Scientia Silvae Sinicae ›› 2022, Vol. 58 ›› Issue (4): 51-61.doi: 10.11707/j.1001-7488.20220406
• Research papers • Previous Articles Next Articles
Jing Yang1,Yaoyi Zhang1,Siyi Tan1,Shu Liao1,2,Dingyi Wang1,2,Kai Yue1,2,Xiangyin Ni1,2,*,Fuzhong Wu1,2,Yusheng Yang1,2
Received:2020-10-06
Online:2022-04-25
Published:2022-07-20
Contact:
Xiangyin Ni
CLC Number:
Jing Yang,Yaoyi Zhang,Siyi Tan,Shu Liao,Dingyi Wang,Kai Yue,Xiangyin Ni,Fuzhong Wu,Yusheng Yang. Effects of Different Tree Species on the Compositions of Soil Aggregates and Their Carbon and Nitrogen Concentrations in Mid-Subtropical Forests[J]. Scientia Silvae Sinicae, 2022, 58(4): 51-61.
Table 1
Growth of the six tree species after 7 years of plantation in the common-garden (Mean±SE, n = 3)"
| 树种 Tree species | DBH/cm | 树高 Tree height/m | 郁闭度 Canopy density | 林下植被盖度 Understory vegetation coverage(%) | 叶片生物量 Leaf biomass/(t·hm-2) | 树枝生物量 Twig biomass/(t·hm-2) | 树干生物量 Stem biomass/(t·hm-2) |
| 木荷S. superba | 8.79±0.46c | 6.44±0.29a | 0.75±0.03a | 23±14b | 1.25±0.08bc | 1.43±0.12c | 7.02±0.62b |
| 米槠C. carlesii | 11.82±0.47bc | 7.20±0.80b | 0.47±0.13a | 60±17ab | 1.00±0.19c | 1.92±0.38c | 7.50±1.53b |
| 杜英E. decipiens | 12.63±0.34b | 6.80±0.21b | 0.65±0.10a | 73±12a | 1.68±0.12bc | 7.72±1.15a | 21.04±2.66a |
| 香樟C. camphora | 8.79±1.19c | 5.96±0.57b | 0.80±0.03a | 83±3a | 1.95±0.32b | 3.26±0.75bc | 10.31±2.05b |
| 杉木C. lanceolata | 16.81±1.18a | 11.33±0.69b | 0.53±0.18a | 83±7a | 5.07±0.34a | 4.47±0.30b | 20.28±1.37a |
| 马尾松P. massoniana | 9.71±0.56bc | 6.29±0.37b | 0.53±0.03a | 67±9ab | 0.86±0.11c | 1.85±0.24c | 7.65±1.00b |
Table 2
