林业科学 ›› 2025, Vol. 61 ›› Issue (11): 138-149.doi: 10.11707/j.1001-7488.LYKX20250108
收稿日期:2025-02-26
修回日期:2025-07-21
出版日期:2025-11-25
发布日期:2025-12-11
通讯作者:
成洁
E-mail:15635845550@163.com
基金资助:
Wanzhen Han,Lei Liu,Jie Cheng*(
),Qiwu Sun,Yuhong Dong,Lingyu Hou,Runzhe Zhang
Received:2025-02-26
Revised:2025-07-21
Online:2025-11-25
Published:2025-12-11
Contact:
Jie Cheng
E-mail:15635845550@163.com
摘要:
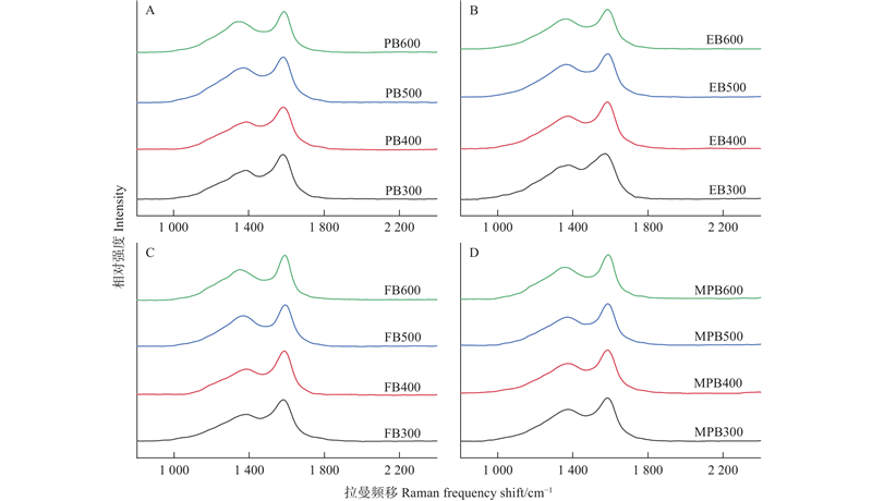
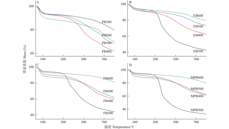
目的: 探讨不同原料来源及热解温度对林业剩余物生物炭理化性质的影响机制,旨在为定向制备林业剩余物基生物炭提供理论依据。方法: 选用杨树、桉树、杉木和马尾松枝条为原料,分别在300、400、500和600 ℃热解温度下制备生物炭。利用扫描电镜、X射线多晶衍射等方法对生物炭进行表征,分析孔隙结构及表面官能团等理化特性。结果: 热解温度对林业剩余物基生物炭的理化性质造成显著差异。随着热解温度从300 ℃升至600 ℃,杨树、桉树、杉木和马尾松枝条生物炭产率均呈下降趋势。杉木枝条生物炭在600 ℃时的比表面积达到最大值449.65 m2·g–1,同时其微孔孔容和微孔比表面积也达到最大值。以杉木和马尾松为原料制备的生物炭具有较高的比表面积和孔隙度,相比之下,以杨树和桉树为原料制备的生物炭则较低。马尾松与杉木生物炭热重分析曲线趋势一致,其中300 ℃条件下制备的生物炭热稳定性最差,600 ℃条件下稳定性最佳。此外,杉木和马尾松生物炭的XRD图谱中CaCO3衍射峰较弱,表明其方解石含量和结晶度均较低。结论: 本研究阐明了4种典型林业剩余物基生物炭对不同热解温度的响应机制,揭示了热解温度和原料类型是影响林业剩余物基生物炭产率和理化性质的关键因素。通过对热解温度和原料的有效调控,可以定向制备不同功能的林业剩余物基生物炭,以满足不同领域对生物炭性能的特定需求,为林业剩余物的资源化利用提供新的途径。
中图分类号:
韩婉禛,刘蕾,成洁,孙启武,董玉红,厚凌宇,张润哲. 4种典型林业剩余物基生物炭理化性质对不同热解温度的响应[J]. 林业科学, 2025, 61(11): 138-149.
