欢迎访问林业科学,今天是

林业科学 ›› 2025, Vol. 61 ›› Issue (12): 135-145.doi: 10.11707/j.1001-7488.LYKX20240806

• 研究论文 • 上一篇    

机械清除林区道路两侧可燃物降低火灾风险效果评估——以塞罕坝机械林场为例

闫凯达1,周暖阳1,司莉青1,赵凤君1,*(),张建华2,邹全程3,彭志杰2,韩冬2,徐健楠3,李笑笑1,张师渊1   

  1. 1. 国家林业和草原局森林保护学重点实验室 中国林业科学研究院森林生态环境与自然保护研究所 北京100091
    2. 塞罕坝机械林场 围场 068466
    3. 国家林业和草原局林草调查规划院 北京 100714
  • 收稿日期:2024-12-31 修回日期:2025-03-21 出版日期:2025-12-25 发布日期:2026-01-08
  • 通讯作者: 赵凤君 E-mail:zhaofj@caf.ac.cn
  • 基金资助:
    国家林业和草原局揭榜挂帅项目“三北工程攻坚战关键技术研发”(202401);中国林业科学研究院基本科研业务费专项(CAFYBB2024ZA004);国家自然科学基金项目(32271895)。

Evaluation of the Effectiveness of Mechanical Clearance of Combustible Materials on Both Sides of Forest Roads on Reducing Wildfire Risk: a Case Study in Saihanba Mechanical Forest Farm

Kaida Yan1,Nuanyang Zhou1,Liqing Si1,Fengjun Zhao1,*(),Jianhua Zhang2,Quancheng Zou3,Zhijie Peng2,Dong Han2,Jiannan Xu3,Xiaoxiao Li1,Shiyuan Zhang1   

  1. 1. Key Laboratory of Forest Protection of National Forestry and Grassland Administration Ecology and Nature Conservation Institute, Chinese Academy of Forestry Beijing 100091
    2. Saihanba Mechanized Forest Farm Weichang 068466
    3. Academy of Inventory and Planning ofNational Forestry and Grassland Administration Beijing 100714
  • Received:2024-12-31 Revised:2025-03-21 Online:2025-12-25 Published:2026-01-08
  • Contact: Fengjun Zhao E-mail:zhaofj@caf.ac.cn

摘要:

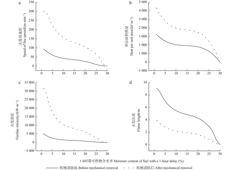
目的: 评估机械清除林区道路两侧易燃细小可燃物对降低火灾风险的效果,探讨其影响火行为的机制,为制定科学的可燃物管理措施提供理论与数据支持。方法: 在塞罕坝机械林场秋季防火期前,通过样地调查与室内试验,测定机械清除前后可燃物的关键参数(高度、载量、含水率等),采用BehavePlus火行为模型模拟不同环境情景下清除前后的潜在火行为特征。结果: 首先,机械清除措施成效显著,道路两侧可燃物的平均高度从0.65 m大幅降至0.18 m,近60%样地的可燃物载量降低50%以上。其次,清除操作直接导致各项火行为指标急剧下降,地表火蔓延速度、单位面积热量、火线强度和火焰长度平均降幅分别达73.00%、43.75%、84.81%和57.98%。尤为重要的是,在可燃物高度较高(如1.0 m)的情况下,清除措施降低火行为的效果更为突出,各项关键指标降幅最高可超过95%。此外,割除后的可燃物若被进一步清理,其降低火灾风险的效果优于仅割除而未清理的方式。模型模拟也证实,在高风速、低含水率和高坡度的极端环境条件下,机械清除能够显著抑制火行为。结论: 机械清除能有效减少道路两侧易燃细小可燃物的高度和载量,显著抑制潜在火行为并降低火灾风险。建议在未来的管理中,应结合区域生态特性,灵活调整清除强度与时间安排,以实现火灾风险最小化与生态系统稳定性的双重目标。

关键词: 林区道路, 可燃物管理, 细小可燃物, 极端火环境, 机械清除, 火行为, BehavePlus

Abstract:

Objective: This study aims to evaluate the effectiveness of mechanically removing highly flammable fine fuels on both sides of the road in reducing wildfire risk, and to investigate the mechanisms through which this practice influences fire behavior. The findings are intended to provide theoretical and data-driven support for developing scientific fuel management strategies. Method: Prior to the autumn fire prevention period in the Saihanba Mechanical Forest Farm, field plot surveys and laboratory experiments were conducted to measure key fuel parameters (e.g., height, load, moisture content) before and after mechanical removal. The BehavePlus fire behavior modeling system was used to simulate potential fire behavior characteristics before and after removal in various environmental scenarios. Result: Firstly, the mechanical removal treatment was highly effective. The average fuel height along the roadsides was significantly reduced from 0.65 m to 0.18 m. Fuel load decreased by more than 50% in nearly 60% of the sample plots. Secondly, the removal operation directly led to a sharp decline in all fire behavior indicators. The average rates of decrease for surface fire rate of spread, heat per unit area, fireline intensity, and flame length reached 73.00%, 43.75%, 84.81%, and 57.98%, respectively. Notably, the mitigating effect on fire behavior was more pronounced in areas with initially higher fuel heights (e.g., 1.0 m), where the reduction in key fire behavior indicators could exceed 95%. Furthermore, the practice of subsequently clearing the mowed fuels away had superior risk reduction compared to simply mowing without removal. Model simulations also confirms that mechanical removal significantly suppresses fire behavior even under extreme environmental conditions characterized by high wind speed, low fuel moisture content, and steep slopes. Conclusion: Mechanical removal effectively reduces the height and load of flammable fine fuels both sides of forest roads, thereby significantly inhibiting potential fire behavior and lowering wildfire risk. For future management, it is recommended to flexibly adjust the intensity and timing of removal operations based on regional ecological characteristics to achieve the dual objectives of minimizing wildfire risk and maintaining ecosystem stability.

Key words: forest roads, fuel management, fine fuels, extreme fire environment, mechanical removal, fire behavior, BehavePlus

中图分类号: