林业科学 ›› 2025, Vol. 61 ›› Issue (12): 177-191.doi: 10.11707/j.1001-7488.LYKX20240562
• 研究论文 • 上一篇
廖文梅1,郑希贤1,蒋丽雯1,王智鹏1,高雪萍1,孔凡斌2,*(
)
收稿日期:2024-09-30
修回日期:2024-11-22
出版日期:2025-12-25
发布日期:2026-01-08
通讯作者:
孔凡斌
E-mail:kongfanbin@aliyun.com
基金资助:
Wenmei Liao1,Xixian Zheng1,Liwen Jiang1,Zhipeng Wang1,Xueping Gao1,Fanbin Kong2,*(
)
Received:2024-09-30
Revised:2024-11-22
Online:2025-12-25
Published:2026-01-08
Contact:
Fanbin Kong
E-mail:kongfanbin@aliyun.com
摘要:
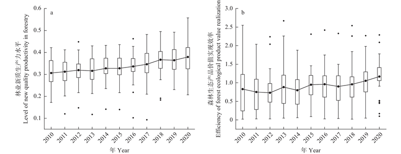
目的: 探究林业新质生产力对森林生态产品价值实现效率的影响及作用机制,为地方政府制定相关政策提供理论依据。方法: 基于2010—2020年我国31个省(区、市)面板数据,构建多维指标体系评估林业新质生产力和森林生态产品价值实现效率,采用固定效应模型和机制检验模型等分析林业新质生产力促进森林生态产品价值实现效率的影响机制及其异质性。结果: 1) 林业新质生产力每提高1个单位,森林生态产品价值实现效率将提升0.798 2个单位,其中新质劳动者和新质劳动对象的贡献显著。2) 林业新质生产力通过推动产业结构高级化、促进技术创新、提高社会消费水平和加速劳动力转移等路径可有效提升森林生态产品价值实现效率。3) 林业新质生产力对森林生态产品价值实现效率的促进效果在东部和中部地区尤为明显,在西部地区则呈现相反结果;在消费水平较低的地区,林业新质生产力会抑制森林生态产品价值实现效率提升,而在消费水平较高的地区则有显著促进作用。结论: 发展林业新质生产力对促进森林生态产品市场价值攀升至关重要,政策选择需结合区域和消费水平异质性特征,采取差异化措施,协同促进“绿水青山”向“金山银山”的高效转化。
中图分类号:
廖文梅,郑希贤,蒋丽雯,王智鹏,高雪萍,孔凡斌. 林业新质生产力对森林生态产品价值实现效率的影响机制[J]. 林业科学, 2025, 61(12): 177-191.
Wenmei Liao,Xixian Zheng,Liwen Jiang,Zhipeng Wang,Xueping Gao,Fanbin Kong. Impact Mechanism of New Quality Productivity in Forestry on the Efficiency of Forest Ecological Product Value Realization[J]. Scientia Silvae Sinicae, 2025, 61(12): 177-191.