Wanzhen Han,Lei Liu,Jie Cheng,Qiwu Sun,Yuhong Dong,Lingyu Hou,Runzhe Zhang. Response of Physicochemical Properties of Four Typical Forest Residue-based Biochars to Different Pyrolysis Temperatures[J]. Scientia Silvae Sinicae, 2025, 61(11): 138-149.
表1
四种典型林业剩余物基生物炭产率、比表面积、孔径及孔体积分析"
| 热解原料 Pyrolysis raw material | 热解温度Pyrolysis temperature/℃ | 产率 Yield (%) | 比表面积Specific surface area/(m2·g?1) | 总孔容 Total pore volume/ (cm3·g?1) | 平均孔径Average aperture/ nm | 微孔比表面积Microporous specific surface area/(m2·g?1) | 微孔孔容Pore volume /(cm3·g?1) |
| 杨树枝条 Branches of Populus spp. | 300 | 50.28 | 1.01 | 9.43 | 1.02 | — | |
| 400 | 35.75 | 1.93 | 5.75 | 1.90 | 0.001 | ||
| 500 | 30.41 | 52.87 | 2.43 | 53.15 | 0.020 | ||
| 600 | 21.87 | 348.35 | 1.80 | 341.32 | 0.139 | ||
| 桉树枝条 Branches of Eucalyptus robusta | 300 | 67.21 | 0.90 | 13.73 | 0.88 | — | |
| 400 | 34.86 | 2.73 | 5.02 | 2.73 | 0.001 | ||
| 500 | 28.42 | 150.42 | 2.10 | 151.67 | 0.062 | ||
| 600 | 27.53 | 271.85 | 1.90 | 273.24 | 0.112 | ||
| 杉木枝条 Branches of Cunninghamia lanceolata | 300 | 59.48 | 0.90 | 11.61 | 0.90 | 0.001 | |
| 400 | 37.30 | 0.90 | 3.67 | 0.86 | 0.001 | ||
| 500 | 30.04 | 377.23 | 1.88 | 379.61 | 0.156 | ||
| 600 | 28.12 | 449.65 | 1.76 | 444.85 | 0.181 | ||
| 马尾松枝条 Branches of Pinus massoniana | 300 | 70.51 | 0.10 | 10.38 | 0.97 | — | |
| 400 | 32.74 | 19.18 | 2.20 | 19.35 | 0.008 | ||
| 500 | 28.75 | 241.33 | 1.86 | 241.00 | 0.098 | ||
| 600 | 26.79 | 440.47 | 1.73 | 446.33 | 0.175 | ||
| 红花籽渣 Seeds of Carthamus tinctorius ( | 600 | 73.24 | 249.30 | 2.42 | 61.60 | 0.077 | |
| 700 | 50.01 | 491.90 | 2.02 | 68.00 | 0.169 | ||
| 800 | 35.24 | 772.00 | 1.85 | 70.70 | 0.278 | ||
| 900 | 29.06 | 801.50 | 1.96 | 94.70 | 0.284 | ||
| 小麦秸秆 Straws of Triticum aestivum ( | 300 | 53.50 | 16.10 | 1.85 | 0.96 | — | |
| 400 | 26.11 | 300.43 | 2.31 | 249.58 | 0.106 | ||
| 500 | 16.00 | — | 2.77 | — | — | ||
| 600 | 15.05 | 513.51 | 2.47 | 381.44 | 0.162 | ||
| 玉米秸秆 Straws of Zea mays ( | 200 | 63.00 | 2.21 | 4.13 | — | — | |
| 300 | 35.01 | 13.78 | 2.60 | — | — | ||
| 400 | 26.90 | 107.01 | 2.12 | 60.82 | 0.020 | ||
| 700 | 15.00 | 92.17 | 2.33 | 57.05 | 0.025 | ||
| 花生壳 Shells of Arachis hypogaea ( | 300 | 31.09 | 1.28 | 1.85 | 0.69 | — | |
| 400 | 25.00 | 3.32 | 1.54 | 0.867 | — | ||
