林业科学 ›› 2022, Vol. 58 ›› Issue (4): 128-140.doi: 10.11707/j.1001-7488.20220414
黄绍娴1,王宏翔1,*,彭辉2,王耀仪1,李远发1,叶绍明1
收稿日期:2021-06-28
出版日期:2022-04-25
发布日期:2022-07-20
通讯作者:
王宏翔
基金资助:Shaoxian Huang1,Hongxiang Wang1,*,Hui Peng2,Yaoyi Wang1,Yuanfa Li1,Shaoming Ye1
Received:2021-06-28
Online:2022-04-25
Published:2022-07-20
Contact:
Hongxiang Wang
摘要:
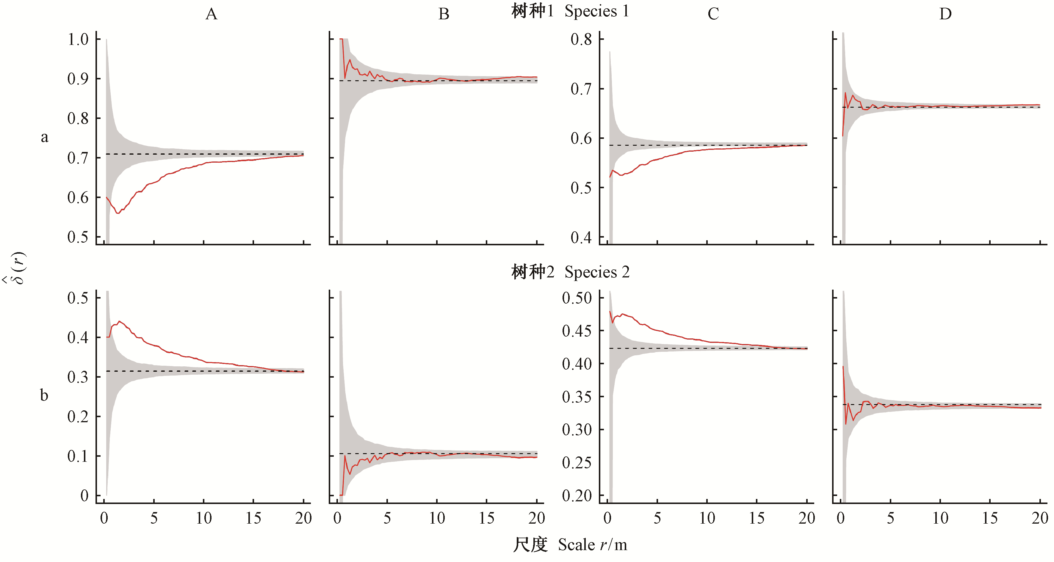
目的: 详细刻画和分析树种空间优势度, 为关键树种保护和森林群落物种多样性维持提供理论依据。方法: 基于林木空间优势度指数(大小比数和双曲正切指数)构造标记二阶特征函数, 通过模拟数据检验标记二阶特征函数的有效性以及同种空间聚集对树种空间优势度的影响, 在此基础上以雅长自然保护区1.6 hm2实测样地为研究对象, 详细分析样地中主要树种空间优势度在不同空间尺度上的变化, 探究树种空间优势度与树种混交之间的关系。结果: 1) 研究森林群落属老龄林, 结构多样性丰富, 共记录木本植物35科61属86种, 断面积49.81 m2·hm-2。群落中不同树种具有不同胸径分布范围, 其中以较大径级树种如多花杜鹃、枫香树等为主要建群种, 较小径级树种如细齿柃、榕叶冬青等个体数量较多, 在林分中占有一定地位, 不同树种的大小比数和双曲正切指数表明, 树种平均胸径与其优势度存在显著正相关关系。2)群落中主要树种在小尺度范围内均存在吸引相似大小林木的趋势, 较大径级树种空间优势度低于期望值和零模型模拟的随机区间, 较小径级树种空间优势度显著高于期望值, 随着尺度距离增加, 树种空间优势度趋于期望值。3)同种空间聚集可增加或减小树种空间优势度, 对枫香等大径级树种而言, 同种聚集导致其空间优势度降低, 而对榕叶冬青等小径级树种则相反。结论: 标记大小比数和双曲正切指数二阶特征函数能够精细刻画不同空间尺度上树种空间优势度; 树种间"空间隔离"效应可减轻优势树种对劣势树种的竞争排除作用, 有利于维持物种共存, 提高森林群落物种多样性。
中图分类号:
黄绍娴,王宏翔,彭辉,王耀仪,李远发,叶绍明. 雅长保护区老龄林树种空间优势度二阶特征分析[J]. 林业科学, 2022, 58(4): 128-140.
Shaoxian Huang,Hongxiang Wang,Hui Peng,Yaoyi Wang,Yuanfa Li,Shaoming Ye. Analysis of Second-Order Characteristics of Tree Species Dominance in an Old Growth Forest Community in Yachang Nature Reserve[J]. Scientia Silvae Sinicae, 2022, 58(4): 128-140.
表1
模拟样地概况"
| 树种 Species | 株数 Number | 平均胸径 Mean DBH/cm | | | 实际空间优势度 Actual spatial dominance | 只关注异种邻体的空间优势度 Only heterospecific neighbors are considered | |||
| Uexpected | Sexpected | Uexpected | Sexpected | ||||||
| 树种1 Species 1 | 322 | 33.4 | 0.62 | 0.71 | 0.71 | 0.89 | 0.59 | 0.66 | |
| 树种2 Species 2 | 362 | 23.2 | 0.39 | 0.56 | 0.31 | 0.11 | 0.42 | 0.34 | |
表2
实测样地内种群组成的数量特征"
| 树种 Species | 株数 Number | 平均胸径 Mean DBH/cm | 相对频度 Relative frequency(%) | 相对优势度 Relative dominance(%) | 重要值 Importance value(%) | | |
| 多花杜鹃Rhododendron cavaleriei | 1 251 | 12.5 | 3.58 | 24.73 | 14.16 | 0.69 | 0.61 |
| 枫香树Liquidambar formosana | 196 | 30.5 | 3.05 | 24.58 | 13.81 | 0.86 | 0.82 |
| 凹脉柃Eurya impressinervis | 1 118 | 7.8 | 3.58 | 9.89 | 6.74 | 0.62 | 0.42 |
| 银木荷Schima argentea | 104 | 21.2 | 2.24 | 8.80 | 5.52 | 0.69 | 0.55 |
| 贵州桤叶树Clethra kaipoensis | 99 | 23.4 | 3.05 | 5.93 | 4.49 | 0.92 | 0.86 |
| 榕叶冬青Ilex ficoidea | 1 344 | 2.4 | 3.58 | 2.18 | 2.88 | 0.34 | 0.08 |
| 木莲Manglietia fordiana | 242 | 5.2 | 3.58 | 1.63 | 2.61 | 0.43 | 0.22 |
| 红楠Machilus thunbergii | 61 | 18.1 | 2.15 | 2.63 | 2.39 | 0.80 | 0.70 |
| 黄丹木姜子Litsea elongata | 617 | 3.3 | 3.58 | 1.06 | 2.32 | 0.38 | 0.15 |
| 中华石楠Photinia beauverdiana | 127 | 8.3 | 2.96 | 1.65 | 2.31 | 0.55 | 0.37 |
| 细齿柃Eurya nitida | 2 085 | 2.0 | 3.58 | 1.02 | 2.30 | 0.31 | 0.06 |
| 蔡军奇, 王品, 刘大鹏, 等. 辽东山区次生林乔木优势树种幼苗更新动态. 应用生态学报, 2019, 30 (10): 3356- 3366. | |
| Cai J Q , Wang P , Liu D P , et al. Seedlings regenerative dynamics of dominant trees in a secondary forest in montane region of eastern Liaoning Province, China. Chinese Journal of Applied Ecology, 2019, 30 (10): 3356- 3366. | |
|
和太平, 彭定人, 黎德丘, 等. 广西雅长自然保护区兰科植物多样性研究. 广西植物, 2007, 27 (4): 590- 595.590-595, 580
doi: 10.3969/j.issn.1000-3142.2007.04.012 |
|
|
He T P , Peng D R , Li D Q , et al. Study on the orchid diversity of Yachang Nature Reserve in Guangxi. Guihaia, 2007, 27 (4): 590- 595.590-595, 580
doi: 10.3969/j.issn.1000-3142.2007.04.012 |
|
| 惠刚盈. 基于相邻木关系的林分空间结构参数应用研究. 北京林业大学学报, 2013, 35 (4): 1- 9. | |
| Hui G Y . Studies on the application of stand spatial structure parameters based on the relationship of neighborhood trees. Journal of Beijing Forestry University, 2013, 35 (4): 1- 9. | |
|
惠刚盈, Klausvon Gadow, MatthiasAlbert. 一个新的林分空间结构参数——大小比数. 林业科学研究, 1999, 12 (1): 1- 6.
