林业科学 ›› 2026, Vol. 62 ›› Issue (1): 122-132.doi: 10.11707/j.1001-7488.LYKX20250266
焦阳1,2,乔静1,2,曾智新1,2,王深1,2,杨雪鑫1,张英睿1,杨玉冰1,赵禹森1,舒文波1,2,*(
)
收稿日期:2025-04-29
修回日期:2025-08-13
出版日期:2026-01-25
发布日期:2026-01-14
通讯作者:
舒文波
E-mail:wenboshu@mail.hzau.edu.cn
基金资助:
Yang Jiao1,2,Jing Qiao1,2,Zhixin Zeng1,2,Shen Wang1,2,Xuexin Yang1,Yingrui Zhang1,Yubing Yang1,Yusen Zhao1,Wenbo Shu1,2,*(
)
Received:2025-04-29
Revised:2025-08-13
Online:2026-01-25
Published:2026-01-14
Contact:
Wenbo Shu
E-mail:wenboshu@mail.hzau.edu.cn
摘要:
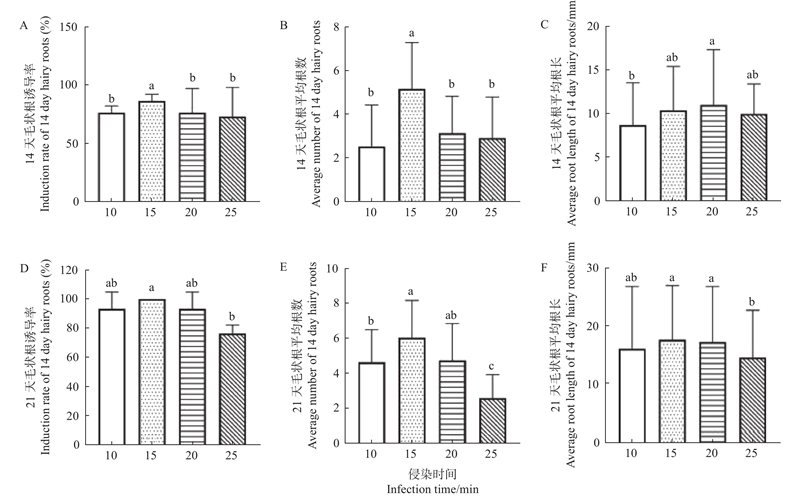
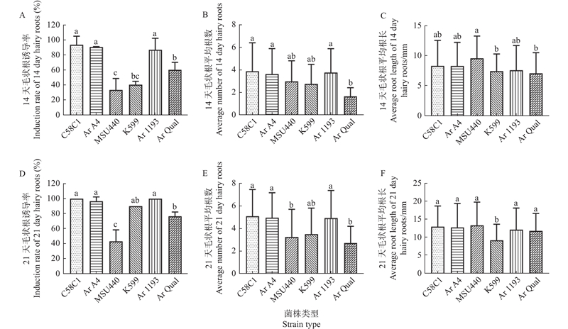
目的: 针对药用植物毛状根本源转化困难的技术难题,基于异源转化技术发展潜力,选用速生型84K杨构建高效毛状根遗传转化体系。方法: 本研究以84K杨组培苗为材料,通过比较菌株类型、外植体类型、菌液浓度、侵染时间,构建高效的毛状根遗传转化体系。进一步克隆金钗石斛萜类生物碱合成途径下游基因LOC110095726(LOC2),评估异源转化效果。结果: 最佳的诱导菌株是C58C1,21天毛状根诱导率达100%,诱导的平均根数(5.06 ± 2.36)条,平均根长为(12.83 ± 5.75) mm,且转化率为46.67% ± 11.55%;最佳的诱导外植体是叶片,14天毛状根诱导率达93.33% ± 11.55%,诱导的平均根数(3.89 ± 2.53)条,平均根长为(8.36 ± 4.24) mm;最佳的侵染浓度是0.8 (OD600),21天毛状根诱导率达100%,诱导的平均根数为6.03 ± 2.10条,平均根长为17.77 ± 9.23 mm;最佳的侵染时间是15 min,21天毛状根诱导率达100%,诱导的平均根数为6.03 ± 2.10条,平均根长为17.76 ± 9.23 mm。成功克隆了金钗石斛LOC2基因到过表达载体,并转入发根农杆菌C58C1中,获得了LOC2的阳性毛状根。结论: 84K杨毛状根最佳的遗传转化体系为菌液浓度(OD600)0.8的C58C1菌液侵染叶片15 min。这套方法以其简便、快捷、稳定性高等优点,可在药用植物代谢物活性成分功能验证和高活性成分植物创制中应用。该体系不仅适用于代谢途径相似的药用植物活性成分功能验证,也能为规模化生产药用活性成分提供可靠的技术基础。
中图分类号:
焦阳,乔静,曾智新,王深,杨雪鑫,张英睿,杨玉冰,赵禹森,舒文波. 84K杨组培苗高效毛状根遗传转化体系构建[J]. 林业科学, 2026, 62(1): 122-132.