| 500 | 15.18 | 13.88 | 1.85 | 6.04 | 0.003 | ||
| 600 | 8.50 | 90.79 | 1.61 | 37.66 | 0.027 | ||
| 水稻秸秆 Straws of Oryza sativa ( | 300 | 35.00 | 4.21 | 4.15 | 0.96 | — | |
| 400 | 24.00 | 9.14 | 13.99 | 2.21 | 0.001 | ||
| 500 | 15.01 | 13.13 | 13.38 | 1.29 | 0.001 | ||
| 600 | 15.00 | 12.28 | 14.00 | 1.18 | 0.001 | ||
| 水稻壳 Shells of Oryza sativa ( | 350 | 31.20 | 11.52 | 3.33 | — | — | |
| 450 | 29.60 | 89.39 | 2.45 | — | — | ||
| 550 | 26.70 | 207.24 | 2.63 | 96.34 | 0.042 | ||
| 650 | 24.60 | 250.96 | 2.67 | 122.27 | 0.054 | ||
| 毛竹枝条 Branches of Phyllostachys edulis ( | 400 | 32.10 | 50.66 | 2.82 | — | — | |
| 500 | 28.20 | 164.50 | 2.54 | 76.40 | 0.034 | ||
| 600 | 25.40 | 273.20 | 2.47 | 133.44 | 0.059 | ||
| 700 | 22.40 | 334.63 | 2.63 | 164.88 | 0.074 | ||
| 棉秆 Straws of Gossypium hirsutum ( | 400 | 28.70 | 125.60 | 1.90 | 56.30 | 0.024 | |
| 500 | 24.10 | 210.30 | 1.70 | 112.60 | 0.048 | ||
| 600 | 20.20 | 272.60 | 1.60 | 145.80 | 0.065 | ||
| 700 | 17.10 | 305.20 | 1.60 | 163.20 | 0.076 | ||
| 柳树枝条 Branches of Gossypium hirsutum ( | 400 | 32.80 | 221.50 | 2.60 | 112.30 | 0.049 | |
| 500 | 27.90 | 320.10 | 2.30 | 172.80 | 0.074 | ||
| 600 | 23.50 | 380.40 | 2.10 | 205.40 | 0.089 | ||
| 700 | 20.20 | 410.30 | 2.00 | 224.30 | 0.099 | ||
| 榛子枝条 Branches of Corylus heterophylla ( | 500 | 32.10 | 85.70 | 2.30 | — | — | |
| 600 | 28.70 | 156.80 | 2.60 | 46.90 | 0.018 | ||
| 700 | 25.30 | 234.50 | 2.90 | 98.40 | 0.041 | ||
| 800 | 22.10 | 276.30 | 3.20 | 120.70 | 0.051 | ||
| 松木枝条 Branches of Pinus ( | 400 | 48.21 | 126.27 | 2.76 | 14.19 | 0.058 | |
| 500 | 40.34 | 352.87 | 2.79 | 209.53 | 0.106 | ||
| 600 | 35.25 | 589.29 | — | — | — | ||
| 700 | 31.24 | 742.58 | 2.56 | 361.43 | 0.167 |
| 邓 玉, 佘艾伦, 张 莹, 等. 热解温度对玉米芯生物炭碳结构、灰分与吸附四环素的影响. 农业环境科学学报, 2019, 43 (5): 1131- 1142. | |
| Deng Y, She A L, Zhang Y, et al. Effects of pyrolysis temperatures on the morphological carbon structure, ash, and tetracycline adsorption of corncob biochar. Journal of Agro-Environment Science, 2019, 43 (5): 1131- 1142. | |
| 董 庆, 张书平, 张 理, 等. 竹材热解动力学特性分析. 过程工程学报, 2015, 15 (1): 89- 93. | |
| Dong Q, Zhang S P, Zhang L, et al. Study on pyrolysis kinetics of bamboo. The Chinese Journal of Process Engineering, 2015, 15 (1): 89- 93. | |
|
方 婧, 金 亮, 程磊磊, 等. 环境中生物质炭稳定性研究进展. 土壤学报, 2019, 56 (5): 1034- 1047.
