林业科学 ›› 2025, Vol. 61 ›› Issue (10): 221-235.doi: 10.11707/j.1001-7488.LYKX20240487
• 研究论文 • 上一篇
收稿日期:2024-08-13
出版日期:2025-10-25
发布日期:2025-11-05
通讯作者:
田雨辰
E-mail:yuchen000611@163.com
基金资助:
Hongge Zhu,Yuchen Tian*(
),Wen Ying,Yutong Zhang
Received:2024-08-13
Online:2025-10-25
Published:2025-11-05
Contact:
Yuchen Tian
E-mail:yuchen000611@163.com
摘要:
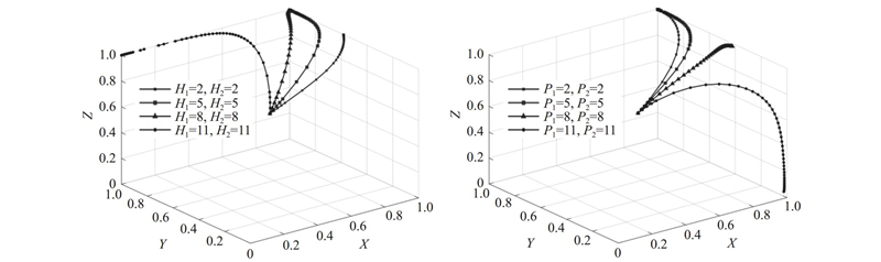
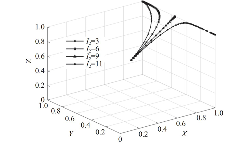
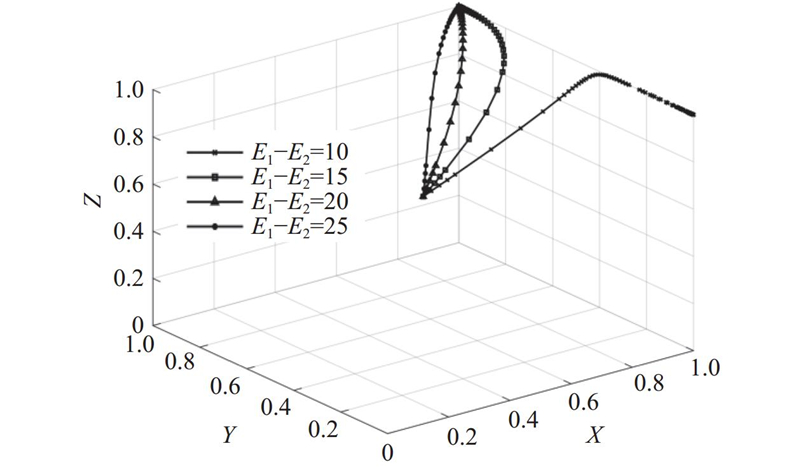
目的: 森林旅游是重点国有林区引导资源环境可承载特色产业发展的重要手段,兼顾环境保护与经济增长双重目标。分析相关利益主体的动态博弈过程、均衡状态以及最优策略选择和发展模式,探究促进利益主体共谋森林旅游发展的协作机制,为实现重点国有林区整体性保护和资源环境可承载特色产业发展提供理论支持。方法: 通过演化博弈和数值仿真,分析地方政府、文旅企业、森工集团的策略选择与敏感性变化,探讨激励三方共谋森林旅游发展的协作机制。结果: 1) 森林旅游发展的期望均衡与外部资金支持、动态奖补、森林资源有偿使用费及三方主体的成本和收益密切相关。2) 地方政府的动态奖补是促使其他两方积极合作和保护开发的关键,奖励金额需谨慎设定,不能过低以免失去激励效果,也不宜过高以防增加地方财政负担;文旅企业对成本、收益和森林资源有偿使用费的变动敏感性更强,符合市场主体“逐利”特质;森工集团的策略选择主要受成本差影响。3) 需要建立中央财政支持和引导社会资本介入的外部驱动机制,实现对现有主体的统筹管理和压力舒缓。配合由合理的森林资源有偿使用制度和地方政府动态奖补制度构成的内部协调机制,增强协作的公平性和积极性,促进森林旅游可持续发展。结论: 1) 地方政府作为森林旅游发展的政策制定者,注重整体产业发展效益;文旅企业作为市场主体,对自身成本收益有着高度敏感性;森工集团作为森林资源经营主体,注重长期资源保护和可持续发展。2) 推动森林旅游发展达到优势协同模式,应确保地方政府处于资金充沛状态、文旅企业处于优化合作增益状态、森工集团处于服务优化净收益增益状态。3) 构建外部驱动与内部协调相结合的协作机制,能够缓解森林旅游发展的利益主体矛盾,促进主体合作。
中图分类号:
朱洪革,田雨辰,应闻,张宇彤. 重点国有林区森林旅游发展的演化博弈与协作机制[J]. 林业科学, 2025, 61(10): 221-235.