表1
森林生态产品价值实现效率评价指标体系及评估方法"
| 类别 Category | 一级指标 Primary index | 二级指标 Secondary index | 三级指标 Tertiary index | 评估方法 Methods |
| 投入指标 Input indicators | 森林生态产品价值 Value of forest ecological products | 物质产品价值 Material product value | 林产品 Forest product | 市场价值法 Market value method |
| 调节服务价值 Regulating service value | 涵养水源 Conservation of water sources | 市场价值法、替代成本法、 影子工程法 Market value method, alternative costing method, shadow engineering method | ||
| 固碳释氧 Carbon fixation and oxygen release | ||||
| 空气净化 Air purification | ||||
| 土壤保持 Soil conservation | ||||
| 文化服务价值 Cultural service value | 森林休憩 Forest rest | 旅行费用法 Travel expense method | ||
| 劳动力 Labor | 林业从业人数 Number of forestry practitioners | |||
| 物质资本 Material capital | 林业固定资产投资完成额 Amount of forestry fixed assets investment | |||
| 产出指标 Output indicators | 林业产业总产值 Total output value of forestry industry | 林业第一、二、三产业产值 Output value of primary, secondary, tertiary forestry industry | ||
表2
林业新质生产力评价指标体系①"
| 目标层 Target layer | 准则层 Criteria layer | 一级指标 Primary index | 二级指标 Secondary index | 计量方式 Measurement method | 属性 Attributes |
| 林业新质 生产力水平 Level of new quality productivity in forestry | 林业新质 劳动者 New quality forestry workforce | 劳动者技能 Workforce skills | 专业素质 Professional quality | 林业工作站中高级人员占比 Proportion of mid-to-senior personnel in forestry stations | + |
| 文化素质 Educational quality | 林业工作站大专及以上占比 Proportion of personnel with college education or above in forestry stations | + | |||
| 劳动生产率 Labor productivity | 单位面积林业产值 Forestry output per unit area | 林业产值/森林面积 Forestry output per forest area | + | ||
| 林业系统年均工资 Annual average wage of the forestry system | 职工年平均工资 Average annual wage of employees | + | |||
| 林业新质 劳动对象 New quality forestry labor targets | 生态环境 Ecological environment | 绿色环保 Green environmental protection | 森林覆盖率 Forest coverage rate 生态修复治理投资占比 Proportion of investment in ecological restoration and management | + | |
| 灾害治理 Disaster management | 森林主要灾害防治面积/发生面积 Proportion of major forest disaster management area to occurrence area | + | |||
| 新质产业 New quality industry | 林业新质产业 Forestry new quality industry | 林下经济产值占比 Proportion of understory economy output | + | ||
| 林业新质 劳动资料 New quality forestry labor resources | 物质生产资料 Material production resources | 传统基础设施 Traditional infrastructure | 自有业务用房林业站占比 Proportion of forestry stations with self-owned office space 有交通工具的林业站占比 Proportion of forestry stations with transportation tools | + | |
| 数字基础设施 Digital infrastructure | 有计算机的林业站占比 Proportion of forestry stations with computers | + | |||
| 无形 生产资料 Intangible means of production | 技术改造与推广 Technological transformation and popularization | 林业技术改造投资占比 Proportion of investment in forestry technological transformation 科技交流与推广人员占比 Proportion of personnel involved in scientific exchange and extension | + | ||
| + |
表3
变量描述性统计"
| 变量类型 Variable types | 变量名称 Variable name | 观测数 Observations | 均值 Mean | 标准差 Standard deviation | 最小值 Minimum | 最大值 Maximum |