Yang Jiao,Jing Qiao,Zhixin Zeng,Shen Wang,Xuexin Yang,Yingrui Zhang,Yubing Yang,Yusen Zhao,Wenbo Shu. Construction of an Efficient Hairy Root Genetic Transformation System in 84K Poplar Tissue Culture Seedlings[J]. Scientia Silvae Sinicae, 2026, 62(1): 122-132.
| 戴均贵, 朱蔚华. 发根培养技术在植物次生代谢物生产中的应用. 植物生理学通讯, 1999, 35 (1): 69- 76. | |
| Dai J G, Zhu W H. Application of hairy-root culture technology to production of plant secondary metabolites. Plant Physiology Communications, 1999, 35 (1): 69- 76. | |
| 杜 哲, 孙吉康, 闫钟荣, 等. 药用植物毛状根药用成分合成调控机制研究进展与应用前景. 中药材, 2023, 46 (1): 258- 264. | |
| Du Z, Sun J K, Yan Z R, et al. Research progress and application prospects of the regulatory mechanisms of medicinal component synthesis in hairy roots of medicinal plants. Journal of Chinese Medicinal Materials, 2023, 46 (1): 258- 264. | |
| 胡 菊. 2019. 蓝花丹毛状根遗传转化体系建立及白花丹素生物合成机制研究. 成都: 四川农业大学. | |
| Hu J. 2019. Establishment of genetic transformation system of hairy roots and study on biosynthesis mechanism of plumbagin in Plumbago auriculata Lam. Chengdu: Sichuan Agriculture University. [in Chinese] | |
| 胡 琼, 任国平. 资源植物毛状根培育及应用研究进展. 北方园艺, 2020 (6): 141- 148. | |
| Hu Q, Ren G P. Advances in the cultivation and application research of hairy roots of resource plants. Northern Horticulture, 2020 (6): 141- 148. | |
| 焦 阳, 张琦琦, 邱明萱, 等. 植物毛状根诱导及应用研究进展. 湖北林业科技, 2024, 53 (6): 66- 69,76. | |
| Jiao Y, Zhang Q Q, Qiu M X, et al. Research progress on induction and application of plant hairy roots. Hubei Forestry Science and Technology, 2024, 53 (6): 66- 69,76. | |
| 李 贵. 2020. 萜类合成酶基因sMpGPPS调节植物生长研究. 北京: 中国林业科学研究院. | |
| Li G. 2020. Study on the regulation of plant growth by terpene synthesis gene sMpGPPS. Beijing: Chinese Academy of Forestry. [in Chinese] | |
| 李文龙, 王媛媛, 张芳芳, 等. 药用植物毛状根技术的研究. 安徽农业科学, 2015, 43 (3): 44- 46. | |
| Li W L, Wang Y Y, Zhang F F, et al. Study on hairy roots of medicinal plant technology. Journal of Anhui Agricultural Sciences, 2015, 43 (3): 44- 46. | |
| 林 丽, 范海延, 潘 野, 等. 发根农杆菌Ri质粒及其在植物次生代谢物质生产中的应用. 北方园艺, 2007 (11): 94- 97. | |
| Lin L, Fan Y H, Pan Y, et al. Studies on Agrobacterium rhizogenes and its application to plant secondary metabolit. Northern Horticulture, 2007 (11): 94- 97. | |
| 刘锦红, 李思敏, 王紫莹, 等. 基因工程在药用植物研究中的应用及其发展前景. 热带农业科学, 2020, 40 (5): 52- 56. | |
| Liu J H, Li S M, Wang Z Y, et al. Research progress and application perspectives of genetic engineering on medical plants. Chinese Journal of Tropical Agriculture, 2020, 40 (5): 52- 56. | |
| 刘 彤, 杨淑慎, 方荣锋, 等. Ri质粒介导的毛状根体系建立及其在植物次生代谢产物合成中的研究进展. 植物科学学报, 2015, 33 (2): 264- 270. | |
| Liu T, Yang S S, Fang R F, et al. Establishment of hairy root system mediated by Ri plasmid and its advances in biosynthesis of plant secondary metabolites. Plant Science Journal, 2015, 33 (2): 264- 270. | |
| 马 曦, 张金睿, 庄红梅, 等. 发根农杆菌介导的芜菁高效遗传转化体系建立. 园艺学报, 2025, 52 (5): 1389- 1398. | |