doi: 10.11766/trxb201808220426 |
|
|
Fang J, Jin L, Cheng L L, et al. Advancement in research on stability of biochar in the environment. Acta Pedologica Sinica, 2019, 56 (5): 1034- 1047.
doi: 10.11766/trxb201808220426 |
|
| 付仲毅, 于晓娜, 张晓帆, 等. 不同温度花生壳生物炭孔隙特征及其差异. 土壤通报, 2018, 49 (3): 575- 581. | |
| Fu Z Y, Yu X N, Zhang X F, et al. Temperature effect on pore characteristics of peanut-shell-biochar. Chinese Journal of Soil Science, 2018, 49 (3): 575- 581. | |
| 金克霞, 王 坤, 崔贺帅, 等. 拉曼光谱在木质素研究中的应用进展. 林业科学, 2018, 54 (3): 144- 151. | |
| Jin K X, Wang K, Cui H S, et al. Application of Raman spectroscopy to the research on lignin. Scientia Silvae Sinicae, 2018, 54 (3): 144- 151. | |
|
兰 宇, 孟 军, 韩晓日, 等. 生物炭基产品及其对土壤培肥改良效应的研究进展. 植物营养与肥料学报, 2024, 30 (7): 1396- 1412.
doi: 10.11674/zwyf.2024276 |
|
|
Lan Y, Meng J, Han X R, et al. Advances in research on biochar-based products and their effects on soil fertility improvement. Journal of Plant Nutrition and Fertilizers, 2024, 30 (7): 1396- 1412.
doi: 10.11674/zwyf.2024276 |
|
| 李 燕. 生物炭制备及其性能研究进展. 化学工程与技术, 2020 (5): 384- 388. | |
| Li Y. Research progress of biochar preparation and performance. Hans Journal of Chemical Engineering and Technology, 2020 (5): 384- 388. | |
| 林贵英, 陈 伟, 刘文质, 等. 热解温度对稻壳生物炭特性的影响. 沈阳农业大学学报, 2017, 48 (4): 456- 461. | |
| Lin G Y, Chen W, Liu W Z, et al. Influence of pyrolysis temperature on physicochemical properties of biochar from rice husk. Journal of Shenyang Agricultural University, 2017, 48 (4): 456- 461. | |
|
李澍农, 张亚梅, 余养伦, 等. 水煮处理竹材的吸湿性和化学成分研究. 林业科学, 2022, 58 (1): 119- 126.
doi: 10.11707/j.1001-7488.20220113 |
|
|
Li S N, Zhang Y M, Yu Y L, et al. Study on the hygroscopicity and chemical compositions of boiling-treated moso bamboo. Scientia Silvae Sinicae, 2022, 58 (1): 119- 126.
doi: 10.11707/j.1001-7488.20220113 |
|
| 刘若纳, 杨伟鑫, 刘雅慧, 等. 果壳类生物质炭对水体中重金属吸附的研究进展. 水污染及处理, 2019 (3): 119- 130. | |
| Liu R N, Yang W X, Liu Y H, et al. Research progress on heavy metal adsorption by fruit-shell biomass in water. Water Pollution and Treatment, 2019 (3): 119- 130. | |
| 孟 艳, 沈亚文, 孟维伟, 等. 生物炭施用对农田土壤团聚体及有机碳影响的整合分析. 环境科学, 2023, 44 (12): 6847- 6856. | |
| Meng Y, Shen Y, Meng W, et al. Effect of biochar on agricultural soil aggregates and organic carbon: a meta-analysis. Environmental Science, 2023, 44 (12): 6847- 6856. | |
|
潘 玺, 李 康, 杨 忠. 基于卷积神经网络的近红外光谱与数字图像特征信息融合木材树种识别. 林业科学, 2024, 60 (12): 136- 145.