| 被解释变量 Dependent variable | 森林生态产品价值实现效率 Efficiency of forest ecological product value realization | 341 | 0.909 0 | 0.545 6 | 0.020 0 | 2.670 0 |
| 解释变量 Independent variable | 林业新质生产力 New quality productivity in forestry | 341 | 0.328 0 | 0.074 0 | 0.092 9 | 0.557 8 |
| 机制变量 Mechanism variable | 产业结构高级化 Advanced industrial structure | 341 | 0.319 0 | 1.133 7 | 0.010 0 | 13.070 0 |
| 技术创新水平 Technological innovation capability | 341 | 0.045 0 | 0.046 5 | 0.000 0 | 0.220 0 | |
| 社会消费水平 Social consumption level | 341 | 0.391 0 | 0.053 8 | 0.220 0 | 0.500 0 | |
| 劳动力转移 Labor migration | 341 | 0.658 0 | 0.140 7 | 0.320 0 | 0.980 0 | |
| 控制变量 Control variable | 经济增长水平 Level of economic growth | 341 | 2.730 0 | 2.217 5 | 0.412 4 | 10.523 1 |
| 地区开放水平 Level of regional openness | 341 | 0.274 0 | 0.297 0 | 0.007 6 | 1.463 8 | |
| 社会保障水平 Level of social security | 341 | 0.129 0 | 0.034 5 | 0.054 8 | 0.275 8 | |
| 年平均气温 Mean annual temperature | 341 | 11.928 0 | 6.544 5 | ?4.022 4 | 25.079 0 | |
| 年平均降水量 Mean annual precipitation | 341 | 2.914 0 | 1.486 4 | 0.580 4 | 6.341 3 |
表4
基准回归结果①"
| 变量 Variables | 被解释变量:森林生态产品价值实现效率 Dependent variable: efficiency of forest ecological product value realization | |||
| 模型(1) Model (1) | 模型(2) Model (2) | 模型(3) Model (3) | 模型(4) Model (4) | |
| 林业新质生产力 New quality productivity in forestry | 0.798 2** (0.396 8) | |||
| 林业新质劳动者 New quality forestry workforce | 0.509 7** (0.226 0) | |||
| 林业新质劳动对象 New quality forestry labor targets | 0.650 0* (0.347 8) | |||
| 林业新质劳动资料 New quality forestry labor resources | 0.155 7* (0.093 7) | |||
| 经济增长水平 Level of economic growth | ?0.137 2** (0.059 5) | ?0.041 5** (0.019 7) | ?0.030 5 (0.022 1) | ?0.035 5* (0.019 5) |
| 地区开放水平 Level of regional openness | 0.124 9 (0.152 0) | ?0.268 9 (0.187 2) | 0.089 4 (0.150 9) | 1.249 3*** (0.478 0) |
| 社会保障水平 Level of social security | 0.859 8** (0.418 1) | ?0.843 1* (0.465 0) | 0.631 5 (0.400 4) | ?9.673 5*** (3.191 2) |
| 年平均气温 Mean annual temperature | ?0.097 5 (0.136 3) | 0.237 2 (0.563 3) | ?0.085 3 (0.538 0) | 0.576 3 (0.574 8) |
| 年平均降水量 Mean annual precipitation | ?0.497 8 (0.361 9) | ?0.302 5 (0.309 9) | ?0.295 4 (0.336 3) | ?0.117 1 (0.090 4) |
| 常数项 Constant | 4.008 9* (2.214 4) | ?2.453 6 (1.984 5) | 1.778 6* (0.989 9) | ?0.794 7 (1.361 8) |
| 省份固定效应Province fixed effects | 是Yes | 是Yes | 是Yes | 是Yes |
| 年份固定效应Year fixed effects | 是Yes | 是Yes | 是Yes | 是Yes |
| 样本量Sample size | 341 | 341 | 341 | 341 |
| R2 | 0.148 8 | 0.219 4 | 0.136 1 | 0.236 0 |
表5
稳健性检验结果①"
| 变量 Variables | 模型(1) Model (1) | 模型(2) Model (2) | 模型(3) Model (3) | 模型(4) Model (4) | 模型(5) Model (5) |
| 林业新质生产力 New quality productivity in forestry | 0.804 0* (0.452 0) | 0.768 5* (0.391 4) | |||
| 林业新质生产力 New quality productivity in forestry | 0.188 0* (0.097 2) | ||||
| (L.)林业新质生产力 (L.) New quality productivity in forestry | 0.986 4*** (0.360 4) | ||||
| (L2.)林业新质生产力 (L2.) New quality productivity in forestry | 0.719 3* (0.399 4) | ||||
| 常数项 Constant | ?3.197 2* (1.861 0) | ?1.702 3 (1.951 7) | ?4.401 4** (2.037 2) | 3.655 0 (2.537 3) | 3.948 4* (2.184 2) |
