林业科学 ›› 2023, Vol. 59 ›› Issue (8): 1-11.doi: 10.11707/j.1001-7488.LYKX20210821
收稿日期:2021-11-04
出版日期:2023-08-25
发布日期:2023-10-16
通讯作者:
马英杰
E-mail:xndns024@126.com
基金资助:
Ying Qiao1,2(
),Yingjie Ma2,*,Mingliang Xin2
Received:2021-11-04
Online:2023-08-25
Published:2023-10-16
Contact:
Yingjie Ma
E-mail:xndns024@126.com
摘要:
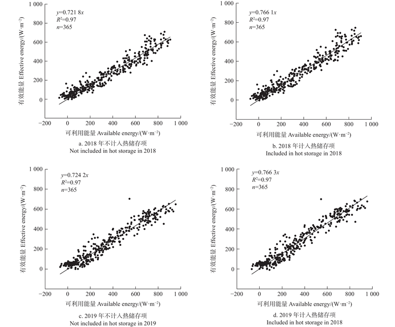
目的: 获取完整且有效的枣林通量数据,分析生态系统能量平衡,为评估干旱区枣林生态系统与大气间的能量和物质交换提供理论依据。方法: 选择R语言REddyProc包插补涡度相关法测量的通量数据,采用交叉验证法和能量平衡闭合度评价插补数据质量,并修正热储存项,分析2018、2019年新疆阿克苏地区枣林能量平衡闭合度与能量变化趋势。结果: 1) REddyProc包插补通量数据效果较好,交叉验证的误差统计参数为回归系数b=0.86~0.99、决定系数R2=0.86~0.95、一致性指数d=0.96~0.98、模拟效率EF=0.84~0.92、均方根误差与观测值标准差比率RSR=0.28~0.40;2) 经REddyProc包插补后,2018、2019年干旱区枣林能量平衡闭合度分别为73.45%、73.11%,有效能量和可利用能量的决定系数均为0.97;加入热储存项后,能量闭合度分别提高3.72%、2.75%,达77.17%、75.86%,增幅较小;3) 各能量分项(净辐射、潜热通量、显热通量、土壤热通量)的日均变化规律在生育期和休眠期相似,日均变化均呈以净辐射变化规律为基础的单峰变化。结论: 干旱区枣林全年能量平衡闭合度符合ChinaFlux范围,热储存项对改善枣林能量平衡闭合度有一定影响,可为研究枣林能量和物质交换提供理论依据。
中图分类号:
乔英,马英杰,辛明亮. 基于REddyProc的干旱区枣林通量数据插补及能量平衡分析[J]. 林业科学, 2023, 59(8): 1-11.
Ying Qiao,Yingjie Ma,Mingliang Xin. Flux Data Interpolation and Energy Balance Analysis of Jujube Forests in Arid Areas by Employing REddyProc[J]. Scientia Silvae Sinicae, 2023, 59(8): 1-11.
表1
干旱区枣林的月均气温和灌溉量"
| 时间 Time | 气温 Temperature/℃ | 灌溉量 Irrigation amount/mm | 时间 Time | 气温 Temperature/℃ | 灌溉量 Irrigation amount/mm | |
| 2018-04 | 16.58 | 65.33 | 2019-04 | 16.16 | 90.63 | |
| 2018-05 | 18.93 | 120.96 | 2019-05 | 18.26 | 130.50 | |
| 2018-06 | 22.42 | 206.94 | 2019-06 | 21.35 | 130.50 | |
| 2018-07 | 24.07 | 178.73 | 2019-07 | 24.74 | 170.38 | |
| 2018-08 | 22.71 | 162.90 | 2019-08 | 22.92 | 192.13 | |
| 2018-09 | 17.00 | 112.24 | 2019-09 | 17.74 | 134.13 | |
| 2018-10 | 10.24 | 0 | 2019-10 | 11.08 | 0 |
表2
阿克苏站点试验仪器汇总"
| 观测项目Observation items | 传感器型号 Instrument model | 厂家及产地 Manufacturer and origin | 采集频率 Acquisition frequency | 安装位置 Installation location |
| 空气温湿度 Air temperature and humidity | EL-USB-2 | OMEGA,USA | 30 min | 0.3 m,1 m,2 m,3 m,4 m |
| HMP155A | VAISALA,FL | 20 s | 6 m | |
| 水热通量Hydrothermal flux | IRGASON | Campbell Scientific,USA | 10 Hz | 6 m |
| CO2通量CO2 flux | IRGASON | Campbell Scientific,USA | 10 Hz | 6 m |
| 土壤热通量Soil heat flux | HFP01 | Campbell Scientific,USA | 10 s | ?8 cm |
| 土壤温度 Soil temperature | TCAV | Campbell Scientific,USA | 30 min | ?6 cm,?10 cm |
| Insentek Ⅱ | Insentek,CHN | 30 min | ?10 cm | |