Three-way ANOVA testing for the effects of tree species, soil layer and particle size on mass percentage, carbon and nitrogen concentration and storage, and carbon to nitrogen ratio in soil aggregates"
| 项目Item | 树种 Tree species | 土层 Soil depth | 粒径 Particle size | 树种×土层 Tree species×soil layer | 树种×粒径 Tree species×particle size | 土层×粒径 Soil layer×particle size | 树种×土层×粒径 Tree species×soil layer×particle size | |||||||||||||
| F | P | F | P | F | P | F | P | F | P | F | P | F | P | |||||||
| 土壤团聚体质量百分含量 Mass percentage of soil agglomerates | < 0.001 | 1.000 | < 0.001 | 1.000 | 779.218 | < 0.001 | < 0.001 | 1.000 | 7.824 | < 0.001 | 6.131 | < 0.001 | 0.761 | 0.895 | ||||||
| 土壤团聚体有机碳含量 Organic carbon concentration of soil agglomerates | 23.604 | < 0.001 | 194.187 | < 0.001 | 8.311 | < 0.001 | 1.742 | 0.028 | 0.192 | 1.000 | 1.350 | 0.192 | 0.170 | 1.000 | ||||||
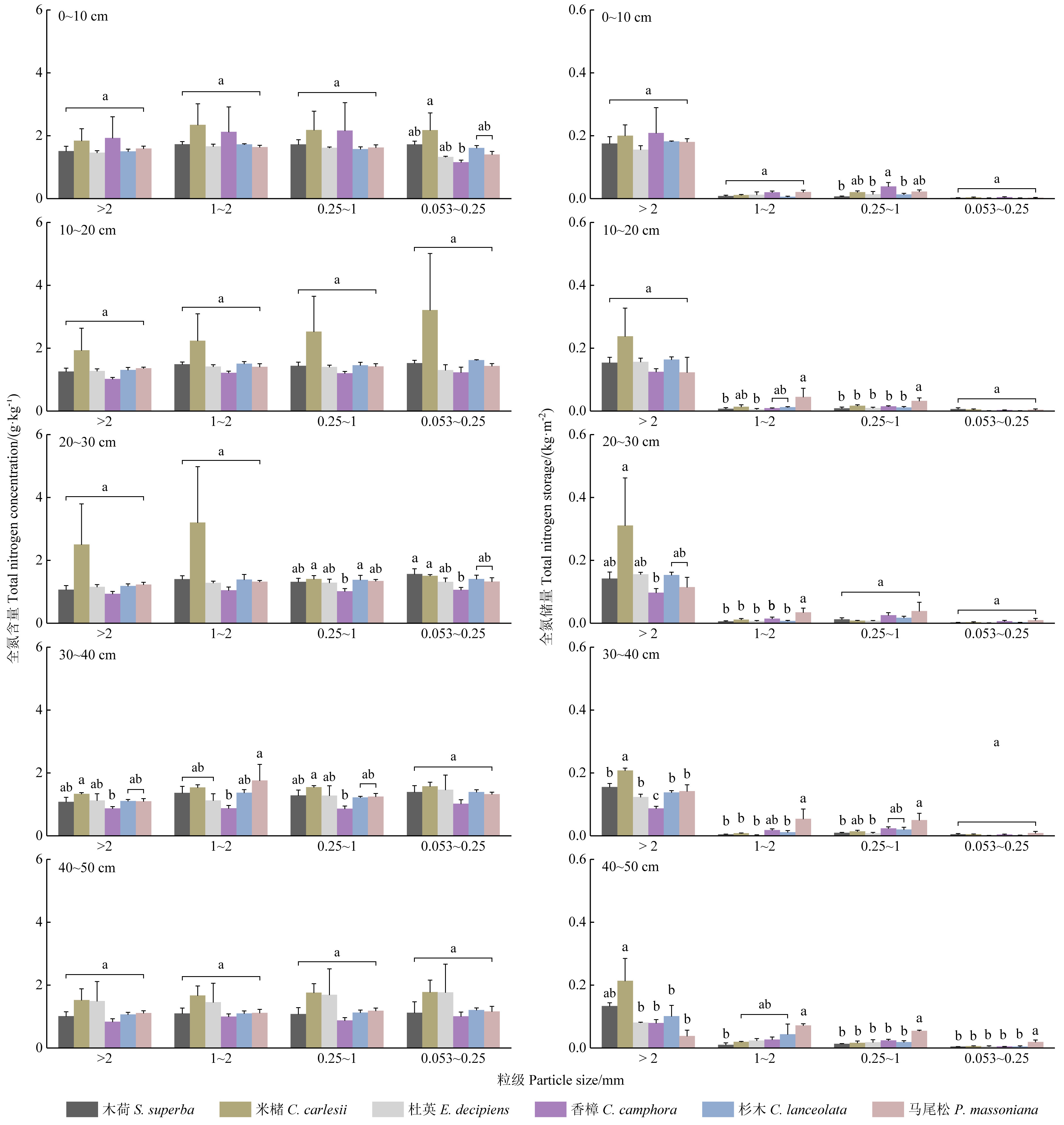
| 土壤团聚体全氮含量Total nitrogen concentration of soil agglomerates | 10.126 | 0.001 | 5.811 | 0.001 | 1.328 | 0.266 | 1.010 | 0.451 | 0.165 | 1.000 | 0.407 | 0.960 | 0.336 | 1.000 | ||||||
| 土壤团聚体碳氮比 C/N ratio of soil agglomerates | 5.472 | < 0.001 | 58.427 | < 0.001 | 6.108 | < 0.001 | 2.324 | 0.002 | 0.204 | 0.999 | 0.188 | 0.999 | 0.280 | 1.000 | ||||||
| 土壤团聚体有机碳储量 Organic carbon storage of soil agglomerates | 3.230 | 0.008 | 24.226 | < 0.001 | 793.906 | < 0.001 | 0.317 | 0.998 | 8.985 | < 0.001 | 26.422 | < 0.001 | 0.795 | 0.851 | ||||||
| 土壤团聚体全氮储量 Total nitrogen storage of soil agglomerates | 3.357 | 0.006 | 0.766 | 0.548 | 243.609 | < 0.001 | 0.472 | 0.975 | 4.881 | < 0.001 | 2.679 | 0.002 | 0.535 | 0.997 | ||||||
|
蔡琼, 丁贵杰. 黔中地区一、二代马尾松人工林土壤微生物数量及生物活性研究. 林业科学研究, 2013, 26 (2): 247- 251.
doi: 10.3969/j.issn.1001-1498.2013.02.018 |
|
|
Cai Q , Ding G J . Study on soil microorganism quantity and biochemical activity of first- and second-generation of Pinus massoniana plantations in Qianzhong. Forest Research, 2013, 26 (2): 247- 251.
doi: 10.3969/j.issn.1001-1498.2013.02.018 |
|
| 陈婷, 郗敏, 孔范龙, 等. 枯落物分解及其影响因素. 生态学杂志, 2016, 35 (7): 1927- 1935. | |
| Chen T , Xi M , Kong F L , et al. A review on litter decomposition and influence factors. Chinese Journal of Ecology, 2016, 35 (7): 1927- 1935. | |
| 董莉丽. 不同土地利用类型下土壤水稳性团聚体的特征. 林业科学, 2011, 47 (4): 95- 100. | |
| Dong L L . Characteristics of soil water stable aggregates under different land-use types. Scientia Silvae Sinicae, 2011, 47 (4): 95- 100. | |
| 胡雪寒, 刘娟, 姜培坤, 等. 亚热带森林转换对不同粒径土壤有机碳的影响. 土壤学报, 2018, 55 (6): 1485- 1493. | |
| Hu X H , Liu J , Jiang P K , et al. Effects of change in forest type on soil organic carbon in soil particles relative to size in subtropical China. Acta Pedologica Sinica, 2018, 55 (6): 1485- 1493. | |
| 黄晓强, 信忠保, 赵云杰, 等. 北京山区典型人工林土壤团聚体组成及其有机碳分布特征. 水土保持学报, 2016, 30 (1): 236- 243. | |
| Huang X Q , Xin Z B , Zhao Y J , et al. Soil aggregate composition and distribution characteristics of soil organic carbon of typical plantations in mountainous area of Beijing. Journal of Soil and Water Conservation, 2016, 30 (1): 236- 243. | |
| 江仁涛, 李富程, 沈凇涛. 不同年限红柳恢复川西北高寒沙地对土壤团聚体和有机碳的影响. 水土保持学报, 2018, 32 (1): 197- 203. | |
| Jiang R T , Li F C , Shen S T . Effects of different age of alpine desertification land planted branchy tamarisk on soil aggregates and organic carbon in northwestern Sichuan. Journal of Soil and Water Conservation, 2018, 32 (1): 197- 203. | |
| 李翀, 周国模, 施拥军, 等. 不同经营措施对毛竹林生态系统净碳汇能力的影响. 林业科学, 2017, 53 (2): 1- 9. | |
| Li C , Zhou G M , Shi Y J , et al. Effects of different management measures on the net carbon sequestration capacity of moso bamboo forest ecosystem. Scientia Silvae Sinicae, 2017, 53 (2): 1- 9. | |
| 黎宏祥, 王彬, 王玉杰, 等. 不同林分类型对土壤团聚体稳定性及有机碳特征的影响. 北京林业大学学报, 2016, 38 (5): 84- 91. | |
| Li H X , Wang B , Wang Y J , et al. Impact of different forest types on stability and organic carbon of soil aggregates. Journal of Beijing Forestry University, 2016, 38 (5): 84- 91. | |
| 李帅锋, 贾呈鑫卓, 杨利华, 等. 林龄对思茅松人工林根系生物量的影响. 林业科学研究, 2018, 31 (2): 26- 33. | |
| Li S F , Jia C X Z , Yang L H , et al. Effect of stand age on root biomass in Pinus kesiya var. langbianensis plantation. Forest Research, 2018, 31 (2): 26- 33. | |
|
刘文利, 吴景贵, 傅民杰, 等. 种植年限对果园土壤团聚体分布与稳定性的影响. 水土保持学报, 2014, 28 (1): 129- 135.