doi: 10.3321/j.issn:1001-1498.1999.01.001 |
|
|
Hui G Y , Gadow K , Albert M . A new parameter for stand spatial structure neighbourhood comparison. Forest Research, 1999, 12 (1): 1- 6.
doi: 10.3321/j.issn:1001-1498.1999.01.001 |
|
|
惠刚盈, 胡艳波, 刘瑞红. 森林观察研究中的林分空间优势度分析方法. 温带林业研究, 2019, 2 (1): 1- 6.1-6, 12
doi: 10.3969/j.issn.2096-4900.2019.01.001 |
|
|
Hui G Y , Hu Y B , Liu R H . Methods of analyzing stand spatial dominance in forest observational studies. Journal of Temperate Forestry Research, 2019, 2 (1): 1- 6.1-6, 12
doi: 10.3969/j.issn.2096-4900.2019.01.001 |
|
| 惠刚盈, 胡艳波, 赵中华. 结构化森林经营研究进展. 林业科学研究, 2018, 31 (1): 85- 93. | |
| Hui G Y , Hu Y B , Zhao Z H . Research progress of structure-based forest management. Forest Research, 2018, 31 (1): 85- 93. | |
| 景小荣, 陈怡西, 陈前斌. 基于Matern簇过程的NOMA-HetNet覆盖概率分析. 通信学报, 2020, 41 (9): 147- 159. | |
| Jing X R , Chen Y X , Chen Q B . Analysis of coverage probability in NOMA-HetNet based on Matern cluster process. Journal on Communications, 2020, 41 (9): 147- 159. | |
|
雷相东, 唐守正. 林分结构多样性指标研究综述. 林业科学, 2002, 38 (3): 140- 146.
doi: 10.3321/j.issn:1001-7488.2002.03.025 |
|
|
Lei X D , Tang S Z . Indicators on structural diversity within-stand: a review. Scientia Silvae Sinicae, 2002, 38 (3): 140- 146.
doi: 10.3321/j.issn:1001-7488.2002.03.025 |
|
| 李爱农, 尹高飞, 张正健, 等. 基于站点的生物多样性星空地一体化遥感监测. 生物多样性, 2018, 26 (8): 819- 827. | |
| Li A N , Yin G F , Zhang Z J , et al. Space-air-field integrated biodiversity monitoring based on experimental station. Biodiversity Science, 2018, 26 (8): 819- 827. | |
| 李述万. 2017. 广西雅长兰科植物国家级自然保护区维管束植物物种多样性研究. 桂林: 广西师范大学. | |
| Li S W. 2017. Studies on Species diversity of vascular plants in Yachang Orchid national nature reserve of Guangxi. Guilin: Guangxi Normal University. [in Chinese] | |
|
刘宪钊, 陆元昌, 刘刚, 等. 基于层次分析法的多指标树种优势度的比较分析. 东北林业大学学报, 2009, 37 (7): 39- 41.
doi: 10.3969/j.issn.1000-5382.2009.07.014 |
|
|
Liu X Z , Lu Y C , Liu G , et al. Multi-index species dominance based on analytic hierarchy process. Journal of Northeast Forestry University, 2009, 37 (7): 39- 41.
doi: 10.3969/j.issn.1000-5382.2009.07.014 |
|
| 马姜明, 刘世荣, 史作民, 等. 川西亚高山暗针叶林恢复过程中群落物种组成和多样性的变化. 林业科学, 2007, 43 (5): 17- 23. | |
| Ma J M , Liu S R , Shi Z M , et al. Changes of species composition and diversity in the restoration process of sub-alpine dark brown coniferous forests in western Sichuan, China. Scientia Silvae Sinicae, 2007, 43 (5): 17- 23. | |
|
马克平, 钱迎倩. 生物多样性保护及其研究进展. 应用与环境生物学报, 1998, 4 (1): 95- 99.