doi: 10.11707/j.1001-7488.LYKX20230357 |
|
|
Pan X, Li K, Yang Z. Wood species identification through fusion of NIR spectroscopy and digital image features information using convolutional neural networks. Scientia Silvae Sinicae, 2024, 60 (12): 136- 145.
doi: 10.11707/j.1001-7488.LYKX20230357 |
|
| 孙再庆, 符 菁, 徐晓云, 等. 生物炭稻田施用下的土壤固碳减排效应及其微生物群落结构分析. 农业与技术, 2021, 41 (12): 36- 43. | |
| Sun Z Q, Fu J, Xu X Y, et al. Effect of soil carbon fixation and emission reduction under biochar application in paddy field and analysis of microbial community structure. Agriculture and Technology, 2021, 41 (12): 36- 43. | |
| 汤斯奇, 王经臣, Jaehac Ko. 不同热解终温和保留时间下污泥生物质炭孔隙结构特征. 北京大学学报(自然科学版), 2017, 53 (5): 890- 898. | |
| Tang S Q, Wang J C, Ko J. Pore structure characteristics of sludge biochars during pyrolysis with various pyrolysis temperatures and holding times. Acta Scientiarum Naturalium Universitatis Pekinensis, 2017, 53 (5): 890- 898. | |
| 韦思业, 宋建中, 彭平安, 等. 不同温度制备生物炭的热解产物特征. 地球化学, 2019, 48 (5): 511- 520. | |
| Wei S Y, Song J Z, Peng P A, et al. Characterization of pyrolysis products in biochar prepared at different temperatures. Geochimica, 2019, 48 (5): 511- 520. | |
|
吴晓梅, 叶美锋, 吴飞龙, 等. 农林废弃物生物炭的制备及其吸附性能. 生物质化学工程, 2023, 57 (4): 27- 33.
doi: 10.3969/j.issn.1673-5854.2023.04.003 |
|
|
Wu X M, Ye M F, Wu F L, et al. Preparation and adsorptive ability of biochar carbon from agricultural and forestry wastes. Biomass Chemical Engineering, 2023, 57 (4): 27- 33.
doi: 10.3969/j.issn.1673-5854.2023.04.003 |
|
|
夏美玲, 王允圃, 张淑梅, 等. 油茶壳综合利用研究进展. 生物质化学工程, 2021, 55 (6): 26- 38.
doi: 10.3969/j.issn.1673-5854.2021.06.004 |
|
|
Xia M L, Wang Y P, Zhang S M, et al. Research progress on comprehensive utilization of Camellia oleifera abel shell. Biomass Chemical Engineering, 2021, 55 (6): 26- 38.
doi: 10.3969/j.issn.1673-5854.2021.06.004 |
|
| 邢莉彬, 成 洁, 耿增超, 等. 不同原料生物炭的理化特性及其作炭基肥缓释载体的潜力评价. 环境科学, 2022, 43 (5): 2770- 2778. | |
| Xing L B, Cheng J, Geng Z C, et al. Physicochemical properties of biochars prepared from different feedstocks and evaluation of its potential as a slow-release carriers for biochar-based fertilizers. Environmental Science, 2022, 43 (5): 2770- 2778. | |
|
叶协锋, 周涵君, 于晓娜, 等. 热解温度对玉米秸秆炭产率及理化特性的影响. 植物营养与肥料学报, 2017, 23 (5): 1268- 1275.