| 控制变量Control variable | 是Yes | 是Yes | 是Yes | 是Yes | 是Yes |
| 省份固定效应Province fixed effects | 是Yes | 是Yes | 是Yes | 是Yes | 是Yes |
| 年份固定效应Year fixed effects | 是Yes | 是Yes | 是Yes | 是Yes | 是Yes |
| 样本量Sample size | 341 | 341 | 341 | 297 | 341 |
| R2 | 0.219 9 | 0.242 8 | 0.157 0 | 0.139 9 | 0.148 8 |
表6
机制分析结果①"
| 变量 Variables | 模型(1): 产业结构高级化 Model (1): advanced industrial structure | 模型(2): 技术创新水平 Model (2): technological innovation capability | 模型(3): 社会消费水平 Model (3): social consumption level | 模型(4): 劳动力转移 Model (4): labor migration |
| 林业新质生产力 New quality productivity in forestry | 0.751 5* (0.449 4) | 0.227 0* (0.128 4) | 0.254 7* (0.135 2) | 0.348 6** (0.170 3)> |
| 常数项 Constant | ?1.121 8 (4.068 2) | ?0.162 1 (0.107 9) | ?1.327 4*** (0.161 9) | 0.494 9** (0.204 0) |
| 控制变量Control variable | 是Yes | 是Yes | 是Yes | 是Yes |
| 省份固定效应Province fixed effects | 是Yes | 是Yes | 是Yes | 是Yes |
| 年份固定效应Year fixed effects | 是Yes | 是Yes | 是Yes | 是Yes |
| 样本量Sample size | 341 | 341 | 341 | 341 |
| R2 | 0.228 4 | 0.842 1 | 0.384 1 | 0.098 7 |
表7
区域异质性回归结果①"
| 变量Variables | 模型(1): 东部 Model (1): eastern | 模型(2): 中部 Model (2): central | 模型(3): 西部 Model (3): western |
| 林业新质生产力New quality productivity in forestry | 0.526 8* (0.282 5) | 0.800 4** (0.341 5) | ?0.439 8* (0.257 5) |
| 常数项 Constant | ?2.316 8*** (0.609 9) | 0.272 9 (0.607 3) | 3.721 0*** (0.956 3) |
| 控制变量Control variable | 是Yes | 是Yes | 是Yes |
| 省份固定效应 Province fixed effects | 是Yes | 是Yes | 是Yes |
| 年份固定效应 Year fixed effects | 是Yes | 是Yes | 是Yes |
| 样本量Sample size | 132 | 99 | 110 |
| R2 | 0.219 7 | 0.194 8 | 0.353 7 |
表8
不同消费水平分位数回归结果①"
| 变量 Variables | 模型(1): 消费 水平较低 Model (1): low consumption level | 模型(2): 消费 水平中等 Model (2): moderate consumption level | 模型(3): 消费 水平较高 Model (3): high consumption level |
| 林业新质生产力New quality productivity in forestry | ?0.353 1** (0.073 3) | 0.194 5 (0.228 2) | 0.680 5** (0.320 4) |
| 常数项Constant | ?3.747 6** (0.554 2) | ?0.313 2 (0.454 3) | 0.681 0 (0.685 3) |
| 控制变量 Control variable | 是Yes | 是Yes | 是Yes |
| 省份固定效应Province fixed effects | 是Yes | 是Yes | 是Yes |
| 年份固定效应Year fixed effects | 是Yes | 是Yes | 是Yes |
| 样本量Sample size | 341 | 341 | 341 |
| R2 | 0.993 0 | 0.299 5 | 0.208 0 |
| 曹先磊, 任云鹤. 森林资源丰富度、生态产品价值实现与农村居民增收. 中国农业大学学报, 2024, 29 (8): 34- 49. | |
| Cao X L, Ren Y H. Forest resource richness, value realization of ecological products and income increase of rural residents. Journal of China Agricultural University, 2024, 29 (8): 34- 49. | |
| 蔡雪雄, 程秋旺, 石玉婷. 数字普惠金融对农地流转的影响、作用机制与异质性分析. 经济纵横, 2023 (4): 118- 128. | |
| Cai X X, Cheng Q W, Shi Y T. Influence, mechanism and heterogeneity analysis of digital inclusive finance on farmland transfer. Economic Review Journal, 2023 (4): 118- 128. | |
|
陈晓红, 张静辉, 汪阳洁, 等. 数字赋能、技术创新与空气污染治理: 来自专利文本挖掘的证据. 经济研究, 2024, 59 (12): 21- 39.
doi: 10.3969/j.issn.0577-9154.2024.12.jjyj202412002 |
|
|
Chen X H, Zhang J H, Wang Y J, et al. Digital empowerment, technological innovation and air pollution governance: evidence from patent text mining. Economic Research Journal, 2024, 59 (12): 21- 39.