Hongge Zhu,Yuchen Tian,Wen Ying,Yutong Zhang. Evolutionary Game and Cooperation Mechanism of Forest Tourism Development in Key State-Owned Forest Areas[J]. Scientia Silvae Sinicae, 2025, 61(10): 221-235.
表1
地方政府、文旅企业和森工集团三方演化博弈的收益组合"
| 博弈主体 Game subject | 文旅企业 Tourism enterprise | 森工集团Forest industry enterprise | ||
| 保护性开发模式 Protective development model | 传统旅游开发模式 Traditional tourism development model | |||
| 地方政府 Local government | 高力度支持 High strength support | 积极合作 Active cooperation | ||
| 消极合作 Negative cooperation | ||||
| 低力度支持 Low strength support | 积极合作 Active cooperation | |||
| 消极合作 Negative cooperation | ||||
表2
均衡点稳定性分析①"
| 均衡点 Equilibrium point | 特征值 Eigenvalue | 实部符号 Real part symbol | 稳定性 Stability | 条件 Condition |
| (+, +, u) | 不稳定点Unstable point | — | ||
| (u, u, +) | 不稳定点Unstable point | — | ||
| (?, +, u) | 不稳定点Unstable point | — | ||
| (u, u, u) | ESS | Ⅰ | ||
| (?, u, +) | 不稳定点Unstable point | — | ||
| (u, u, u) | 演化稳定点 Evolutionarily stable strategy | Ⅱ | ||
| (?, u, u) | 演化稳定点 Evolutionarily stable strategy | Ⅲ | ||
| (u, u, u) | 演化稳定点 Evolutionarily stable strategy | Ⅳ |
| 安 然, 陈 钦, 黄秀娟. 中国森林资源旅游利用效率研究: 以30个省份的森林公园为例. 林业经济, 2023, 45 (6): 45- 61. | |
| An R, Chen Q, Huang X J. Study on tourism utilization efficiency of forest resources in China: taking forest parks in 30 provinces as example. Forestry Economics, 2023, 45 (6): 45- 61. | |
| 曹路苹, 丁小洲, 郭 韬. 数字经济背景下科技型在位企业商业模式演化策略研究. 运筹与管理, 2023, 32 (11): 40- 47. | |
| Cao L P, Ding X Z, Guo T. Research on the business model evolution strategy of high-tech incumbent enterprises under the background of digital economy. Operations Research and Management Science, 2023, 32 (11): 40- 47. | |
| 陈丽军. 质量强国背景下森林生态旅游服务质量评价研究: 以大别山国家森林公园为例. 生态经济, 2022, 38 (12): 118- 126. | |
| Chen L J. Research on service quality evaluation of forest ecotourism under the background of superpower in quality: taking Dabieshan National Forest Park as an example. Ecological Economy, 2022, 38 (12): 118- 126. | |
| 成林辑, 朱洪革, 刘本双. 重点国有林区多维相对贫困测度研究. 林业经济问题, 2023, 43 (1): 19- 25. | |
| Cheng L J, Zhu H G, Liu B S. Study on the measurement of multidimensional relative poverty in the key state-owned forest regions. Issues of Forestry Economics, 2023, 43 (1): 19- 25. | |
| 董志强. 制度及其演化的一般理论. 管理世界, 2008, (5): 151- 165. | |
| Dong Z Q. General theories of systems and their evolutions. Management World, 2008, (5): 151- 165. | |
| 房建磊, 赵希勇. 重点国有林区旅游目的地建设关键要素分析. 林业经济问题, 2019, 39 (5): 499- 504. | |
| Fang J L, Zhao X Y. Analysis on key elements of tourism destination construction in key state-owned forest areas. Issues of Forestry Economics, 2019, 39 (5): 499- 504. | |
|
费 巍. 历史文化名镇名村生态旅游开发利益相关者博弈行为研究. 生态经济, 2015, 31 (6): 143- 146.