doi: 10.3321/j.issn:1006-687X.1998.01.023 |
|
|
Ma K P , Qian Y Q . Biodiversity conservation and its research progress. Chinese Journal of Applied and Environmental Biology, 1998, 4 (1): 95- 99.
doi: 10.3321/j.issn:1006-687X.1998.01.023 |
|
| 毛沂新, 张慧东, 王睿照, 等. 辽东山区原始阔叶红松林主要树种空间结构特征. 应用生态学报, 2019, 30 (9): 2933- 2940. | |
| Mao Y X , Zhang H D , Wang R Z , et al. Spatial structure characteristics of the main tree species in a mixed broadleaved korean pine (Pinus koraiensis) forest in a mountainous area of eastern Liaoning Province, China. Chinese Journal of Applied Ecology, 2019, 30 (9): 2933- 2940. | |
| 毛子昆, 郝占庆, 原作强, 等. 物种聚集分布与种间关系的多度不对称性. 中国科学(生命科学), 2020, 50 (4): 381- 390. | |
| Mao Z K , Hao Z Q , Yuan Z Q , et al. Abundance-asymmetry in conspecific aggregation and interspecific interaction. Science Sinica (Vitae), 2020, 50 (4): 381- 390. | |
| 牛克昌, 刘怿宁, 沈泽昊, 等. 群落构建的中性理论和生态位理论. 生物多样性, 2009, 17 (6): 579- 593. | |
| Niu K C , Liu Y N , Shen Z H , et al. Community assembly: the relative importance of neutral theory and niche theory. Biodiversity Science, 2009, 17 (6): 579- 593. | |
| 邵方丽, 余新晓, 郑江坤, 等. 北京山区防护林优势树种分布与环境的关系. 生态学报, 2012, 32 (19): 6092- 6099. | |
| Shao F L , Yu X X , Zheng J K , et al. Relationships between dominant Arbor species distribution and environmental factors of shelter forests in the Beijing Mountain area. Acta Ecologica Sinica, 2012, 32 (19): 6092- 6099. | |
| 王进, 朱江, 艾训儒, 等. 湖北木林子保护区山矾属植物空间分布格局及其关联性. 生态学报, 2020, 40 (21): 7709- 7720. | |
| Wang J , Zhu J , Ai X R , et al. Spatial distribution pattern and intraspecific and interspecific relationships of genus symplocosin Mulinzi Nature reserve, Hubei Province. Acta Ecologica Sinica, 2020, 40 (21): 7709- 7720. | |
| 赵中华, 惠刚盈. 林分结构多样性研究进展. 林业科学, 2020, 56 (9): 143- 152. | |
| Zhao Z H , Hui G Y . Advances in structural diversity of stand structure. Scientia Silvae Sinicae, 2020, 56 (9): 143- 152. | |
| 赵中华, 惠刚盈, 胡艳波, 等. 基于大小比数的林分空间优势度表达方法及其应用. 北京林业大学学报, 2014, 36 (1): 78- 82. | |
| Zhao Z H , Hui G Y , Hu Y B , et al. Method and application of stand spatial advantage degree based on the neighborhood comparison. Journal of Beijing Forestry University, 2014, 36 (1): 78- 82. | |
| 祝燕, 白帆, 刘海丰, 等. 北京暖温带次生林种群分布格局与种间空间关联性. 生物多样性, 2011, 19 (2): 252- 259. | |
| Zhu Y , Bai F , Liu H F , et al. Population distribution patterns and interspecific spatial associations in warm temperate secondary forests, Beijing. Biodiversity Science, 2011, 19 (2): 252- 259. | |
| Baddeley A , Rubak E , Turner , R . Spatial point patterns: methodology and applications with R. Boca Raton: Chemical Rubber Company Press, 2016: 810. | |
|
Cardinale B J , Srivastava D S , Emmett D J , et al. Effects of biodiversity on the functioning of trophic groups and ecosystems. Nature, 2006, 443 (7114): 989- 992.