doi: 10.11674/zwyf.16467 |
|
|
Ye X F, Zhou H J, Yu X N, et al. Physiochemical properties and yields of corn-stalk-biochar under different pyrolyzed temperatures. Journal of Plant Nutrition and Fertilizer, 2017, 23 (5): 1268- 1275.
doi: 10.11674/zwyf.16467 |
|
|
袁 帅, 赵立欣, 孟海波, 等. 生物炭主要类型、理化性质及其研究展望. 植物营养与肥料学报, 2016, 22 (5): 1402- 1417.
doi: 10.11674/zwyf.14539 |
|
|
Yuan S, Zhao L X, Meng H B, et al. The main types of biochar and their properties and expectative researches. Journal of Plant Nutrition and Fertilizer, 2016, 22 (5): 1402- 1417.
doi: 10.11674/zwyf.14539 |
|
|
Angın D, Altintig E, Köse T E. Influence of process parameters on the surface and chemical properties of activated carbon obtained from biochar by chemical activation. Bioresource Technology, 2013, 148, 542- 549.
doi: 10.1016/j.biortech.2013.08.164 |
|
| Chen L Y, Li D P, Huang Y, et al. Preparation of sludge-based hydrochar at different temperatures and adsorption of BPA. Water Science and Technology, 2020, 82 (2): 255- 265. | |
|
Chen W F, Meng J, Han X R, et al. Past, present, and future of biochar. Biochar, 2019a, 1 (1): 75- 87.
doi: 10.1007/s42773-019-00008-3 |
|
|
Chen W F, Wei R, Yang L M, et al. Characteristics of wood-derived biochars produced at different temperatures before and after deashing: Their different potential advantages in environmental applications. Science of The Total Environment, 2019b, 651, 2762- 2771.
doi: 10.1016/j.scitotenv.2018.10.141 |
|
|
Cheng X, Jiang Y C, Sun K, et al. Syngenetic effects in co-activation of willow wood with homogenous biochar facilitate pore generation in activation. Journal of Analytical and Applied Pyrolysis, 2024, 182, 106717.
doi: 10.1016/j.jaap.2024.106717 |
|
|
Guizani C, Haddad K, Limousy L, et al. New insights on the structural evolution of biomass char upon pyrolysis as revealed by the Raman spectroscopy and elemental analysis. Carbon, 2017, 119, 519- 521.
doi: 10.1016/j.carbon.2017.04.078 |
|
| Kan X R D, Zhang Z Y, Pu J W, et al. Research progress in preparation and application of biological carbon. Academic Journal of Environment & Earth Science, 2023, 5 (1): 56- 61. | |
|
Khan M N, Huang J, Shah A, et al. Mitigation of greenhouse gas emissions from a red acidic soil by using magnesium-modified wheat straw biochar. Environmental Research, 2022, 203, 111879.
doi: 10.1016/j.envres.2021.111879 |
|
|
Lang L X, Chen Y B, Liu Y, et al. Changes in spatial patterns of biomass energy potential from biowaste in China from 2000 to 2020. Frontiers in Energy Research, 2023, 11, 1109530.
doi: 10.3389/fenrg.2023.1109530 |
|
|
Li S M, Chen G. Thermogravimetric, thermochemical, and infrared spectral characterization of feedstocks and biochar derived at different pyrolysis temperatures. Waste Management, 2018, 78, 198- 207.
doi: 10.1016/j.wasman.2018.05.048 |
|
|
Liu Z H, Tang J C, Ren X W, et al. Effects of phosphorus modified nZVI-biochar composite on emission of greenhouse gases and changes of microbial community in soil. Environmental Pollution, 2021, 274, 116483.
doi: 10.1016/j.envpol.2021.116483 |
|
|
Qiu B B, Shao Q N, Shi J C, et al. Application of biochar for the adsorption of organic pollutants from wastewater: Modification strategies, mechanisms and challenges. Separation and Purification Technology, 2022, 300, 121925.