doi: 10.3969/j.issn.1671-4407.2015.06.031 |
|
|
Fei W. Investigation on game behaviors of stakeholders in ecotourism exploitation of famous historical and cultural towns and villages. Ecological Economy, 2015, 31 (6): 143- 146.
doi: 10.3969/j.issn.1671-4407.2015.06.031 |
|
| 洪启颖. 福州市森林公园旅游经济发展与生态环境耦合协调度分析. 林业经济, 2019, 41 (1): 76- 80. | |
| Hong Q Y. Analysis on coupling coordination between tourism-economic development and eco-environment of the forest parks in Fuzhou city. Forestry Economics, 2019, 41 (1): 76- 80. | |
| 李华强, 邹安琼, 姚 沁. 乡村旅游开发中利益相关者行为的演化博弈分析. 农村经济, 2020, (2): 83- 88. | |
| Li H Q, Zou A Q, Yao Q. Evolutionary game analysis of stakeholders’ behavior in rural tourism development. Rural Economy, 2020, (2): 83- 88. | |
| 李纪琛, 刘海建, 吕清轩. 基于政府干预的创业投资生态系统三方演化博弈研究. 软科学, 2022, 36 (8): 48- 56. | |
| Li J C, Liu H J, Lü Q X. A tripartite evolutionary game analysis of venture capital ecosystem based on government intervention. Soft Science, 2022, 36 (8): 48- 56. | |
| 罗成书, 周世锋. 以“两山” 理论指导国家重点生态功能区转型发展. 宏观经济管理, 2017, (7): 62- 65. | |
| Luo C S, Zhou S F. Guiding the transformation and development of national key ecological function area with the theory of“Two Mountains”. Macroeconomic Management, 2017, (7): 62- 65. | |
|
麻学锋, 赵 洁. 山区旅游资源开发的共同富裕效应与模式: 以湘西地区为例. 自然资源学报, 2024, 39 (4): 749- 767.
doi: 10.31497/zrzyxb.20240401 |
|
|
Ma X F, Zhao J. The common prosperity effect and model of mountain tourism resource development: taking the western Hunan area as an example. Journal of Natural Resources, 2024, 39 (4): 749- 767.
doi: 10.31497/zrzyxb.20240401 |
|
| 马本江, 蒋学海. 三群体2×2×2非对称演化博弈稳定性分析. 运筹与管理, 2022, 31 (1): 38- 45. | |
| Ma B J, Jiang X H. Stability analysis of tripartite 2×2×2 asymmetric evolutionary game. Operations Research and Management Science, 2022, 31 (1): 38- 45. | |
| 乔 丹, 袁婉潼, 纪 元, 等. 重点国有林区政企分开的机制与困境. 林业经济问题, 2023, 43 (4): 443- 448. | |
| Qiao D, Yuan W T, Ji Y, et al. The Mechanisms and dilemmas of separating the government from enterprises in the key state-owned forestry areas. Issues of Forestry Economics, 2023, 43 (4): 443- 448. | |
|
孙九霞, 张凌媛, 罗意林. 共同富裕目标下中国乡村旅游资源开发: 现状、问题与发展路径. 自然资源学报, 2023, 38 (2): 318- 334.
doi: 10.31497/zrzyxb.20230204 |
|
|
Sun J X, Zhang L Y, Luo Y L. Development of rural tourism resources in China under the goal of common prosperity: current situation, problems and the development path. Journal of Natural Resources, 2023, 38 (2): 318- 334.