doi: 10.1038/nature05202 |
|
|
Černý V . Thermodynamical approach to the traveling salesman problem: an efficient simulation algorithm. Journal of Optimization Theory and Applications, 1985, 45 (1): 41- 51.
doi: 10.1007/BF00940812 |
|
|
Chesson P . General theory of competitive coexistence in spatially-varying environments. Theoretical Population Biology, 2000a, 58 (3): 211- 237.
doi: 10.1006/tpbi.2000.1486 |
|
|
Chesson P . Mechanisms of maintenance of species diversity. Annual Review of Ecology and Systematics, 2000b, 31 (1): 343- 366.
doi: 10.1146/annurev.ecolsys.31.1.343 |
|
|
Clark J S . Individuals and the variation needed for high species diversity in forest trees. Science, 2010, 327 (5969): 1129- 1132.
doi: 10.1126/science.1183506 |
|
|
Condit R , Ashton P S , Baker P , et al. Spatial patterns in the distribution of tropical tree species. Science, 2000, 288 (5470): 1414- 1418.
doi: 10.1126/science.288.5470.1414 |
|
| Connell J H. 1971. On the role of natural enemies in preventing competitive exclusion in some marine animals and in rain forest trees. Dynamics of populations. Wageningen, the Netherlands: Center for Agricultural Publishing and Documentation, 298-312. | |
|
Curtis J T , McIntosh R P . An upland forest continuum in the prairie-forest border region of Wisconsin. Ecology, 1951, 32 (3): 476- 496.
doi: 10.2307/1931725 |
|
|
Detto M , Muller-Landau H C . Stabilization of species coexistence in spatial models through the aggregation-segregation effect generated by local dispersal and nonspecific local interactions. Theoretical Population Biology, 2016, 112, 97- 108.
doi: 10.1016/j.tpb.2016.08.008 |
|
| Eddelbuettel D . Seamless R and C++ integration with Rcpp. New York: Springer Publishing Company, 2013, 220 | |
| Eddelbuettel D , Francois R , Allaire J J , et al. Rcpp: Seamless R and C++ Integration. Journal of Statistical Software, 2011, 40 (8): 1- 18. | |
|
Fibich P , Lepš J . Do biodiversity indices behave as expected from traits of constituent species in simulated scenarios?. Ecological Modelling, 2011, 222 (13): 2049- 2058.
doi: 10.1016/j.ecolmodel.2011.04.013 |
|
| Gadow K V , Zhang C Y , Wehenkel C , et al. Forest structure and diversity. 2nd ed Dordrecht: Springer, 2012: 29- 83. | |
| Gamfeldt L , Snäll T , Bagchi R , et al. Higher levels of multiple ecosystem services are found in forests with more tree species. Nature Communications, 2011, 4 (1): 1340. | |
|
Gavrikov V , Stoyan D . The use of marked point processes in ecological and environmental forest studies. Environmental and Ecological Statistics, 1995, 2 (4): 331- 344.
doi: 10.1007/BF00569362 |
|
|
Getzin S , Dean C , He F L , et al. Spatial patterns and competition of tree species in a Douglas-fir chronosequence on Vancouver Island. Ecography, 2006, 29 (5): 671- 682.
doi: 10.1111/j.2006.0906-7590.04675.x |
|
|
Isbell F , Calcagno V , Hector A , et al. High plant diversity is needed to maintain ecosystem services. Nature, 2011, 477 (7363): 199- 202.
doi: 10.1038/nature10282 |
|
|
Janzen D H . Herbivores and the number of tree species in tropical forests. The American Naturalist, 1970, 104 (940): 501- 528.
doi: 10.1086/282687 |
|
|
Kirkpatrick S , Gelatt C D , Vecchi M P . Optimization by simulated annealing. Science, 1983, 220 (4598): 671- 680.
doi: 10.1126/science.220.4598.671 |
|
|
Lara-Romero , Carlos , Cruz D L , et al. What causes conspecific plant aggregation? Disentangling the role of dispersal, habitat heterogeneity and plant-plant interactions. Oikos, 2016, 125 (9): 1304- 1313.
doi: 10.1111/oik.03099 |
|
|
Lei X , Wang W , Peng C . Relationships between stand growth and structural diversity in spruce-dominated forests in New Brunswick, Canada. Canadian Journal of Forest Research, 2009, 39 (10): 1835- 1847.