doi: 10.3969/j.issn.1009-2242.2014.01.025 |
|
|
Liu W L , Wu J G , Fu M J , et al. Effect of different cultivation years on composition and stability of soil aggregate fractions in orchard. Journal of Soil and Water Conservation, 2014, 28 (1): 129- 135.
doi: 10.3969/j.issn.1009-2242.2014.01.025 |
|
|
刘小飞, 杨智杰, 谢锦升, 等. 中亚热带森林转换对地表CH4氧化的影响. 林业科学, 2012, 48 (1): 7- 12.
doi: 10.3969/j.issn.1672-8246.2012.01.002 |
|
|
Liu X F , Yang Z J , Xie J S , et al. Effects of forest conversion on CH4 oxidation rates in mid-subtropics. Scientia Silvae Sinicae, 2012, 48 (1): 7- 12.
doi: 10.3969/j.issn.1672-8246.2012.01.002 |
|
| 刘中良, 宇万太, 周烨, 等. 长期施肥对土壤团聚体分布和养分含量的影响. 土壤, 2011, 43 (5): 720- 728. | |
| Liu Z L , Yu W T , Zhou Y , et al. Effects of long-term fertilization on aggregate size distribution and nutrient content. Soils, 2011, 43 (5): 720- 728. | |
| 刘翥, 杨玉盛, 朱锦懋, 等. 中亚热带森林转换对土壤可溶性有机质数量与光谱学特征的影响. 生态学报, 2015, 35 (19): 6288- 6297. | |
| Liu Z , Yang Y S , Zhu J M , et al. Effects of forest conversion on quantities and spectroscopic characteristics of soil dissolved organic matter in subtropical China. Acta Ecologica Sinica, 2015, 35 (19): 6288- 6297. | |
|
毛艳玲, 杨玉盛, 刑世和, 等. 土地利用方式对土壤水稳性团聚体有机碳的影响. 水土保持学报, 2008, 22 (4): 132- 137.
doi: 10.3321/j.issn:1009-2242.2008.04.028 |
|
|
Mao Y L , Yang Y S , Xing S H , et al. Effects of land use on soil organic carbon in water-stable aggregates. Journal of Soil and Water Conservation, 2008, 22 (4): 132- 137.
doi: 10.3321/j.issn:1009-2242.2008.04.028 |
|
| 蒲嘉霖, 刘亮. 亚热带森林凋落物分解特征及水文效应. 水土保持研究, 2019, 26 (6): 165- 170. | |
| Pu J L , Liu L . Hydrology functions and decomposition characteristics of litter in subtropical forest. Research of Soil and Water Conservation, 2019, 26 (6): 165- 170. | |
| 任卫岭, 郭剑芬, 吴波波, 等. 米槠天然更新次生林皆伐地采伐剩余物叶分解及其化学组成变化. 应用生态学报, 2015, 26 (4): 1077- 1082. | |
| Ren W L , Guo J F , Wu B B , et al. Decomposition dynamics of leaf litter in logging residue of a secondary Castanopsis carlesii plantation and its chemical composition changes. Chinese Journal of Applied Ecology, 2015, 26 (4): 1077- 1082. | |
| 邵帅, 何红波, 张威, 等. 土壤有机质形成与来源研究进展. 吉林师范大学学报(自然科学版), 2017, 38 (1): 126- 130. | |
| Shao S , He H B , Zhang W , et al. Soil organic matter formation and origin: a review. Journal of Jilin Normal University (Natural Science Edition), 2017, 38 (1): 126- 130. | |
| 宋莉群, 王义东, 李冬初, 等. 长期退耕对红壤团聚体碳氮磷生态化学计量特征的影响. 生态学杂志, 2019, 38 (6): 1707- 1715. | |
| Song L Q , Wang Y D , Li D C , et al. Long-term effects of natural restoration on C: N: P ecological stoichiometry in aggregates of red soil. Chinese Journal of Ecology, 2019, 38 (6): 1707- 1715. | |
|
宋贤冲, 覃其云, 王会利, 等. 广西马尾松林地土壤微生物数量与理化性质的季节动态变化. 广西林业科学, 2016, 45 (4): 377- 380.
