林业科学 ›› 2021, Vol. 57 ›› Issue (7): 20-31.doi: 10.11707/j.1001-7488.20210703
房焕英1,2,肖胜生2,3,余小芳4,熊永5,欧阳勋志1,*,秦晓蕾2
收稿日期:2020-04-10
出版日期:2021-07-25
发布日期:2021-09-02
通讯作者:
欧阳勋志
基金资助:Huanying Fang1,2,Shengsheng Xiao2,3,Xiaofang Yu4,Yong Xiong5,Xunzhi Ouyang1,*,Xiaolei Qin2
Received:2020-04-10
Online:2021-07-25
Published:2021-09-02
Contact:
Xunzhi Ouyang
摘要:
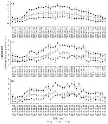
目的: 分析不同强度酸雨对湿地松人工林土壤总呼吸速率(Rs)及其组分(微生物异养呼吸速率Rh和根系自养呼吸速率Ra)的影响规律,进一步了解森林土壤呼吸过程,为酸沉降胁迫下的森林管理提供科学依据。方法: 以亚热带湿地松人工林为对象,采用壕沟法分离土壤呼吸组分,设置3种酸沉降水平(CK:pH 6.5、低酸LA:pH 4.5,强酸HA:pH 2.5),参照研究区降雨比例分次喷洒,运用LI-8100A土壤碳通量自动测量系统原位测定土壤呼吸速率,同时测定土壤温湿度和土壤生化性质等指标。结果: 不同酸处理下,Rs、Ra和Rh均呈夏季高、冬季低的单峰模式,土壤温度是导致土壤呼吸季节变化的主要驱动因素;酸雨可显著降低Rs(P<0.05),LA和HA处理后分别降低25.83%和30.95%,其中,Rh分别降低29.60%和35.20%,Ra分别降低19.15%和23.40%,但这种抑制效应仅体现在生长季,非生长季LA可显著促进Ra(P<0.05);CK样地Rh在Rs中占比63.94%,LA和HA处理后该比例显著降低(P<0.05),同时Ra响应强度随酸雨增强而增加;Rs、Rh、Ra与土壤温度均呈极显著指数关系(P<0.01),酸处理后其温度敏感系数(Q10)均降低;土壤湿度与Rs、Rh、Ra在HA处理下极显著相关(P<0.01),土壤温湿度的协同作用极显著影响土壤呼吸速率(P<0.01);Rh变异主要与土壤脲酶、蔗糖酶、表层土壤总有机碳(TOC)含量和土壤pH有关,而Ra变异则主要与土壤脲酶、土壤温度和TOC有关,以上因素可共同解释Rs变异的83.9%。结论: 土壤总呼吸速率及各组分呼吸速率的季节变化特征相似,主要受土壤温度控制;酸雨造成土壤酸化,引发土壤酶、土壤有机碳含量显著变化或呈一定变化趋势,其共同作用导致Rh和Ra被抑制,进而显著降低Rs,土壤水热因子促使这种抑制效应在生长季更显著;Rh在Rs中的占比随酸雨强度增加而逐渐降低,但短期内Rh仍是Rs的主导组分。
中图分类号:
房焕英,肖胜生,余小芳,熊永,欧阳勋志,秦晓蕾. 湿地松人工林土壤呼吸及其组分对模拟酸雨的响应[J]. 林业科学, 2021, 57(7): 20-31.
Huanying Fang,Shengsheng Xiao,Xiaofang Yu,Yong Xiong,Xunzhi Ouyang,Xiaolei Qin. Responses of Soil Respiration and Its Components to Simulated Acid Rain in Pinus elliottii Plantation[J]. Scientia Silvae Sinicae, 2021, 57(7): 20-31.