doi: 10.1139/X09-089 |
|
|
Li Y F , He J A , Yu S F , et al. Spatial structures of different-sized tree species in a secondary forest in the early succession stage. European Journal of Forest Research, 2020, 139 (5): 709- 719.
doi: 10.1007/s10342-020-01280-w |
|
|
Li Y F , Hui G Y , Zhao Z H , et al. The bivariate distribution characteristics of spatial structure in natural Korean pine broad-leaved forest. Journal of Vegetation Science, 2012, 23 (6): 1180- 1190.
doi: 10.1111/j.1654-1103.2012.01431.x |
|
|
Li Y F , Zhao Z H , Hui G Y , et al. Spatial structural characteristics of three hardwood species in korean pine broad-leaved forest-validating the bivariate distribution of structural parameters from the point of tree population. Forest Ecology and Management, 2014, 314, 17- 25.
doi: 10.1016/j.foreco.2013.11.012 |
|
|
Lin Y C , Chang L W , Yang K C , et al. Point patterns of tree distribution determined by habitat heterogeneity and dispersal limitation. Oecologia, 2011, 165 (1): 175- 184.
doi: 10.1007/s00442-010-1718-x |
|
|
Loreau M , Naeem S , Inchausti P , et al. Biodiversity and ecosystem functioning: current knowledge and future challenges. Science, 2001, 294 (5543): 804- 808.
doi: 10.1126/science.1064088 |
|
|
Ledo A , Condésa S , Montes F . Intertype mark correlation function: a new tool for the analysis of species interactions. Ecological Modelling, 2011, 222 (3): 580- 587.
doi: 10.1016/j.ecolmodel.2010.10.029 |
|
| Matérn B . Spatial variation. Meddelanden fran Statens Skogsforskningsinstitut, 1960, 49, 1- 144. | |
| Murrell D J , Purves D W , Law R . Uniting pattern and process in plant ecology. Trends in Ecology & Evolution, 2001, 16 (10): 529- 530. | |
| Pacala S W. 2009. Dynamics of plant communities. Second edition. Blackwell Publishing Ltd, 532-555. | |
| Pacala S W , Levin S A . Biologically generated spatial pattern and the coexistence of competing species. Monographs in Population Biology, 1996, 30, 204- 232. | |
|
Pimm S L , Jenkins C N , Abell R , et al. The biodiversity of species and their rates of extinction, distribution, and protection. Science, 2014, 344 (6187): 1246752.
doi: 10.1126/science.1246752 |
|
| Pommerening A , Rodriguez-Soalleiro R . Species mingling and diameter differentiation as second-order characteristics. Allgemeine Forst-und Jagdzeitung, 2011, 182 (7/8): 115- 129. | |
|
Pommerening A , Svensson A , Zhao Z H , et al. Spatial species diversity in temperate species-rich forest ecosystems: revisiting and extending the concept of spatial species mingling. Ecological Indicators, 2019, 105, 116- 125.
doi: 10.1016/j.ecolind.2019.05.060 |
|
|
Pommerening A , Szmyt J , Zhang G Q . A new nearest-neighbour index for monitoring spatial size diversity: the hyperbolic tangent index. Ecological Modelling, 2020a, 435, 109232.
doi: 10.1016/j.ecolmodel.2020.109232 |
|
| Pommerening A , Wang H X , Zhao Z H . Global woodland structure from local interactions: new nearest-neighbour functions for understanding the ontogenesis of global forest structure. Forest Ecosystems, 2020b, 7 (2): 290- 300. | |
|
Pommerening A , Zhang G Q , Zhang X H . Unravelling the mechanisms of spatial correlation between species and size diversity in forest ecosystems. Ecological Indicators, 2021, 121, 106995.