| 土壤含水率 Soil moisture content | Hydra Probe Ⅱ | Stevens,FL | 3 0min | ?2.5 cm,?2 5 cm,?50 cm,?75 cm,?100 cm |
| Insentek Ⅱ | Insentek,CHN | 30 min | ?10 cm | |
| 太阳辐射Solar radiation | CNR4 | Campbell Scientific,USA | 1 s | 5.5 m |
| 数据采集器Data collector | CR3000 | Campbell Scientific,USA | 30 min | 1.5 m |
表3
涡度相关法监测半小时尺度通量数据质量分级"
| 质量分级 Quality classification | H数据个数 Number of H | 占比 Proportion(%) | LE数据个数 Number of LE | 占比 Proportion(%) | NEE数据个数 Number of NEE | 占比 Proportion(%) |
| 0 | 282 | 0.80 | 5 762 | 16.44 | 4 250 | 12.13 |
| 1~3 | 9 857 | 28.13 | 7 168 | 20.46 | 7 233 | 20.64 |
| 4~6 | 2 097 | 5.98 | 1 809 | 5.16 | 2 267 | 6.47 |
| 7 | 5 445 | 15.54 | 4 532 | 12.93 | 5 998 | 17.12 |
| 8 | 4 982 | 14.22 | 4 814 | 13.74 | 4 806 | 13.72 |
| 9 | 12 377 | 35.32 | 10 955 | 31.26 | 10 486 | 29.93 |
| 合计Total | 35 040 | 100.00 | 35 040 | 100 | 35 040 | 100.00 |
| 剔除数据Eliminate data | 16 640 | 47.49 | 16 775 | 47.87 | 14 736 | 42.05 |
表4
交叉验证法的误差参数统计"
| 误差统计参数 Error statistics parameters | 2018 | 2019 | |||||
| H | LE | NEE | H | LE | NEE | ||
| 回归系数 Regression coefficient(b) | 0.97 | 0.86 | 0.88 | 0.94 | 0.86 | 0.88 | |
| 决定系数 Determination coefficienti(R2) | 0.87 | 0.95 | 0.94 | 0.86 | 0.94 | 0.93 | |
| 一致性指数 Index of agreement(d) | 0.96 | 0.97 | 0.98 | 0.96 | 0.96 | 0.97 | |
| 模型模拟效率 Efficiency of simulation(EF) | 0.85 | 0.90 | 0.92 | 0.84 | 0.87 | 0.91 | |
| 均方根误差与观测值 标准差比率 RMSE-observations standard deviation ratio(RSR) | 0.39 | 0.31 | 0.28 | 0.40 | 0.36 | 0.30 | |
表5
干旱区枣林的能量平衡闭合度"
| 项目Item | 能量平衡闭合度Energy balance ratio(%) | ||||||
| 2018 | 2019 | ||||||
| 全年Year-round | 生育期 Fertility period | 休眠期 Dormant period | 全年Year-round | 生育期 Fertility period | 休眠期 Dormant period | ||
| 未计入热储存项 Not including thermal storage item | 73.45 | 75.34 | 71.31 | 73.11 | 77.60 | 68.02 | |
| 计入热储存项 Including thermal storage item | 77.17 | 80.37 | 73.54 | 75.86 | 82.16 | 68.72 | |
表6
干旱区枣林热储存项占净辐射的比例"
| 年份Year | 大气显热储存量/净辐射Atmospheric sensible heat storage/net radiation | 大气潜热储存量/ 净辐射 Latent atmospheric heat storage/net radiation | 冠层热储存量/ 净辐射 Canopy heat storage/net radiation | 土壤热储存量/ 净辐射 Soil thermal storage/net radiation | 植物光合储存量/ 净辐射 Plant photosynthetic storage/net radiation | 热储存项/净辐射 Heat storage items/net radiation |
| 2018 | 1.49 | 0.2 | 0.39 | ?0.02 | 2.32 | 4.38 |
| 2019 | 1.21 | 0.21 | 0.31 | 0.01 | 2.21 | 3.96 |