表1
不同酸处理下土壤呼吸速率与温湿度的拟合模型①"
| 土壤呼吸速率 Soil respiration rate | 处理 Treatment | 土壤温度Soil temperature | 土壤湿度Soil moisture | 双因子Double factors | |||||||||
| 拟合模型 Fitted model | R2 | AIC | Q10 | 拟合模型 Fitted model | R2 | AIC | 拟合模型 Fitted model | R2 | AIC | ||||
| Rs | CK | Rs = 1.270 8 e0.062 1 T | 0.746 2** | -120.09 | 1.86 | Rs =-103.86W2 +20.795W + 3.746 1 | 0.314 8 | 13.53 | Rs =1.442 e0.064TW0.075 | 0.734** | -118.27 | ||
| LA | Rs = 1.129 4 e0.052 2 T | 0.893 3** | -179.41 | 1.69 | Rs =-155.8W2 + 33.942W + 1.411 9 | 0.233 6 | -19.90 | Rs =1.181 e0.053TW-0.027 | 0.888** | -177.32 | |||
| HA | Rs = 0.995 1 e0.055 4 T | 0.844 9** | -157.59 | 1.74 | Rs = 138.84W2-53.464W +7.507 1 | 0.264 6** | -22.14 | Rs =0.913 e0.054TW-0.058 | 0.838** | -155.94 | |||
| Rh | CK | Rh = 0.935 1 e0.054 8 T | 0.736 3** | -128.01 | 1.73 | Rh =-58.294W2 + 12.011W + 2.351 1 | 0.274 5 | -27.63 | Rh =1.107 e0.058TW-0.131 | 0.727** | -126.78 | ||
| LA | Rh = 0.677 9 e0.0525 T | 0.779 2** | -144.28 | 1.69 | Rh =-96.248W2 + 21.417W + 0.774 9 | 0.193 2 | -52.82 | Rh =0.782 e0.054TW0.086 | 0.770** | -142.73 | |||
| HA | Rh = 0.761 7 e0.042 1 T | 0.718 1** | -149.13 | 1.52 | Rh = 60.3W2-22.677W + 3.616 7 | 0.164 7** | -72.78 | Rh =0.791 e0.043TW0.025 | 0.703** | -147.22 | |||
| Ra | CK | Ra = 0.342 4 e0.076 8 T | 0.719 6** | -97.68 | 2.16 | Ra =-45.57W2 + 8.784 2W + 1.395 0 | 0.356 3 | -56.47 | Ra =0.324 e0.076TW-0.043 | 0.705** | -95.70 | ||
| LA | Ra = 0.446 4 e0.051 2 T | 0.699 2** | -129.64 | 1.67 | Ra =-59.547W2 + 12.525W + 0.637 1 | 0.191 9 | -80.62 | Ra =0.410 e0.050TW--0.051 | 0.684** | -127.67 | |||
| HA | Ra = 0.265 8 e0.076 3 T | 0.827 8** | -127.34 | 2.14 | Ra = 78.54W2-30.787W + 3.890 4 | 0.310 0** | -70.75 | Ra =0.203 e0.073TW-0.181 | 0.828** | -127.05 | |||
表2
不同酸处理下土壤呼吸速率与土壤生化特性的皮尔逊相关性分析"
| 土层 Soil layer | 土壤呼吸速率 Soil respiration ratio | Rs | pH | TOC | DOC | DON | NH4+ | NO3- | MBC | MBN | 脲酶活性 Urease activity | 蔗糖酶活性 Sucrase activity |
| 0~5 cm | Rs | 1.000 | 0.184 | -0.362 | -0.433* | -0.377 | -0.442* | -0.672** | -0.189 | -0.119 | 0.869** | 0.810** |
| Rh | 0.984** | 0.199 | -0.308 | -0.403 | -0.37 | -0.421* | -0.629** | -0.161 | -0.106 | 0.834** | 0.778** | |
| Ra | 0.964** | 0.150 | -0.412* | -0.445* | -0.362 | -0.441* | -0.688** | -0.215 | -0.130 | 0.859** | 0.801** | |