doi: 10.1016/j.ecolind.2020.106995 |
|
| Semchenko M , Abakumova M , Lepik A , et al. Plants are least suppressed by their frequent neighbours: the relationship between competitive ability and spatial aggregation patterns. Journal of Ecology, 2013, 101 (5): 1313- 1321. | |
| Stoll P J . Intraspecific aggregation alters competitive interactions in experimental plant communities. Ecology, 2001, 82 (2): 319- 327. | |
| Szmyt J . Spatial statistics in ecological analysis: from indices to functions. Silva Fennica, 2014, 48 (1): 229- 232. | |
| Tscheschel A , Stoyan D . Statistical reconstruction of random point patterns. Computational Statistics & Data Analysis, 2006, 51 (2): 859- 871. | |
| Volkov I , Banavar J R , Hubbell S P , et al. Inferring species interactions in tropical forests. Proceedings of the National Academy of Sciences of the United States of America, 2009, 106 (33): 13854- 13859. | |
| Wang H X , Peng H , Hui G Y , et al. Large trees are surrounded by more heterospecific neighboring trees in korean pine broad-leaved natural forests. Scientific Reports, 2018, 8 (1): 1- 11. | |
| Wang H X , Wan P , Wang Q , et al. Prevalence of inter-tree competition and its role in shaping the community structure of a natural mongolian scots pine (Pinus sylvestris var. mongolica)Forest. Forests, 2017, 8 (84): 1- 14. | |
| Wang H X , Zhao Z H , Myllymäki M , et al. Spatial size diversity in natural and planted forest ecosystems: revisiting and extending the concept of spatial size inequality. Ecological Informatics, 2020, 57, 101054. | |
| Wang X G , Wiegand T , Hao Z Q , et al. Species associations in an old-growth temperate forest in north-eastern China. Journal of Ecology, 2010, 98 (3): 674- 686. | |
| Weiner J , Solbrig O T . The meaning and measurement of size hierarchies in plant populations. Oecologia, 1984, 61 (3): 334- 336. | |
| Weiner J , Thomas W . Size variability and competition in plant monocultures. Oikos, 1986, 47 (2): 211- 222. | |
| Wiegand T, Moloney K A. 2013. Handbook of spatial point-pattern analysis in ecology. Chemical Rubber Company Press, 538. | |
| Zhang C Y , Cheng Y X , He H J , et al. Structural drivers of biomass dynamics in two temperate forests in China. Ecosphere, 2017, 8 (3): e01752. | |
| Zobel M . The relative role of species pools in determining plant species richness: an alternative explanation of species coexistence?. Trends in Ecology & Evolution, 1997, 12 (7): 266- 269. |
| [1] | 惠刚盈,赵中华,张弓乔,胡艳波. 基于角尺度的随机体在森林稳定性维持中的作用[J]. 林业科学, 2021, 57(2): 22-30. |
| [2] | 曹小玉, 李际平, 委霞. 中亚热带典型林分空间结构对土壤养分含量的影响[J]. 林业科学, 2020, 56(1): 20-28. |
| [3] | 曹小玉, 李际平, 封尧, 胡园杰, 张彩彩, 房晓娜, 邓超. 杉木生态公益林林分空间结构分析及评价[J]. 林业科学, 2015, 51(7): 37-48. |
| [4] | 方景, 孙玉军, 郭孝玉, 梅光义. 基于Voronoi图和Delaunay三角网的杉木游憩林空间结构[J]. 林业科学, 2014, 50(12): 1-6. |
| [5] | 李建军<sup></sup>李际平<sup></sup>刘素青<sup></sup>张宏伟<sup></sup>冯湘兰<sup></sup>. 红树林空间结构均质性指数[J]. 林业科学, 2010, 46(6): 6-14. |
| [6] | 赵春燕;李际平;李建军. 基于Voronoi图和Delaunay三角网的林分空间结构量化分析[J]. 林业科学, 2010, 46(6): 78-84. |
| [7] | 郝云庆 王金锡 王启和 孙鹏 蒲春林. 柳杉纯林改造后林分空间结构变化预测[J]. 林业科学, 2006, 42(8): 8-13. |
| [8] | 王霓虹 周洪泽 李林辉. 应用地理信息系统进行林木空间模拟分析[J]. 林业科学, 2004, 40(6): 97-101. |
| [9] | 汤孟平 唐守正 雷相东 李希菲. 林分择伐空间结构优化模型研究[J]. 林业科学, 2004, 40(5): 25-31. |
| 阅读次数 | ||||||
|
全文 |
|
|||||
|
摘要 |
|
|||||