| Ma X, Zhang J R, Zhuang H M, et al. Establishment of an efficient genetic transformation system mediated by Agrobacterium rhizogenes in Turnip. Acta Horticulturae Sinica, 2025, 52 (5): 1389- 1398. | |
| 孟凡娟, 王秋玉, 谢立波, 等. 利用发根农杆菌诱导毛状根的研究进展. 北方园艺, 2008 (12): 81- 83. | |
| Meng F J, Wang Q Y, Xie L B, et al. Progress on the induction of hairy root by Agrobacterium rhizogenes. Northern Horticulture, 2008 (12): 81- 83. | |
| 潘 野, 王晓峰, 林 丽, 等. 发根农杆菌诱导植物毛状根形成的研究进展. 辽宁农业科学, 2007 (5): 31- 33. | |
| Pan Y, Wang X F, Lin L, et al. Research progress on Agrobacterium rhizogenes-induced hairy root formation in plants. Liaoning Agricultural Sciences, 2007 (5): 31- 33. | |
| 邵宏波. 转基因植物药物的开发研究评述. 广西科学, 2002, 9 (1): 60- 63. | |
| Shao H B. An outlook on the developmental research of transgenic plant drug. Guangxi Sciences, 2002, 9 (1): 60- 63. | |
| 王承海. 2020. 影响植物组织培养生产次生代谢产物的因素. 农村经济与科技, 31(4): 34, 48. | |
| Wang C H. 2020. Factors influencing the production of secondary metabolites in plant tissue culture. Rural Economy and Science, 31(4): 34, 48. [in Chinese] | |
| 吴 萼, 张 瑞, 张 超, 等. 发根农杆菌Ri质粒介导的植物基因工程及应用. 杭州师范大学学报(自然科学版), 2018, 17 (5): 520- 525,554. | |
| Wu E, Zhang R, Zhang C, et al. Plant genetic engineering application with Ri plasmid of Agrobacterium rhizogenes. Journal of Hangzhou Normal University (Natural Science Edition), 2018, 17 (5): 520- 525,554. | |
| 谢 静. 生物技术与药用植物次生代谢产物. 西南军医, 2007 (3): 89- 90. | |
| Xie J. Biotechnology and secondary metabolites of medicinal plants. Journal of Military Surgeon in Southwest China, 2007 (3): 89- 90. | |
| 杨秀淦, 高 帅, 王洪峰. Ri质粒诱导药用植物毛状根技术及应用. 广东林业科技, 2012, 28 (5): 67- 73. | |
| Yang X G, Gao S, Wang H F. Research prospect on hairy root culture of medicinal herbs. Guangdong Forestry Science and Technology, 2012, 28 (5): 67- 73. | |
| 杨雪飞. 2007. 基因枪介导的LEA3基因对石斛的遗传转化研究. 合肥: 合肥工业大学. | |
| Yang X F. 2007. Study on genetic transformation of Dendrobium candidumn Wall. ex Lindl with LEA3 gene by particle bombardment. Hefei: Hefei University of Technology. [in Chinese] | |
| 张琦琦. 2024. ‘84K’杨内生菌脱菌体系及PagTMK家族部分形成层高表达基因功能研究. 武汉: 华中农业大学. | |
| Zhang Q Q. 2024. Endophytes debacterization system and functional studyofsomecambium high-expression genesin the PagTMK family of '84K'. Wuhan: Huazhong Agricultural University. [in Chinese] | |
| 张 兴, 刘晓娟, 吕巧玲, 等. 毛状根生产次生代谢产物的研究进展. 化工进展, 2007, 26 (9): 1228- 1232. | |
| Zhang X, Liu X J, Lü Q L, et al. Progress of production of secondary metabolites by hairy roots. Chemical Industry and Engineering Progress, 2007, 26 (9): 1228- 1232. | |
| 朱智慧, 晁二昆, 钱广涛, 等. 药用植物毛状根研究体系及应用方向. 中国现代中药, 2019, 21 (11): 1475- 1481,1496. | |
| Zhu Z H, Chao E K, Qian G T, et al. Hairy root system and its application in medicinal plants. Modern Chinese Medicine, 2019, 21 (11): 1475- 1481,1496. | |
|
Akutsu M, Ishizaki T, Sato H. Transformation of the monocotyledonous Alstroemeria by Agrobacterium tumefaciens. Plant Cell Reports, 2004, 22 (8): 561- 568.