| 5~10 cm | Rs | 1.000 | 0.432 | -0.281 | -0.331 | -0.202 | -0.538** | -0.067 | -0.053 | 0.254 | 0.835** | 0.792** |
| Rh | 0.984** | 0.513* | -0.220 | -0.291 | -0.182 | -0.519** | 0.051 | 0.033 | 0.341 | 0.804** | 0.765** | |
| Ra | 0.964** | 0.286 | -0.348 | -0.363 | -0.216 | -0.528** | -0.225 | -0.168 | 0.116 | 0.823** | 0.776** |
表3
土壤呼吸与影响因素的多元逐步回归分析"
| 参数 Parameter | Rs | Rh | Ra | |||||||||||
| 系数 Coefficient | 误差 Error | t | Sig. | 系数 Coefficient | 误差 Error | t | Sig. | 系数 Coefficient | 误差 Error | t | Sig. | |||
| 常量Constant | -3.584 | 1.480 | -2.423 | 0.022 | -2.793 | 1.099 | -2.541 | 0.016 | 0.107 | 0.126 | 0.850 | 0.402 | ||
| 脲酶活性 Soil urease activity/(mg·g-1) | 5.879 | 1.842 | 3.191 | 0.003 | 3.317 | 1.307 | 2.539 | 0.016 | 3.419 | 0.515 | 6.637 | 0 | ||
| 土壤温度 Soil temperature/℃ | 0.044 | 0.024 | 1.804 | 0.081 | 0.040 | 0.007 | 5.545 | 0 | ||||||
| TOC/(g·kg-1) | -0.050 | 0.011 | -4.551 | 0 | -0.037 | 0.007 | -5.052 | 0 | -0.010 | 0.003 | -3.415 | 0.002 | ||
| pH | 0.894 | 0.275 | 3.251 | 0.003 | 0.730 | 0.205 | 3.561 | 0.001 | ||||||
| 蔗糖酶活性 Soil sucrose activity/ (mg·g-1) | 0.045 | 0.019 | 2.326 | 0.027 | 0.040 | 0.013 | 3.070 | 0.004 | ||||||
| 陈书涛, 孙鹭, 桑琳, 等. 模拟酸雨对次生林土壤呼吸及异养呼吸的影响. 环境科学, 2017, 38 (3): 1235- 1244. | |
| Chen S T , Sun L , Sang L , et al. Effects of simulated acid rain on soil respiration and heterotrophic respiration in a secondary forest. Environmental Science, 2017, 38 (3): 1235- 1244. | |
| 崔海, 张亚红. 不同封育年限荒漠草原土壤呼吸日、季动态变化及其影响因子. 环境科学, 2016, 37 (4): 1507- 1515. | |
| Cui H , Zhang Y H . Diurnal and seasonal dynamic variation of soil respiration and its influencing factors of different fenced enclosure years in desert steppec. Environmental Science, 2016, 37 (4): 1507- 1515. | |
| 房焕英, 肖胜生, 潘萍, 等. 湿地松林土壤生化特性和酶活性对模拟硫沉降的响应. 水土保持学报, 2019, 33 (6): 318- 325. | |
| Fang H Y , Xiao S S , Pan P , et al. Effects of sulphur deposition on soil biochemical properties and enzymes activities in Pinus elliottii plantation. Journal of Soil and Water Conservation, 2019, 33 (6): 318- 325. | |
|
高俊, 郑有飞, 陈书涛. 2007—2008年南京江北工业区大气降水化学特征. 大气科学学报, 2012, 35 (6): 697- 701.
doi: 10.3969/j.issn.1674-7097.2012.06.009 |
|
|
Gao J , Zheng Y F , Chen S T . Chemical characteristics of precipitation in the industrial area to the north of the Yangtze River in Nanjing in 2007—2008. Transactions of Atmospheric Sciences, 2012, 35 (6): 697- 701.