doi: 10.31497/zrzyxb.20230204 |
|
| 王珍珍, 陈功玉. 制造业与物流业联动发展的演化博弈分析. 中国经济问题, 2012, (2): 86- 97. | |
| Wang Z Z, Chen G Y. Analysis on the evolutionary game of interactive development between manufacturing and logistics industry. Economic Issues in China, 2012, (2): 86- 97. | |
| 文连阳. 湘西森林旅游区域生态服务功能与价值估算. 中南林业科技大学学报, 2024, 44 (8): 180- 188. | |
| Wen L Y. Ecological services function and value evaluation on pan-western-Hunan forest tourism region. Journal of Central South University of Forestry & Technology, 2024, 44 (8): 180- 188. | |
| 袁婉潼, 乔 丹, 柯水发, 等. 资源机会成本视角下如何健全生态补偿机制: 以国有林区停伐补偿中的福利倒挂问题为例. 中国农村观察, 2022, (2): 59- 78. | |
| Yuan W T, Qiao D, Ke S F, et al. How to improve ecological compensation mechanism from the perspective of resource opportunity cost: a case study based on “welfare upside down” of forest resources compensation in state-owned forest areas. China Rural Survey, 2022, (2): 59- 78. | |
| 原 驰, 于洪雷, 杨德礼. 基于强互惠理论的企业合作创新行为演化研究. 运筹与管理, 2017, 26 (11): 169- 175. | |
| Yuan C, Yu H L, Yang D L. Research on the evolution of enterprise cooperative innovation behavior with strong reciprocity theory. Operations Research and Management Science, 2017, 26 (11): 169- 175. | |
| 翟绪军, 臧佳微, 张 琦. 伊春国有林区森林旅游产业发展新模式研究: 基于林业供给侧改革. 林业经济, 2018, 40 (1): 66- 70. | |
| Zhai X J, Zang J W, Zhang Q. Research on the new development mode of forest tourism industry in Yichun’s state-owned forest region: based on forestry supply-side reform. Forestry Economics, 2018, 40 (1): 66- 70. | |
| 张 滨. 2020. 基于森林转型的黑龙江省重点国有林区林业经济转型特征演化与效应解析. 哈尔滨: 东北林业大学. | |
| Zhang B. 2020. Evolution and effect analysis of forestry economic transformation characteristics in key state-owned forest areas of Heilongjiang Province based on forest transformation. Harbin: Northeast Forestry University. [in Chinese] | |
|
张彩红, 薛 伟, 辛 颖. 玉舍国家森林公园康养旅游可持续发展因素分析. 浙江农林大学学报, 2020, 37 (4): 769- 777.
doi: 10.11833/j.issn.2095-0756.20190463 |
|
|
Zhang C H, Xue W, Xin Y. On sustainable development of health and wellness tourism in Yushe National Forest Park based on SWOT-AHP model. Journal of Zhejiang A & F University, 2020, 37 (4): 769- 777.
doi: 10.11833/j.issn.2095-0756.20190463 |
|
|
张广海, 董跃蕾, 刘二恋. 新时代旅游资源协同开发对共同富裕影响的组态路径分析. 自然资源学报, 2024, 39 (2): 259- 273.
doi: 10.31497/zrzyxb.20240202 |
|
|
Zhang G H, Dong Y L, Liu E L. Configuration path analysis of tourism resources collaborative development on common prosperity in the new era. Journal of Natural Resources, 2024, 39 (2): 259- 273.