doi: 10.3969/j.issn.1006-1126.2016.04.007 |
|
|
Song X C , Qin Q Y , Wang H L , et al. Seasonal dynamic change of soil microbial population and physicochemical properties in stands of Pinus massoniana, Guangxi. Guangxi Forestry Science, 2016, 45 (4): 377- 380.
doi: 10.3969/j.issn.1006-1126.2016.04.007 |
|
| 孙娇, 赵发珠, 韩新辉, 等. 不同林龄刺槐林土壤团聚体化学计量特征及其与土壤养分的关系. 生态学报, 2016, 36 (21): 6879- 6888. | |
| Sun J , Zhao F Z , Han X H , et al. Ecological stoichiometry of soil aggregates and relationship with soil nutrients of different-aged Robinia pseudoacacia forests. Acta Ecologica Sinica, 2016, 36 (21): 6879- 6888. | |
| 王富华, 吕盛, 黄容, 等. 缙云山4种森林植被土壤团聚体有机碳分布特征. 环境科学, 2019, 40 (3): 1504- 1511. | |
| Wang F H , Lü S , Huang R , et al. Distribution of organic carbon in soil aggregates from four kinds of forest vegetation on Jinyun Mountain. Environmental Science, 2019, 40 (3): 1504- 1511. | |
| 汪景宽, 徐英德, 丁凡, 等. 植物残体向土壤有机质转化过程及其稳定机制的研究进展. 土壤学报, 2019, 56 (3): 528- 540. | |
| Wang J K , Xu Y D , Ding F , et al. Process of plant residue transforming into soil organic matter and mechanism of its stabilization: a review. Acta Pedologica Sinica, 2019, 56 (3): 528- 540. | |
|
王清奎, 汪思龙. 土壤团聚体形成与稳定机制及影响因素. 土壤通报, 2005, 36 (3): 415- 421.
doi: 10.3321/j.issn:0564-3945.2005.03.031 |
|
|
Wang Q K , Wang S L . Forming and stable mechanism of aggregate and influencing factors. Chinese Journal of Soil Science, 2005, 36 (3): 415- 421.
doi: 10.3321/j.issn:0564-3945.2005.03.031 |
|
| 王薪琪, 王传宽. 东北5种温带人工林表层土壤碳氮含量的分异. 应用生态学报, 2019, 30 (6): 1911- 1918. | |
| Wang X Q , Wang C K . Variations in topsoil carbon and nitrogen contents of five temperate plantations in Northeast China. Chinese Journal of Applied Ecology, 2019, 30 (6): 1911- 1918. | |
|
王薪琪, 王传宽, 韩轶. 树种对土壤有机碳密度的影响: 5种温带树种同质园试验. 植物生态学报, 2015, 39 (11): 1033- 1043.
doi: 10.17521/cjpe.2015.0100 |
|
|
Wang X Q , Wang C K , Han Y . Effects of tree species on soil organic carbon density: a common garden experiment of five temperate tree species. Chinese Journal of Plant Ecology, 2015, 39 (11): 1033- 1043.
doi: 10.17521/cjpe.2015.0100 |
|
| 王心怡, 周聪, 冯文瀚, 等. 不同林龄杉木人工林土壤团聚体及其有机碳变化特征. 水土保持学报, 2019, 33 (5): 126- 131. | |
| Wang X Y , Zhou C , Feng W H , et al. Changes of soil aggregates and its organic carbon in Chinese fir plantations with different forest ages. Journal of Soil and Water Conservation, 2019, 33 (5): 126- 131. | |
|
解宪丽, 孙波, 周慧珍, 等. 中国土壤有机碳密度和储量的估算与空间分布分析. 土壤学报, 2004, 41 (1): 35- 43.
doi: 10.3321/j.issn:0564-3929.2004.01.006 |
|
|
Xie X L , Sun B , Zhou H Z , et al. Organic carbon density and storage in soils of China and spatial analysis. Acta Pedologica Sinica, 2004, 41 (1): 35- 43.