doi: 10.1007/s00299-003-0729-z |
|
|
Chiyo N, Seki H, Kanamoto T, et al. Glycyrrhizin production in licorice hairy roots based on metabolic redirection of triterpenoid biosynthetic pathway by genome editing. Plant Cell Physiology, 2024, 65 (2): 185- 198.
doi: 10.1093/pcp/pcad161 |
|
| Christou P. Strategies for variety-independent genetic transformation of important cereals, legumes and woody species utilizing particle bombardment. Euphytica, 1995, 85 (1): 13- 27. | |
|
Gutierrez-Valdes N, Häkkinen S T, Lemasson C, et al. Hairy root cultures—a versatile tool with multiple applications. Frontiers in Plant Science, 2020, 11, 33.
doi: 10.3389/fpls.2020.00033 |
|
| Hou W N, Shakya P, Franklin G. A perspective on Hypericum perforatum genetic transformation. Frontiers in Plant Science, 2016, 7, 879. | |
|
Jiang Y, He G H, Li R Q, et al. Functional validation of the cytochrome P450 family PgCYP309 gene in Panax ginseng. Biomolecules, 2024, 14 (6): 715.
doi: 10.3390/biom14060715 |
|
|
Li J H, Mutanda I, Wang K B, et al. Chloroplastic metabolic engineering coupled with isoprenoid pool enhancement for committed taxanes biosynthesis in Nicotiana benthamiana. Nature Communications, 2019, 10 (1): 4850.
doi: 10.1038/s41467-019-12879-y |
|
|
Li Q H, Zhang X Y, Zhao P L, et al. Metal tolerance protein CsMTP4 has dual functions in maintaining zinc homeostasis in tea plant. Journal of Hazardous Materials, 2024a, 471, 134308.
doi: 10.1016/j.jhazmat.2024.134308 |
|
|
Li Y P, Yang Y K, Li L, et al. Advanced metabolic engineering strategies for increasing artemisinin yield in Artemisia annua L. Horticulture Research, 2024b, 11 (2): uhad292.
doi: 10.1093/hr/uhad292 |
|
|
Liu X Y, Li W X, Wang M H, et al. Establishment of hairy root system of transgenic IRT1 Brassica campestris L. and preliminary study of its effect on cadmium enrichment. International Journal of Phytoremediation, 2023, 25 (11): 1455- 1462.
doi: 10.1080/15226514.2022.2164247 |
|
|
Meng D, Yang Q, Dong B Y, et al. Development of an efficient root transgenic system for pigeon pea and its application to other important economically plants. Plant Biotechnology Journal, 2019, 17 (9): 1804- 1813.
doi: 10.1111/pbi.13101 |
|
|
Morey K J, Peebles C A M. Hairy roots: an untapped potential for production of plant products. Frontiers in Plant Science, 2022, 13, 937095.
doi: 10.3389/fpls.2022.937095 |
|
|
Sharma P, Padh H, Shrivastava N. Hairy root cultures: a suitable biological system for studying secondary metabolic pathways in plants. Engineering in Life Sciences, 2013, 13 (1): 62- 75.
doi: 10.1002/elsc.201200030 |
|
|
Shen X, Yang T, Du Y L, et al. Research on the function of CsMYB36 based on an effective hair root transformation system. Plant Signaling and Behavior, 2024, 19 (1): 2345983.
doi: 10.1080/15592324.2024.2345983 |
|
|
Shu W B, Shi M R, Zhang Q Q, et al. Transcriptomic and metabolomic analyses reveal differences in flavonoid pathway gene expression profiles between two Dendrobium varieties during vernalization. International Journal of Molecular Sciences, 2023, 24 (13): 11039.
doi: 10.3390/ijms241311039 |
|
|
Shu W B, Zhou H J, Jiang C, et al. The auxin receptor TIR1 homolog (PagFBL1) regulates adventitious rooting through interactions with Aux/IAA28 in Populus. Plant Biotechnology Journal, 2019, 17 (2): 338- 349.