doi: 10.3969/j.issn.1674-7097.2012.06.009 |
|
| 李一凡, 王玉杰, 王彬, 等. 三峡库区典型林分土壤呼吸及其组分对模拟酸雨的响应. 环境科学, 2019a, 40 (3): 1457- 1467. | |
| Li Y F , Wang Y J , Wang B , et al. Response of soil respiration and its components to simulated acid rain in a typical forest stand in the Three Gorges reservoir area. Environmental Science, 2019a, 40 (3): 1457- 1467. | |
| 李一凡, 王玉杰, 王彬, 等. 西南酸雨区重庆缙云山常绿阔叶林土壤氮矿化特征. 林业科学, 2019b, 55 (6): 1- 12. | |
| Li Y F , Wang Y J , Wang B , et al. Soil nitrogen mineralization characteristics of evergreen broad-leaved forest in Jinyun Mountain in Chongqing in the acid rain zone, southwest China. Scientia Silvae Sinicae, 2019b, 55 (6): 1- 12. | |
| 梁国华, 吴建平, 熊鑫, 等. 南亚热带不同演替阶段森林土壤呼吸对模拟酸雨的响应. 生态学杂志, 2016a, 35 (1): 125- 134. | |
| Liang G H , Wu J P , Xiong X , et al. Response of soil respiration to simulated acid rain in three successional subtropical forests in southern China. Chinese Journal of Ecology, 2016a, 35 (1): 125- 134. | |
| 梁国华, 吴建平, 熊鑫, 等. 模拟酸雨对鼎湖山季风常绿阔叶林土壤呼吸的初期影响. 广西植物, 2016b, 36 (2): 145- 153. | |
| Liang G H , Wu J P , Xiong X , et al. Effects of simulated acid rain on soil respiration in a monsoon evergreen broad-leaved forest at Dinghushan Nature Reserve. Guihaia, 2016b, 36 (2): 145- 153. | |
| 刘源月, 江洪, 李雅红, 等. 模拟酸雨对亚热带阔叶树苗土壤呼吸的影响. 土壤学报, 2011, 48 (3): 563- 569. | |
| Liu Y Y , Jiang H , Li Y H , et al. Short-term effects of acid rain on soil respiration in broadleaf tree sapling-soil systems in subtropical China. Acta Pedologica Sinica, 2011, 48 (3): 563- 569. | |
| 鲁如坤. 土壤农业化学分析方法. 北京: 中国农业科技出版社, 2000. | |
| Lu R K . Methods for agricultural chemical analysis of soils. Beijing: China Agricultural Science and Technology Press, 2000. | |
| 孟磊, 章家恩, 徐华勤, 等. 模拟酸雨对广东赤红壤的中小型动物群落组成及多样性的影响. 生态学杂志, 2012, 29 (11): 2204- 2209. | |
| Meng L , Zhang J E , Xu H Q , et al. Impacts of simulated acid rain on community composition and diversity of small and medium-sized animals in lateritic red soil in Guangdong Province. Chinese Journal of Ecology, 2012, 29 (11): 2204- 2209. | |
| 庞蕊, 刘敏, 李美玲, 等. 土壤碳排放组分区分的研究进展. 生态学杂志, 2017, 36 (8): 2327- 2335. | |
| Pang R , Liu M , Li M L , et al. Advances in research on the separation of soil carbon emissions. Chinese Journal of Ecology, 2017, 36 (8): 2327- 2335. | |
| 彭信浩, 韩海荣, 徐小芳, 等. 间伐和改变凋落物输入对华北落叶松人工林土壤呼吸的影响. 生态学报, 2018, 38 (15): 5351- 5361. | |
| Peng X H , Han H R , Xu X F , et al. Thinning treatment and litterfall changes influence soil respiration in a Larix principis-rupprechtii plantation. Acta Ecologica Sinica, 2018, 38 (15): 5351- 5361. | |
| 王宁, 杨雪, 李世兰, 等. 不同海拔红松混交林土壤微生物量碳、氮的生长季动态. 林业科学, 2016, 52 (1): 150- 158. | |
| Wang N , Yang X , Li S L , et al. Seasonal dynamics of soil microbial biomass carbon-nitrogen in the Korean pine mixed forests along elevation gradient. Scientia Silvae Sinicae, 2016, 52 (1): 150- 158. | |