doi: 10.3321/j.issn:0564-3929.2004.01.006 |
|
| 杨静, 张耀艺, 谭思懿, 等. 亚热带不同树种土壤水源涵养功能. 生态学报, 2020, 40 (13): 4594- 4604. | |
| Yang J , Zhang Y Y , Tan S Y , et al. Soil water conservation functions of different plantations in subtropical forest. Acta Ecologica Sinica, 2020, 40 (13): 4594- 4604. | |
| 杨智杰, 陈光水, 谢锦升, 等. 杉木、木荷纯林及其混交林凋落物量和碳归还量. 应用生态学报, 2010, 21 (9): 2235- 2240. | |
| Yang Z J , Chen G S , Xie J S , et al. Litter fall production and carbon return in Cunninghamia lanceolata, Schima superba, and their mixed plantations. Chinese Journal of Applied Ecology, 2010, 21 (9): 2235- 2240. | |
| 由政, 姚旭, 景航, 等. 不同演替阶段群落根系分布与土壤团聚体特征的协同变化. 水土保持研究, 2016, 23 (6): 20- 25. | |
| You Z , Yao X , Jing H , et al. Coordinated variation between root distributions and soil aggregate characteristics at different successional stages. Research of Soil and Water Conservation, 2016, 23 (6): 20- 25. | |
| 苑亚茹, 李娜, 邹文秀, 等. 典型黑土区不同生态系统土壤团聚体有机碳分布特征. 生态学报, 2018, 38 (17): 6025- 6032. | |
| Yuan Y R , Li N , Zou W X , et al. Distribution characteristics of organic carbon in aggregates of soils of three ecosystems in typical Mollisols of Northeast China. Acta Ecologica Sinica, 2018, 38 (17): 6025- 6032. | |
| 张耀艺, 倪祥银, 杨静, 等. 中亚热带同质园不同树种氮磷重吸收及化学计量特征. 应用生态学报, 2021, 32 (4): 1154- 1162. | |
| Zhang Y Y , Ni X Y , Yang J , et al. Nitrogen and phosphorus resorption and stoichiometric characteristics of different tree species in a mid-subtropical common-garden, China. Chinese Journal of Applied Ecology, 2021, 32 (4): 1154- 1162. | |
| 郑宪志, 张星星, 林伟盛, 等. 不同树种对土壤可溶性有机碳和微生物生物量碳的影响. 福建师范大学学报(自然科学版), 2018, 34 (6): 86- 93. | |
| Zheng X Z , Zhang X X , Lin W S , et al. Ects of different tree species on soil dissolved organic carbon and microbial biomass carbon in subtropical China. Journal of Fujian Normal University (Natural Science Edition), 2018, 34 (6): 86- 93. | |
| 周学雅, 陈志杰, 耿世聪, 等. 氮沉降对长白山森林土壤团聚体内碳、氮含量的影响. 应用生态学报, 2019, 30 (5): 1543- 1552. | |
| Zhou X Y , Chen Z J , Geng S C , et al. Effects of nitrogen deposition on carbon and nitrogen contents in soil aggregates in temperate forests of Changbai Mountain, Northeast China. Chinese Journal of Applied Ecology, 2019, 30 (5): 1543- 1552. | |
| 字洪标, 向泽宇, 王根绪, 等. 青海不同林分土壤微生物群落结构(PLFA). 林业科学, 2017, 53 (3): 21- 32. | |
| Zi H B , Xiang Z Y , Wang G X , et al. Profile of soil microbial community under different stand types in Qinghai Province. Scientia Silvae Sinicae, 2017, 53 (3): 21- 32. | |
| Adesodun J K , Adeyemi E F , Oyegoke C O . Distribution of nutrient elements within water-stable aggregates of two tropical agro-ecological soils under different land uses. Soil and Tillage Research, 2007, 92 (112): 190- 197. | |
|
Balesdent J , Basile-Doelsch I , Chadoeuf J , et al. Atmosphere-soil carbon transfer as a function of soil depth. Nature, 2018, 559 (7715): 599- 602.
doi: 10.1038/s41586-018-0328-3 |
|
|
Bucka F B , Kölbl A , Uteau D , et al. Organic matter input determines structure development and aggregate formation in artificial soils. Geoderma, 2019, 354, 113881.