doi: 10.1016/j.seppur.2022.121925 |
|
|
Ramírez V, Martí-Herrero J, Romero M, et al. Energy use of Jatropha oil extraction wastes: Pellets from biochar and Jatropha shell blends. Journal of Cleaner Production, 2019, 215, 1095- 1102.
doi: 10.1016/j.jclepro.2019.01.132 |
|
|
Sakhiya A K, Anand A, Kaushal P. Production, activation, and applications of biochar in recent times. Biochar, 2020, 2 (3): 253- 285.
doi: 10.1007/s42773-020-00047-1 |
|
|
Shin J, Park D, Hong S, et al. Influence of activated biochar pellet fertilizer application on greenhouse gas emissions and carbon sequestration in rice (Oryza sativa L. ) production. Environmental Pollution, 2021, 285, 117457.
doi: 10.1016/j.envpol.2021.117457 |
|
|
Xi B Y, Clothier B, Coleman M, et al. Irrigation management in poplar (Populus spp. ) plantations: a review. Forest Ecology and Management, 2021, 494, 119330.
doi: 10.1016/j.foreco.2021.119330 |
|
|
Yang X, Liu J J, McGrouther K, et al. Effect of biochar on the extractability of heavy metals (Cd, Cu, Pb, and Zn) and enzyme activity in soil. Environmental Science and Pollution Research International, 2016, 23 (2): 974- 984.
doi: 10.1007/s11356-015-4233-0 |
|
|
Yuan X W, Zhang X J, Lv H J, et al. Co-pyrolysis of cotton stalks and low-density polyethylene to synthesize biochar and its application in Pb(II) removal. Molecules, 2022, 27 (15): 4868.
doi: 10.3390/molecules27154868 |
|
|
Zhang C T, Chao L, Zhang Z M, et al. Pyrolysis of cellulose: Evolution of functionalities and structure of bio-char versus temperature. Renewable and Sustainable Energy Reviews, 2021a, 135, 110416.
doi: 10.1016/j.rser.2020.110416 |
|
|
Zhang Y, Wang H, Sun X, et al. Separation and characterization of biomass components (cellulose, hemicellulose, and lignin) from corn stalk. BioResources, 2021b, 16 (4): 7205- 7219.
doi: 10.15376/biores.16.4.7205-7219 |
| [1] | 郑志伟,马铭,刘勇,王佳茜,朱雨帆,李国雷. 土壤镉污染状态下不同生物炭添加比例对栓皮栎和白蜡生长生理的影响[J]. 林业科学, 2025, 61(11): 14-23. |
| [2] | 赵蕊蕊,刘勇,王凯. 生物炭和有机肥对毛白杨人工林地木质分解及土壤养分循环相关酶活性的影响[J]. 林业科学, 2023, 59(11): 1-11. |
| [3] | 张燕林,黄彩凤,包明琢,周垂帆,何宗明. 生物炭及其老化对杉木林土壤养分含量和微生物群落组成影响的室内模拟[J]. 林业科学, 2021, 57(6): 169-179. |
| [4] | 胡华英, 张虹, 曹升, 殷丹阳, 周垂帆, 何宗明. 杉木人工林土壤施用生物炭对细菌群落结构及多样性的影响[J]. 林业科学, 2019, 55(8): 184-193. |
| [5] | 何辉, 楼雄珍, 林二培, 俞友明, 童再康, 黄华宏. 光皮桦应拉木的显微特征及其形成早期内源激素分布[J]. 林业科学, 2016, 52(10): 38-44. |
| [6] | 杨锦昌;尹光天;吴仲民;李荣生;邹文涛;施国政. 海南尖峰岭油楠树脂油的主要理化特性[J]. 林业科学, 2011, 47(9): 21-27. |
| [7] | 刘正祥 张华新 刘涛. 省沽油种子油脂分析与功能特性评价*[J]. 林业科学, 2008, 44(2): 48-54. |
| 阅读次数 | ||||||
|
全文 |
|
|||||
|
摘要 |
|
|||||