doi: 10.31497/zrzyxb.20240202 |
|
| 朱洪革, 井 月. 重点国有林区贫困: 测度、特征及影响因素. 中国农村经济, 2013, (1): 76- 86. | |
| Zhu H G, Jing Y. Poverty in key state-owned forest areas: measurement, characteristics and influencing factors. Chinese Rural Economy, 2013, (1): 76- 86. | |
| 朱 丽, 方法林. 森林生态旅游推动林业经济可持续发展探析. 林产工业, 2021, 58 (1): 77- 79. | |
| Zhu L, Fang F L. Forest ecotourism promoting sustainable development of forestry economy. China Forest Products Industry, 2021, 58 (1): 77- 79. | |
| 朱震锋, 李梦冉, 刘 沓, 等. 林业职工家庭资产配置优化: 赋能重点国有林区共同富裕. 林业经济问题, 2023, 43 (4): 369- 375. | |
| Zhu Z F, Li M R, Liu T, et al. The optimization of household assets allocation of forestry workers: the logical mechanism and path of enabling the key state-owned forest regions to achieve common prosperity. Issues of Forestry Economics, 2023, 43 (4): 369- 375. | |
| 邹玉友, 韩 苗, 孔蓝蓝, 等. 重点国有林区社会治理能力影响因素评估与提升路径分析. 农林经济管理学报, 2023, 22 (4): 516- 526. | |
| Zou Y Y, Han M, Kong L L, et al. Research on the assessment and improvement path of social governance capacity in key state-owned forest areas. Journal of Agro-Forestry Economics and Management, 2023, 22 (4): 516- 526. | |
|
Akyol A. Contributions of local guidance practices to the natural environment, protected areas and local people. Applied Ecology and Environmental Research, 2017, 15 (3): 1079- 1096.
doi: 10.15666/aeer/1503_10791096 |
|
|
Alós-Ferrer C, Ania A B. The evolutionary stability of perfectly competitive behavior. Economic Theory, 2005, 26 (3): 497- 516.
doi: 10.1007/s00199-004-0474-8 |
|
|
Friedman D. On economic applications of evolutionary game theory. Journal of Evolutionary Economics, 1998, 8 (1): 15- 43.
doi: 10.1007/s001910050054 |
|
|
Hofbauer J, Sigmund K. Evolutionary game dynamics. Bulletin of the American Mathematical Society, 2003, 40, 479.
doi: 10.1090/S0273-0979-03-00988-1 |
|
| Lambertini L. 2011. Game theory in the social sciences. London: Routledge, 11−16. | |
|
Lyapunov A M. The general problem of the stability of motion. International Journal of Control, 1992, 55 (3): 531- 534.
doi: 10.1080/00207179208934253 |
|
| Taylor P D, Jonker L B. Evolutionary stable strategies and game dynamics. Mathematical Biosciences, 1978, 40 (1/2): 145- 156. |
| [1] | 张少鹏,付瑶,朱洪革,赵梦涵. 天然林资源保护政策对重点国有林区林业新质生产力的影响——基于林业绿色全要素生产率视角[J]. 林业科学, 2025, 61(6): 183-195. |
| [2] | 黄显乔,李敬烨,吴家欣,任月,曹玉昆. 提高森林生态产品价值实现效率的林业高质量发展评估——以东北、内蒙古重点国有林区为例[J]. 林业科学, 2025, 61(6): 209-223. |
| [3] | 余红红,杨加猛. 基于三方演化博弈的森林横向生态补偿策略及其稳定性——以重庆市为例[J]. 林业科学, 2025, 61(3): 214-232. |
| [4] | 黄元, 杨洁, 秦悦婷, 石亚男, 温亚利. 森林旅游背景下游客的生态公益林保护行为意愿[J]. 林业科学, 2021, 57(10): 145-156. |
| [5] | 王慧, 张海鹏, 徐晋涛. 重点国有林区改革对林区就业的影响分析[J]. 林业科学, 2016, 52(4): 83-90. |
| [6] | 赵敏燕, 陈鑫峰. 中国森林公园的发展与管理[J]. 林业科学, 2016, 52(1): 118-127. |
| [7] | 刘延春 施莹. 吉林省重点国有林区森林采伐经营技术发展历程解析[J]. 林业科学, 2008, 44(6): 180-180. |
| [8] | 王毅昌 蒋敏元. 东北、内蒙古重点国有林区管理体制改革探求[J]. 林业科学, 2005, 41(5): 163-168. |
| 阅读次数 | ||||||
|
全文 |
|
|||||
|
摘要 |
|
|||||