doi: 10.3969/j.issn.0577-9154.2024.12.jjyj202412002 |
|
| 程俊杰. 转型时期中国产能过剩测度及成因的地区差异. 经济学家, 2015 (3): 74- 83. | |
| Cheng J J. Regional differences in the measurement and causes of overcapacity in China during the transition period. Economist, 2015 (3): 74- 83. | |
| 程文杰, 孔凡斌, 徐彩瑶. 国家试点区森林调节类生态产品价值转化效率初探. 林业经济问题, 2022, 42 (4): 354- 362. | |
| Cheng W J, Kong F B, Xu C Y. Study on the conversion efficiency of forest regulating ecological products value in the national pilot areas. Issues of Forestry Economics, 2022, 42 (4): 354- 362. | |
| 丁仕潮, 魏引娣, 张飞扬. 中国新质生产力: 发展水平与动态演进特征. 统计与决策, 2024, 40 (10): 5- 11. | |
| Ding S C, Wei Y D, Zhang F Y. China’s new quality productivity: development level and dynamic evolution characteristics. Statistics & Decision, 2024, 40 (10): 5- 11. | |
| 高 帆. 新质生产力与我国农业高质量发展的实现机制. 农业经济问题, 2024, 45 (4): 58- 67. | |
| Gao F. New quality productivity and the mechanism of achieving high-quality development of agriculture in China. Issues in Agricultural Economy, 2024, 45 (4): 58- 67. | |
| 高晓龙, 郑 华, 欧阳志云. 生态产品价值实现愿景、目标及路径研究. 中国国土资源经济, 2023, 36 (5): 50- 55. | |
| Gao X L, Zheng H, Ouyang Z Y. Research on the vision, objectives, and pathways to realize the eco-product value. Natural Resource Economics of China, 2023, 36 (5): 50- 55. | |
| 龚斌磊, 袁菱苒. 新质生产力视角下的农业全要素生产率: 理论、测度与实证. 农业经济问题, 2024, 45 (4): 68- 80. | |
| Gong B L, Yuan L R. Agricultural total factor productivity from the perspective of new quality productivity: theory, measurement and empirical research. Issues in Agricultural Economy, 2024, 45 (4): 68- 80. | |
| 龚日朝, 姚嘉倩, 刘香伶. 产业结构数据的等距logratio变换与应用. 统计与决策, 2023, 39 (19): 53- 59. | |
| Gong R Z, Yao J Q, Liu X L. Isometric logratio transformation of industrial structure data and its application. Statistics & Decision, 2023, 39 (19): 53- 59. | |
| 郭万超. 论新质生产力生成的文化动因: 构建新质生产力文化理论的基本框架. 山东大学学报(哲学社会科学版), 2024 (4): 25- 34. | |
| Guo W C. On the cultural motivation of the generation of new quality productive forces: constructing the basic framework for the cultural theory of new quality productive forces. Journal of Shandong University (Philosophy and Social Sciences), 2024 (4): 25- 34. | |
| 黄 颖, 温铁军, 范水生, 等. 规模经济、多重激励与生态产品价值实现: 福建省南平市“森林生态银行” 经验总结. 林业经济问题, 2020, 40 (5): 499- 509. | |
| Huang Y, Wen T J, Fan S S, et al. Economics of scale, multi-incentives and realization of ecological product value: summary of experience of forest eco-bank in Nanping, Fujian. Issues of Forestry Economics, 2020, 40 (5): 499- 509. | |
| 江 艇. 因果推断经验研究中的中介效应与调节效应. 中国工业经济, 2022 (5): 100- 120. | |
| Jiang T. Mediating effects and moderating effects in causal inference. China Industrial Economics, 2022 (5): 100- 120. | |
| 柯水发, 万深玮, 陈建成. 建构中国自主的现代林业经济学知识体系初探. 世界林业研究, 2024, 37 (3): 1- 9. | |
| Ke S F, Wan S W, Chen J C. A preliminary discussion on constructing China’s independent knowledge system of modern forestry economics. World Forestry Research, 2024, 37 (3): 1- 9. | |
| 孔凡斌, 王 宁, 徐彩瑶, 等. 2023a. 浙江省山区26县森林生态产品价值实现对城乡收入差距的影响. 林业科学, 59(1): 44−58. | |
| Kong F B, Wang N, Xu C Y, et al. 2023b. Impact of value realization of forest ecological products on urban-rural income gap in 26 mountainous counties of Zhejiang Province. Scientia Silvae Sinicae, 59(1): 44−58. [in Chinese] | |
| 孔凡斌, 程文杰, 徐彩瑶. 2023b. 数字经济发展能否提高森林生态产品价值转化效率: 基于浙江省丽水市的实证分析. 中国农村经济, (5): 163−184. | |