doi: 10.1111/pbi.12980 |
|
|
Wu Z G, Singh S K, Lyu R Q, et al. Metabolic engineering to enhance the accumulation of bioactive flavonoids licochalcone A and echinatin in Glycyrrhiza inflata (Licorice) hairy roots. Frontiers in Plant Science, 2022, 13, 932594.
doi: 10.3389/fpls.2022.932594 |
|
|
Yu S W, Zhu M Z, Li P, et al. Dissection of the spatial dynamics of biosynthesis, transport, and turnover of major amino acids in tea plants (Camellia sinensis). Horticulture Research, 2024, 11 (5): uhae060.
doi: 10.1093/hr/uhae060 |
| [1] | 余浩森,曾智新,乔静,张琦琦,焦阳,杨雪鑫,张英睿,杨玉冰,赵禹森,舒文波. PagTMK10介导生长素信号途径影响84K杨高生长和径向生长[J]. 林业科学, 2025, 61(9): 113-122. |
| [2] | 焦阳,王深,曾智新,乔静,余浩森,张琦琦,邱明萱,潘怡宁,舒文波. 84K杨组培苗染菌分离鉴定及脱菌技术[J]. 林业科学, 2025, 61(8): 106-115. |
| [3] | 陈赢男,胡传景,诸葛强,胡建军,尹佟明. 杨树农杆菌遗传转化研究30年[J]. 林业科学, 2022, 58(12): 114-129. |
| [4] | 岑云昕,刘佳,陈发菊,杨敬元,刘强,王韬,梁宏伟. 农杆菌介导的楸树遗传转化体系[J]. 林业科学, 2021, 57(8): 195-204. |
| [5] | 杨晓红,陈晓阳. 木糖选择系统下xylA & BADH双价基因对二色胡枝子的遗传转化[J]. 林业科学, 2021, 57(6): 74-84. |
| [6] | 刘闵豪,徐郡儡,叶靖,李周岐,范睿深,李龙. 农杆菌介导的杜仲叶片愈伤组织遗传转化体系[J]. 林业科学, 2020, 56(2): 79-88. |
| [7] | 梁璧,张佳琦,任飞,胡恒康,徐川梅,胡渊渊,黄有军,娄和强,张启香. 山核桃贝壳杉烯氧化酶基因CcKO的克隆和表达分析[J]. 林业科学, 2020, 56(10): 70-82. |
| [8] | 谷战英, 杨若楠, 陈昊. 油桐叶肉细胞原生质体分离及瞬时转化体系的建立[J]. 林业科学, 2018, 54(1): 46-53. |
| [9] | 郭建荣, 万贤崇. 杨树苗木完整植株根压的昼夜节律及其影响因素[J]. 林业科学, 2017, 53(10): 22-28. |
| [10] | 程珍霞, 胡海涛, 杨莉, 王长春, 郭卫东, 杨玲. 超表达牛奶子EutPDS提高番茄果实番茄红素含量[J]. 林业科学, 2017, 53(1): 62-69. |
| [11] | 罗在柒, 郭辉力, 杨亚东, 杨明峰, 马兰青, 王有年. 农杆菌介导虎杖芪合酶基因遗传转化壶瓶枣的研究[J]. 林业科学, 2015, 51(10): 101-109. |
| [12] | 张伟溪, 刘浡洋, 丁昌俊, 张冰玉, 黄秦军, 褚延广, 苏晓华. 欧美杨锌指蛋白转录因子基因(ZxZF)的遗传转化及抗旱性初步分析[J]. 林业科学, 2014, 50(3): 31-37. |
| [13] | 李思蒙;王永林;黄冬辉;田呈明. 杨树炭疽病菌原生质体遗传转化的建立及绿色荧光蛋白的表达[J]. , 2013, 49(5): 121-127. |
| [14] | 欧阳乐军;刘媛;黄真池;曾富华. 转TSRF 1基因尾叶桉的培育及其广谱抗病性[J]. 林业科学, 2013, 49(4): 46-53. |
| [15] | 黄艳;刘虹;袁丽;贾之春;罗克明. 过量表达LAR3和Bbchit1以提高毛白杨对叶枯病的抗性[J]. 林业科学, 2012, 48(7): 92-97. |
| 阅读次数 | ||||||
|
全文 |
|
|||||
|
摘要 |
|
|||||