations. GigaScience, 2024, 13, 1- 14. | |
|
Tang T F, Liu X M, Ling M, et al. Constituents of the essential oil and fatty acid from Malania oleifera. Industrial Crops and Products, 2013, 43, 1- 5.
doi: 10.1016/j.indcrop.2012.07.003 |
| [1] | 逯真佳,罗永忠,王旭虎,王康锋,马立鹏,张存焘,郭鹏,马婧,赵亮生. 甘肃省林火发生的驱动因子与火险区划[J]. 林业科学, 2025, 61(3): 63-71. |
| [2] | 姜清彬,孟景祥,李保军,陈海军,方碧江,郭朗,田生辉. 8年生火力楠半同胞家系遗传评价与选育[J]. 林业科学, 2025, 61(1): 104-114. |
| [3] | 丁永全,李笑笑,赵凤君,司莉青,舒立福,闫凯达,张建华,彭志杰,周暖阳. 基于可燃物特征的塞罕坝林场人工林小班森林火险区划[J]. 林业科学, 2024, 60(11): 107-118. |
| [4] | 尹赛男, 单延龙, 陈响, 曹丽丽, 于渤, 张美玉. 不同恢复程度的长白山风灾区地下火阴燃特征和发生概率模拟[J]. 林业科学, 2023, 59(9): 117-126. |
| [5] | 宁吉彬,耿道通,于宏洲,邸雪颖,杨光. 基于Logistic回归的兴安落叶松林飞火引燃试验[J]. 林业科学, 2021, 57(7): 121-130. |
| [6] | 魏永成,张勇,孟景祥,仲崇禄. 不同种源短枝木麻黄对青枯病的生理生化响应及早期选择[J]. 林业科学, 2021, 57(11): 134-141. |
| [7] | 董楠,张红,张春晖. 陕西省国家森林公园游客满意度——以太白山、太平和王顺山森林公园为例[J]. 林业科学, 2020, 56(3): 156-163. |
| [8] | 李霓雯, 张晓丽, 张凝, 朱程浩, 孙振峰. 基于加权信息量模型的油松毛虫灾害发生危险性评价[J]. 林业科学, 2019, 55(3): 106-117. |
| [9] | 伍汉斌,段爱国,张建国. 杉木地理种源不同林龄生长变异及选择[J]. 林业科学, 2019, 55(10): 181-192. |
| [10] | 余华, 钟全林, 程栋梁, 张中瑞, 徐朝斌, 郑文婷, 裴盼. 不同种源刨花楠林下幼苗叶片碳氮磷化学计量特征[J]. 林业科学, 2018, 54(12): 22-32. |
| [11] | 于世川, 张文辉, 尤健健, 邓磊, 黄财智, 邢忠利, 樊蓉蓉, 何婷. 抚育间伐对黄龙山辽东栎林木形质的影响[J]. 林业科学, 2017, 53(11): 104-113. |
| [12] | 翁殊斐, 朱锦心, 苏志尧, 袁喆, 郜春丽. 岭南地区滨水绿地植物景观质量评价[J]. 林业科学, 2017, 53(1): 20-27. |
| [13] | 刘宇, 徐焕文, 尚福强, 焦宏, 张利民, 罗建新, 滕文华, 刘桂丰. 16年生白桦种源变异及区划[J]. 林业科学, 2016, 52(9): 48-56. |
| [14] | 陈雷, 孙冰, 汪贵斌, 曹福亮, 封超年. 银杏果用林复合经营模式下种仁品质综合评价[J]. 林业科学, 2016, 52(11): 63-70. |
| [15] | 廖文梅, 张广来, 孔凡斌. 农户林业社会化服务需求特征及其影响因素分析——基于我国8省(区)1413户农户的调查[J]. 林业科学, 2016, 52(11): 148-156. |
| 阅读次数 | ||||||
|
全文 |
|
|||||
|
摘要 |
|
|||||