| Kong F B, Cheng W J, Xu C Y. 2023a. Does the development of digital economy improve the value transformation efficiency of forest ecological products: an empirical analysis in Lishui, Zhejiang Province. Chinese Rural Economy, (5): 163−184. [in Chinese] | |
| 孔凡斌, 陆 雨, 徐彩瑶. 数字经济发展、森林生态产品价值实现与城乡收入差距. 林业科学, 2024, 60 (5): 1- 21. | |
| Kong F B, Lu Y, Xu C Y. Digital economy development, value realization of forest ecological products, and urban-rural income gap. Scientia Silvae Sinicae, 2024, 60 (5): 1- 21. | |
| 李东民, 郭 文. 新质生产力的丰富内涵、生成逻辑与当代意蕴. 技术经济与管理研究, 2024 (4): 8- 13. | |
| Li D M, Guo W. The rich connotation, generation logic and contemporary implication of new-quality productivity. Journal of Technical Economics & Management, 2024 (4): 8- 13. | |
| 李凯锋, 张雅琴, 陈淑芳. 绿色技术创新背景下数智化转型与制造业企业的组织韧性. 西安财经大学学报, 2024, 37 (4): 84- 96. | |
| Li K F, Zhang Y Q, Chen S F. Digital intelligence transformation and organizational resilience of manufacturing enterprises with the background of the green technology innovation. Journal of Xi’an University of Finance and Economics, 2024, 37 (4): 84- 96. | |
| 李宏伟. 以新质生产力赋能农业生态产品价值实现. 人民论坛·学术前沿, 2024 (10): 63- 70. | |
| Li H W. New quality productive forces can empower the value realization of agricultural ecological products. Frontiers, 2024 (10): 63- 70. | |
| 李 周. 中国走向共同富裕的战略研究. 中国农村经济, 2021 (10): 2- 23. | |
| Li Z. A strategic study on achieving common prosperity in China. Chinese Rural Economy, 2021 (10): 2- 23. | |
| 廖文梅, 王 璐, 高雪萍. 社会化服务能否促进农户林业生产要素的投入? 基于林业病虫害统防统治服务调查. 华中农业大学学报(社会科学版), 2022 (5): 101- 113. | |
| Liao W M, Wang L, Gao X P. The study of the effect of socialized services on farmers’ forestry production factors: an investigation on forestry disease and insect pest control and governance services. Journal of Huazhong Agricultural University (Social Sciences Edition), 2022 (5): 101- 113. | |
| 刘 佳, 李煜轩. 低碳城市建设与旅游业绿色全要素生产率: 基于276个地级以上城市的准自然实验. 西南民族大学学报(人文社会科学版), 2024, 45 (6): 38- 55. | |
| Liu J, Li Y X. Low carbon city construction and green total factor productivity of tourism industry: a ouasi natural experiment based on 276 prefecture level and above cities. Journal of Southwest Minzu University (Humanities and Social Sciences Edition), 2024, 45 (6): 38- 55. | |
| 马中东, 周桐桐, 宋丽丽, 等. 黄河流域制造业高质量发展的空间格局演化、地区差异及收敛性分析. 河南师范大学学报(自然科学版), 2024, 52 (4): 11- 21. | |
| Ma Z D, Zhou T T, Song L L, et al. Spatial pattern evolution, regional difference and convergence analysis of high-quality development of manufacturing industry in the Yellow River Basin. Journal of Henan Normal University (Natural Science Edition), 2024, 52 (4): 11- 21. | |
| 丘水林, 靳乐山. 生态产品价值实现: 理论基础、基本逻辑与主要模式. 农业经济, 2021 (4): 106- 108. | |
| Qiu S L, Jin L S. Ecological product value realization: theoretical foundation, basic logic, and main models. Agricultural Economics, 2021 (4): 106- 108. | |
| 孙玉环, 张冬雪, 梁雨萩, 等. 生态产品价值实现与城乡融合发展: 基于城乡融合发展试验区的实证研究. 统计研究, 2024, 41 (2): 87- 99. | |
| Sun Y H, Zhang D X, Liang Y Q, et al. Value realization of ecological products and integrated urban-rural development: an empirical study based on urban-rural integrated development pilot zones. Statistical Research, 2024, 41 (2): 87- 99. | |
|
王殿常, 李 玮, 谢向向, 等. 供需视角下生态产品价值实现路径研究. 中国水利, 2024 (10): 57- 62.