| 王轶浩, 王彦辉, 李振华, 等. 重庆酸雨区受害马尾松林土壤水分与针叶凋落的关系. 应用生态学报, 2012, 23 (10): 2632- 2640. | |
| Wang Y H , Wang Y H , Li Z H , et al. Relationships between soil moisture and needle-fall in masson pine forests in acid rain region of Chongqing, southwest China. Chinese Journal of Applied Ecology, 2012, 23 (10): 2632- 2640. | |
| 王亚军, 郁珊珊. 西双版纳热带季雨林土壤呼吸变化规律及其影响因素. 水土保持研究, 2016, 23 (1): 134- 144. | |
| Wang Y J , Yu S S . Soil Respiration and impact factors of tropical seasonal rainforests in Xishuangbanna, Yunnan Province. Research of Soil and Water Conservation, 2016, 23 (1): 134- 144. | |
| 吴建平, 梁国华, 熊鑫, 等. 鼎湖山季风常绿阔叶林土壤微生物量碳和有机碳对模拟酸雨的响应. 生态学报, 2015, 35 (20): 6686- 6693. | |
| Wu J P , Liang G H , Xiong X , et al. Effects of simulated acid rain on soil microbial biomass carbon and total organic carbon in a monsoon evergreen broadleaved forest at the Ding hushan Nature Reserve. Acta Ecologica Sinica, 2015, 35 (20): 6686- 6693. | |
| 吴亚华, 肖荣波, 王刚, 等. 城市绿地土壤呼吸速率的变化特征及其影响因子. 生态学报, 2016, 36 (22): 7462- 7471. | |
| Wu Y H , Xiao R B , Wang G , et al. Controlling factors of variation in soil respiration rate in urban green space ecosystems. Acta Ecologica Sinica, 2016, 36 (22): 7462- 7471. | |
| 巫志龙, 周成军, 周新年, 等. 不同强度采伐5年后杉阔混交人工林土壤呼吸速率差异. 林业科学, 2019, 55 (6): 142- 149. | |
| Wu Z L , Zhou C J , Zhou X N , et al. Difference in soil respiration rates of the mixed plantations of Cunninghamia lanceolata and broadleaved trees 5 years after harvesting at different intensities. Scientia Silvae Sinicae, 2019, 55 (6): 142- 149. | |
|
徐洪灵, 张宏, 张伟. 川西北高寒草甸土壤理化性质对土壤呼吸速率影响研究. 四川师范大学学报: 自然科学版, 2012, 35 (6): 835- 841.
doi: 10.3969/j.issn.1001-8395.2012.06.024 |
|
|
Xu H L , Zhang H , Zhang W , et al. Influence of soil physical and chemical properties on soil respiration rate of alpine meadow in the Northwestern Plateau of Sichuan Province. Journal of Sichuan Normal University: Natural Science, 2012, 35 (6): 835- 841.
doi: 10.3969/j.issn.1001-8395.2012.06.024 |
|
| 闫聪微, 马红亮, 高人, 等. 模拟氮沉降对中亚热带森林土壤中可溶性氮含量的影响. 环境科学研究, 2012, 25 (6): 678- 684. | |
| Yan C H , Ma H L , Gao R , et al. Effects of simulated nitrogen deposition on soluble nitrogen in subtropical forest soils. Research of Environmental Sciences, 2012, 25 (6): 678- 684. | |
| 闫慧, 吴茜, 丁佳, 等. 不同降水及氮添加对浙江古田山4种树木幼苗光合生理生态特征与生物量的影响. 生态学报, 2013, 33 (14): 4226- 4236. | |
| Yan H , Wu Q , Ding J , et al. Effects of precipitation and nitrogen addition on photosynthetically ecophysiological characteristics and biomass of four tree seedlings in Gutian Mountain, Zhejiang Province, China. Acta Ecologica Sinica, 2013, 33 (14): 4226- 4236. | |
|
杨金艳, 王传宽. 土壤水热条件对东北森林土壤表面CO2通量的影响. 植物生态学报, 2006, 30 (2): 286- 294.
doi: 10.3321/j.issn:1005-264X.2006.02.011 |
|
|
Yang J Y , Wang C K . Effects of soil temperature and moisture on soil surface CO2 flux of forests in northeastern China. Chinese Journal of Plant Ecology, 2006, 30 (2): 286- 294.