doi: 10.1016/j.geoderma.2019.113881 |
|
|
Dungait J A J , Hopkins D W , Gregory A S , et al. Soil organic matter turnover is governed by accessibility not recalcitrance. Global Change Biology, 2012, 18 (6): 1781- 1796.
doi: 10.1111/j.1365-2486.2012.02665.x |
|
|
Ferguson B , Lukens W E , El Masri B , et al. Alluvial landform and the occurrence of paleosols in a humid-subtropical climate have an effect on long-term soil organic carbon storage. Geoderma, 2020, 371, 114388.
doi: 10.1016/j.geoderma.2020.114388 |
|
|
Gholoubi A , Emami H , Caldwell T . Deforestation effects on soil aggregate stability quantified by the high energy moisture characteristic method. Geoderma, 2019, 355, 113919.
doi: 10.1016/j.geoderma.2019.113919 |
|
|
Guan F Y , Tang X L , Fan S H , et al. Changes in soil carbon and nitrogen stocks followed the conversion from secondary forest to Chinese fir and Moso bamboo plantations. Catena, 2015, 133, 455- 460.
doi: 10.1016/j.catena.2015.03.002 |
|
|
Han L F , Sun K , Jin J , et al. Some concepts of soil organic carbon characteristics and mineral interaction from a review of literature. Soil Biology and Biochemistry, 2016, 94, 107- 121.
doi: 10.1016/j.soilbio.2015.11.023 |
|
|
Hemingway J D , Rothman D H , Grant K E , et al. Mineral protection regulates long-term global preservation of natural organic carbon. Nature, 2019, 570 (7760): 228- 231.
doi: 10.1038/s41586-019-1280-6 |
|
|
Lavallee J M , Soong J L , Cotrufo M F . Conceptualizing soil organic matter into particulate and mineral-associated forms to address global change in the 21st century. Global Change Biology, 2020, 26 (1): 261- 273.
doi: 10.1111/gcb.14859 |
|
|
Lewis T , Smith T E , Hogg B , et al. Conversion of sub-tropical native vegetation to introduced conifer forest: impacts on below-ground and above-ground carbon pools. Forest Ecology and Management, 2016, 370, 65- 75.
doi: 10.1016/j.foreco.2016.03.058 |
|
|
Ni X Y , Liao S , Tan S Y , et al. The vertical distribution and control of microbial necromass carbon in forest soils. Global Ecology and Biogeography, 2020, 29 (10): 1829- 1839.
doi: 10.1111/geb.13159 |
|
|
Six J , Elliott E T , Paustian K . Soil macroaggregate turnover and microaggregate formation: a mechanism for C sequestration under no-tillage agriculture. Soil Biology and Biochemistry, 2000, 32 (14): 2099- 2103.
doi: 10.1016/S0038-0717(00)00179-6 |
|
|
Sokol N W , Bradford M A . Microbial formation of stable soil carbon is more efficient from belowground than aboveground input. Nature Geoscience, 2019a, 12 (1): 46- 53.
doi: 10.1038/s41561-018-0258-6 |
|
|
Sokol N W , Kuebbing S E , Karlsen-Ayala E , et al. Evidence for the primacy of living root inputs, not root or shoot litter, in forming soil organic carbon. New Phytologist, 2019b, 221 (1): 233- 246.
doi: 10.1111/nph.15361 |
|
|
Totsche K U , Amelung W , Gerzabek M H , et al. Microaggregates in soils. Journal of Plant Nutrition and Soil Science, 2018, 181 (1): 104- 136.
doi: 10.1002/jpln.201600451 |
|
|
Wang X Q , Wang C K . Mycorrhizal associations differentiate soil respiration in five temperate monocultures in Northeast China. Forest Ecology and Management, 2018, 430, 78- 85.
doi: 10.1016/j.foreco.2018.08.001 |
|
| Yan Y , Tian J , Fan M S , et al. Soil organic carbon and total nitrogen in intensively managed arable soils. Agriculture, Ecosystems & Environment, 2012, 150, 102- 110. |
| Viewed | ||||||
|
Full text |
|
|||||
|
Abstract |
|
|||||