doi: 10.3969/j.issn.1000-1123.2024.10.011 |
|
|
Wang D C, Li W, Xie X X, et al. Research on the typical pathways for the realization of ecological product value from the perspective of supply and demand. China Water Resources, 2024 (10): 57- 62.
doi: 10.3969/j.issn.1000-1123.2024.10.011 |
|
| 王 勇. 深刻把握新质生产力的内涵、特征及理论意蕴. 人民论坛, 2024 (6): 8- 10. | |
| Wang Y. Deeply grasp the connotation, characteristics and theoretical implication of new quality productivity. People’s Tribune, 2024 (6): 8- 10. | |
| 吴继飞, 万晓榆. 中国新质生产力发展水平测度、区域差距及动态规律. 技术经济, 2024, 43 (4): 1- 14. | |
| Wu J F, Wan X Y. Measurement, regional difference and dynamic evolution of the development level of China’s new quality productive forces. Journal of Technology Economics, 2024, 43 (4): 1- 14. | |
| 习近平. 2024. 发展新质生产力是推动高质量发展的内在要求和重要着力点. 求是, (11): 4−8. | |
| Xi J P. 2024. The development of new quality productive forces is the inherent requirement and important focus of promoting high-quality development. Qiushi, (11): 4−8. [in Chinese] | |
| 谢 攀, 马 静. 2024. 机器人应用背景下行业间劳动力转移能提升全要素生产率吗? 中国劳动关系学院学报, 38(2): 92−109. | |
| Xie P, Ma J. 2024. Does inter-industry labor transfer improve total factor productivity in the context of robot application? Journal of China University of Labor Relations, 38(2): 92−109. [in Chinese] | |
| 张金鑫, 王红玲. 环境规制、农业技术创新与农业碳排放. 湖北大学学报(哲学社会科学版), 2020, 47 (4): 147- 156. | |
| Zhang J X, Wang H L. Analysis on environmental planning, agricultural technological innovation and agricultural carbon emission. Journal of Hubei University (Philosophy and Social Science), 2020, 47 (4): 147- 156. | |
| 张林波, 程 亮, 相文静, 等. 2023. 我国“森林生态银行” 的发展历程、运行模式与完善建议: 以福建省南平市为例. 环境保护, 51(17): 21−26. | |
| Zhang L B, Cheng L, Xiang W J, et al. 2023. The development history, operation mode and improvement suggestions of China’s “forest ecological bank” : a case study of Nanping city, Fujian Province. Environmental Protection, 51(17): 21−26. [in Chinese] | |
| 张明林, 李亚楠, 邓 新. 国家优先支持政策对革命老区创新效率的影响. 城市问题, 2024 (2): 90- 101. | |
| Zhang M L, Li Y N, Deng X. 2024. The influence of national priority support policies on innovation efficiency of old revolutionary base areas. Urban Problems, 2024 (2): 90- 101. | |
|
张震宇. 新质生产力赋能数字乡村建设: 转型逻辑与实施路径. 学术交流, 2024 (1): 93- 107.
doi: 10.3969/j.issn.1000-8284.2024.01.008 |
|
|
Zhang Z Y. Empowering digital rural construction with new quality productivity: transformation logic and implementation path. Academic Exchange, 2024 (1): 93- 107.
doi: 10.3969/j.issn.1000-8284.2024.01.008 |
|
|
赵建梅, 祝雨翔. 市场化进程与地区经济不均衡: 基于夜间灯光数据的分析. 中央财经大学学报, 2023 (4): 105- 117.
doi: 10.3969/j.issn.1000-1549.2023.4.zycjdxxb202304010 |
|
|
Zhao J M, Zhu Y X. Marketization process and regional economic imbalance: an analysis based on the night light data. Journal of Central University of Finance & Economics, 2023 (4): 105- 117.