doi: 10.3321/j.issn:1005-264X.2006.02.011 |
|
| 余再鹏, 黄志群, 王民煌, 等. 亚热带米老排和杉木人工林土壤呼吸季节动态及其影响因子. 林业科学, 2014, 50 (8): 7- 14. | |
| Yu Z P , Huang Z Q , Wang M H , et al. Seasonal Dynamics of soil respiration and its affecting factors in subtropical Mytilaria laosensis and Cunninghamia lanceolata plantations. Scientia Silvae Sinicae, 2014, 50 (8): 7- 14. | |
| 张蕊, 王艺, 金国庆, 等. 施氮对木荷3个种源幼苗根系发育和氮磷效率的影响. 生态学报, 2013, 33 (12): 3611- 3621. | |
| Zhang R , Wang Y , Jin G Q , et al. Nitrogen addition affects root growth, phosphorus and nitrogen efficiency of three provenances of Schima superba in barren soil. Acta Ecologica Sinica, 2013, 33 (12): 3611- 3621. | |
| 张新明, 张俊平, 刘素萍, 等. 模拟酸雨对荔枝园土壤氮素迁移和土壤酸化的影响. 水土保持学报, 2016, 12 (6): 18- 21. | |
| Zhang X M , Zhang J P , Liu S P , et al. Effects of simulated acid rain on nitrogen transplant and acidifying potential in litchi orchard soils. Journal of Soil and Water Conservation, 2016, 12 (6): 18- 21. | |
| 张勇, 王连喜, 陈书涛, 等. 模拟酸雨对北亚热带天然次生林土壤呼吸的影响. 中国环境科学, 2011, 31 (9): 1541- 1547. | |
| Zhang Y , Wang L X , Chen S T , et al. Effects of simulated acid rain on soil respiration in a northern subtropical secondary forest. China Environmental Science, 2011, 31 (9): 1541- 1547. | |
|
周明昆, 李正文, 李志刚, 等. 模拟酸雨对德保苏铁叶片光合作用及根系分泌有机酸的影响. 南方农业学报, 2012, 43 (5): 587- 591.
doi: 10.3969/j:issn.2095-1191.2012.05.587 |
|
|
Zhou M K , Li Z W , Li Z G , et al. Effects of simulated acid rain on photosynthesis of leaves and organic acid secreted by roots of Cycas debaoensis Y. C. Zhonget C. J. Chen. Journal of Southern Agriculture, 2012, 43 (5): 587- 591.
doi: 10.3969/j:issn.2095-1191.2012.05.587 |
|
|
Chen S T , Sun L , Zhang X , et al. Contrasting effects of long-term acid rain simulation on temperature sensitivity of soil respiration and enzymatic activities in a subtropical forest. Journal of Soils & Sediments, 2020, 20 (1): 412- 424.
doi: 10.1007/s11368-019-02385-5 |
|
| Deng Q , Zhou G , Liu J , et al. Responses of soil respiration to elevated carbon dioxide and nitrogen addition in subtropical forest ecosystems in China. Biogeosciences, 2009, 7 (1): 9- 18. | |
|
Driscoll C T , David W , John A , et al. Nitrogen pollution in the northeastern United States: sources, effects and management options. BioScience, 2003, 53 (4): 357- 374.
doi: 10.1641/0006-3568(2003)053[0357:NPITNU]2.0.CO;2 |
|
|
Duan L , Yu Q , Zhang Q , et al. Acid deposition in Asia: emissions, deposition and ecosystem effects. Atmospheric Environment, 2016, 146, 55- 69.
doi: 10.1016/j.atmosenv.2016.07.018 |
|
| Enzai D , Wim D V , Wenxuan H , et al. Imbalanced phosphorus and nitrogen deposition in China's forests. Atmospheric Chemistry & Physics, 2016, 16 (13): 8571- 8579. | |
| Jassal R S , Black T A . Estimating heterotrophic and autotrophic soil respiration using small-area trenched plot technique: theory and practice. Agricultural and Forest Meteorology, 2006, 140 (1/4): 193- 202. | |
| Jones D L , Willett V B . Experimental evaluation of methods to quantify dissolves organic nitrogen(DON) and dissolved organic carbon(DOC) in soil. Soil Biology and Biochemistry, 2005, 38 (5): 991- 999. | |
|
Liang G H , Liu X Z , Chen X M , et al. Response of soil respiration to acid rain in forests of different maturity in southern China. PLoS One, 2013, 8 (4): e62207.
doi: 10.1371/journal.pone.0062207 |
|
| Liu Y J , Yang J , Hu J M , et al. Characteristics of the surface-subsurface flow generation and sediment yield to the rainfall regime and land-cover by long-term in-situ observation in the red soil region, southern China. Journal of Hydrology, 2016, (539): 457- 467. | |
|
Metcalfe D B , Fisher R A , Wardle D A . Plant communities as drivers of soil respiration: pathways, mechanisms, and significance for global change. Biogeosciences, 2011, 8 (8): 2047- 2061.
doi: 10.5194/bg-8-2047-2011 |
|
|
Oulehle F , Evans C D , Hofmeister J , et al. Major changes in forest carbon and nitrogen cycling caused by declining sulphur deposition. Global Change Biology, 2011, 17 (10): 3115- 3129.