doi: 10.3969/j.issn.1000-1549.2023.4.zycjdxxb202304010 |
|
| 赵 敏, 夏同水, 马宗国. 黄河流域生态保护和农业产业高质量发展评价研究. 长江流域资源与环境, 2022, 31 (9): 2096- 2107. | |
| Zhao M, Xia T S, Ma Z G. Evaluation of ecological protection and high quality development of agricultural industry in the Yellow River Basin. Resources and Environment in the Yangtze Basin, 2022, 31 (9): 2096- 2107. | |
| 朱 迪, 叶林祥. 中国农业新质生产力: 水平测度与动态演变. 统计与决策, 2024, 40 (9): 24- 30. | |
| Zhu D, Ye L X. Agricultural new quality productive force in China: level measurement and dynamic evolution. Statistics & Decision, 2024, 40 (9): 24- 30. | |
|
Costanza R, d’Arge R, de Groot R, et al. The value of the world’s ecosystem services and natural capital. Nature, 1997, 387, 253- 260.
doi: 10.1038/387253a0 |
|
| Howard J A. 1969. The theory of buyer behavior. John Willey & Sons, 145. | |
|
Lewis W A. Economic development with unlimited supplies of labour. The Manchester School, 1954, 22 (2): 139- 191.
doi: 10.1111/j.1467-9957.1954.tb00021.x |
|
|
Li L, Fan Z H, Xiong K N, et al. Current situation and prospects of the studies of ecological industries and ecological products in eco-fragile areas. Environmental Research, 2021, 201, 111613.
doi: 10.1016/j.envres.2021.111613 |
|
|
Li Z G, Wang J. The dynamic impact of digital economy on carbon emission reduction: evidence city-level empirical data in China. Journal of Cleaner Production, 2022, 351, 131570.
doi: 10.1016/j.jclepro.2022.131570 |
|
|
Liu J M, Hou X H, Wang Z Q, et al. Study the effect of industrial structure optimization on urban land-use efficiency in China. Land Use Policy, 2021, 105, 105390.
doi: 10.1016/j.landusepol.2021.105390 |
|
|
Nemet G F. Demand-pull, technology-push, and government-led incentives for non-incremental technical change. Research Policy, 2009, 38 (5): 700- 709.
doi: 10.1016/j.respol.2009.01.004 |
|
| Scott A, Storper M. Regions, globalization, development. Regional Studies, 2003, 37 (6/7): 579- 593. | |
|
Zhou X X, Cai Z M, Tan K H, et al. Technological innovation and structural change for economic development in China as an emerging market. Technological Forecasting and Social Change, 2021, 167, 120671.
doi: 10.1016/j.techfore.2021.120671 |
| [1] | 张少鹏,付瑶,朱洪革,赵梦涵. 天然林资源保护政策对重点国有林区林业新质生产力的影响——基于林业绿色全要素生产率视角[J]. 林业科学, 2025, 61(6): 183-195. |
| [2] | 朱洪革,赵梦涵,张少鹏. 国有林管理体制转型对林业新质生产力发展的影响机制[J]. 林业科学, 2025, 61(5): 207-221. |
| [3] | 黄安胜,薛泽茜,郭铭杰,许毓坤. 乡村数字化对林业新质生产力的影响[J]. 林业科学, 2025, 61(11): 200-214. |
| [4] | 李洪敏,张雨晨,米红,马国勇. 林业数智化对林业新质生产力的影响机制[J]. 林业科学, 2025, 61(11): 181-199. |
| [5] | 孔凡斌,陆雨,徐彩瑶. 数字经济发展、森林生态产品价值实现与城乡收入差距[J]. 林业科学, 2024, 60(5): 1-21. |
| [6] | 徐彩瑶,王宁,孔凡斌,沈月琴. 森林生态产品价值实现对县域发展差距的影响: 以浙江省山区26县为例[J]. 林业科学, 2023, 59(1): 12-30. |
| [7] | 孔凡斌,王宁,徐彩瑶,陆雨,沈月琴. 浙江省山区26县森林生态产品价值实现对城乡收入差距的影响[J]. 林业科学, 2023, 59(1): 44-58. |
| [8] | 窦亚权,杨琛,赵晓迪,王怀毅,李娅,何友均. 森林生态产品价值实现的理论与路径选择[J]. 林业科学, 2022, 58(7): 1-11. |
| 阅读次数 | ||||||
|
全文 |
|
|||||
|
摘要 |
|
|||||