doi: 10.1111/j.1365-2486.2011.02468.x |
|
|
Piao S L , Fang J Y , Ciais P , et al. The carbon balance of terrestrial ecosystems in China. Nature, 2009, 458 (7241): 1009- 1013.
doi: 10.1038/nature07944 |
|
|
Reay D S , Dentener F , Smith P , et al. Global nitrogen deposition and carbon sinks. Nature Geoscience, 2008, 1 (7): 430- 437.
doi: 10.1038/ngeo230 |
|
|
Scharlemann J P , Tanner E V , Hiederer R , et al. Global soil carbon: understanding and managing the largest terrestrial carbon pool. Carbon Management, 2014, 5 (1): 81- 91.
doi: 10.4155/cmt.13.77 |
|
|
Shi Z , Li Y Q , Wang S J , et al. Accelerated soil CO2 efflux after conversion from secondary oak forest to pine plantation in southeastern China. Ecological Research, 2009, 24 (6): 1257- 1265.
doi: 10.1007/s11284-009-0609-2 |
|
|
Sinsabaugh R L , Carreiro M M , Repert D A . Allocation of extracellular enzymatic activity in relation to litter composition, N deposition, and mass loss. Biogeochemistry, 2002, 60 (1): 1- 24.
doi: 10.1023/A:1016541114786 |
|
|
Sitaula B K , Bakken L R , Abrahamsen G . N-fertilization and soil acidification effects on N2O and CO2 emission from temperate pine forest soil. Soil Biology and Biochemistry, 1995, 27 (11): 1401- 1408.
doi: 10.1016/0038-0717(95)00078-S |
|
|
Su Y G , Huang G , Lin Y J , et al. No synergistic effects of water and nitrogen addition on soil microbial communities and soil respiration in a temperate desert. Catena, 2016, 142, 126- 133.
doi: 10.1016/j.catena.2016.03.002 |
|
|
Tang X L , Liu S G , Zhou G Y , et al. Soil atmospheric exchange of CO2, CH4 and N2O in three subtropical forest ecosystems in southern China. Global Change Biology, 2006, 12 (3): 546- 560.
doi: 10.1111/j.1365-2486.2006.01109.x |
|
|
Thornley J H M , Cannell M G R . Soil carbon storage response to temperature: an hypothesis. Annals of Botany, 2001, 87 (5): 591- 598.
doi: 10.1006/anbo.2001.1372 |
|
| Wang C , Lu X K , Mori T K , et al. Responses of soil microbial community to continuous experimental nitrogen additions for 13 years in a nitrogen-rich tropical forest. Soil Biology & Biochemistry, 2018, 121, 103- 112. | |
|
Wu J P , Liang G H , Hui D F , et al. Prolonged acid rain facilitates soil organic carbon accumulation in a mature forest in southern China. Science of the Total Environment, 2016, 544, 94- 102.
doi: 10.1016/j.scitotenv.2015.11.025 |
|
| Xu H Q , Zhang J E , Ouyang Y , et al. Effects of simulated acid rain on microbial characteristics in a lateritic red soil. Environmental Science & Pollution Research International, 2015, 22 (22): 18260- 18266. | |
| Yu H L , He N P , Wang Q , et al. Development of atmospheric acid deposition in China from the 1990s to the 2010s. Environmental Pollution, 2017, 231 (1): 182- 190. | |
|
Zhang J J , Yang H , Wang J S , et al. Soil and climate determine differential responses of soil respiration to nitrogen and acid deposition along a forest transect. European Journal of Soil Biology, 2019, 93, 103097- 103097.
doi: 10.1016/j.ejsobi.2019.103097 |
|
|
Zheng S , Bian H F , Quan Q , et al. Effect of nitrogen and acid deposition on soil respiration in a temperate forest in China. Geoderma, 2018, 329, 82- 90.
doi: 10.1016/j.geoderma.2018.05.022 |
|
|
Zheng W H , Li R S , Yang Q P , et al. Short-term response of soil respiration to simulated acid rain in Cunninghamia lanceolata and Michelia macclurei plantations. Journal of Soils & Sediments, 2019, 19 (3): 1239- 1249.
doi: 10.1007/s11368-018-2148-3 |
|
|
Zhou G Y , Liu S G , Li Z A , et al. Old-growth forests can accumulate carbon in soils. Science, 2006, 314 (5804): 1417.
doi: 10.1126/science.1130168 |
|
|
Zhou L Y , Zhou X H , Shao J J , et al. Interactive effects of global change factors on soil respiration and its components: a meta-analysis. Global Change Biology, 2016, 22 (9): 3157- 3169.
doi: 10.1111/gcb.13253 |
| [1] | 李一凡, 王玉杰, 王彬, 李通. 西南酸雨区重庆缙云山常绿阔叶林土壤氮矿化特征[J]. 林业科学, 2019, 55(6): 1-12. |
| [2] | 巫志龙, 周成军, 周新年, 刘富万, 朱奇雄, 黄金湧, 陈文. 不同强度采伐5年后杉阔混交人工林土壤呼吸速率差异[J]. 林业科学, 2019, 55(6): 142-149. |
| [3] | 刘宝, 王民煌, 余再鹏, 林思祖, 林开敏. 中亚热带天然林改造成人工林后土壤呼吸的变化特征[J]. 林业科学, 2019, 55(4): 1-12. |
| [4] | 胡宗达, 刘世荣, 胡璟, 刘兴良, 余昊, 李登峰, 何飞. 川西亚高山川滇高山栎林火烧迹地土壤呼吸特征及其影响因素[J]. 林业科学, 2018, 54(2): 18-29. |
| [5] | 李伟, 刘小飞, 陈光水, 赵本嘉, 邱曦, 杨玉盛. 凋落物对中亚热带米槠天然林和人工林土壤呼吸的影响[J]. 林业科学, 2016, 52(11): 11-18. |
| [6] | 余再鹏, 黄志群, 王民煌, 胡振宏, 万晓华, 刘瑞强, 郑璐嘉. 亚热带米老排和杉木人工林土壤呼吸季节动态及其影响因子[J]. 林业科学, 2014, 50(8): 7-14. |
| [7] | 赵娜, 孟平, 张劲松, 陆森, 程志庆. 华北低丘山地不同土地利用条件下的土壤呼吸比较[J]. 林业科学, 2014, 50(2): 1-7. |
| [8] | 韩海燕, 张涛, 王鹏程, 雷静品, 曾立雄, 黄志霖, 肖文发. 三峡库区兰陵溪小流域3种林分类型土壤呼吸特征[J]. 林业科学, 2014, 50(11): 182-187. |
| [9] | 孙素琪, 王玉杰, 王云琦, 张会兰, 李云霞, 于雷, 胡波, 刘婕. 缙云山常绿阔叶林土壤呼吸对模拟氮沉降的响应[J]. 林业科学, 2014, 50(1): 1-8. |
| [10] | 向元彬, 黄从德, 胡庭兴, 涂利华, 杨万勤, 李仁洪, 胡畅. 华西雨屏区巨桉人工林土壤呼吸对模拟氮沉降的响应[J]. 林业科学, 2014, 50(1): 21-26. |
| [11] | 胡振宏;范少辉;黄志群;何宗明;余再鹏;王民煌;翁贤权. 采伐剩余物管理措施对杉木人工林土壤呼吸的影响[J]. , 2013, 49(5): 24-29. |
| [12] | 夏国威, 康晋, 周威, 张宋智, 康永祥. 锐齿栎林及其皆伐迹地休眠季土壤呼吸特征[J]. 林业科学, 2013, 49(11): 1-8. |
| [13] | 孟春, 罗京, 庞凤艳. 白桦人工林土壤各组分呼吸通量的变化特征[J]. 林业科学, 2013, 49(10): 28-34. |
| [14] | 高峻;韩光鲁;黄彬香;施生锦;贾长荣;任迎丰. 多通道土壤呼吸长期自动测量系统的集成与性能测试[J]. 林业科学, 2011, 47(9): 153-157. |
| [15] | 张艳;姜培坤;许开平;李永夫;吴家森;刘娟. 集约经营雷竹林土壤呼吸年动态变化规律及其影响因子[J]. 林业科学, 2011, 47(6): 17-22. |
| 阅读次数 | ||||||
|
全文 |
|
|||||
|
摘要 |
|
|||||