| 曹寰琦, 何 清, 金莉莉, 等. 塔克拉玛干沙漠北缘夏秋冬季地表能量平衡闭合特征. 干旱区研究, 2018, 35 (4): 830- 839. | |
| Cao H Q, He Q, Jin L L, et al. Surface energy balance closure of summer, autumn and winter in the northern margin of Taklimakan Desert. Arid Zone Research, 2018, 35 (4): 830- 839. | |
| 高红贝, 邵明安. 黑河中游绿洲春小麦生育期农田热储通量分析. 灌溉排水学报, 2015, 34 (5): 33- 40,90. | |
| Gao H B, Shao M A. Heat storage fluxes of spring wheat during growth periods in the oasis farmland in Heihe Basin. Journal of Irrigation and Drainage, 2015, 34 (5): 33- 40,90. | |
|
李宏宇, 张 强, 王春玲, 等. 空气热储存、光合作用和土壤垂直水分运动对黄土高原地表能量平衡的影响. 物理学报, 2012, 61 (15): 537- 547.
doi: 10.7498/aps.61.159201 |
|
|
Li H Y, Zhang Q, Wang C L, et al. The influences of air heat storage, plant photosynthesis and soil water movement on surface energy balance over the loess plateau. Acta Physica Sinica, 2012, 61 (15): 537- 547.
doi: 10.7498/aps.61.159201 |
|
| 李正泉, 于贵瑞, 温学发, 等. 中国通量观测网络(ChinaFLUX)能量平衡闭合状况的评价. 中国科学:地球科学, 2004, 34 (S2): 46- 56. | |
| Li Z Q, Yu G R, Wen X F, et al. Evaluation of the energy balance closure of ChinaFLUX observation network. Scientia Sinica(Terrae), 2004, 34 (S2): 46- 56. | |
|
刘允芬, 于贵瑞, 李 菊, 等. 红壤丘陵区人工林能量平衡闭合研究——以江西省泰和县千烟洲为例. 林业科学, 2006, 42 (2): 13- 20.
doi: 10.3321/j.issn:1001-7488.2006.02.003 |
|
|
Liu Y F, Yu G R, Li J, et al. Study on surface energy balance closure of a coniferous forest plantation in red earth hilly area, China: take Qianyanzhou, Taihe County, Jiangxi Province as an example. Scientia Silvae Sinicae, 2006, 42 (2): 13- 20.
doi: 10.3321/j.issn:1001-7488.2006.02.003 |
|
|
马 虹, 陈亚宁, 李卫红. 荒漠河岸柽柳(Tamarix chinensis)灌丛的能量平衡特征 . 中国沙漠, 2014, 34 (1): 108- 117.
doi: 10.7522/j.issn.1000-694X.2013.00134 |
|
|
Ma H, Chen Y N, Li W H. Characteristics of energy balance of riparian Tamarix shrubs in desert . Journal of Desert Research, 2014, 34 (1): 108- 117.
doi: 10.7522/j.issn.1000-694X.2013.00134 |
|
| 马小红, 苏永红, 鱼腾飞, 等. 荒漠河岸胡杨林生态系统涡度相关通量数据处理与质量控制方法研究. 干旱区地理, 2015, 38 (3): 626- 635. | |
| Ma X H, Su Y H, Yu T F, et al. Data processing and quality control of eddy covariance in desert riparian forest. Arid Land Geography, 2015, 38 (3): 626- 635. | |
|
乔 英, 马英杰, 辛明亮. 基于改进S-W与结构方程模型的干旱区枣园蒸散特征分析. 农业机械学报, 2021, 52 (8): 307- 317.
doi: 10.6041/j.issn.1000-1298.2021.08.032 |
|
|
Qiao Y, Ma Y J, Xin M L. Analysis of evapotranspiration characteristics of Ziziphus jujuba Mill . orchards in arid areas based on improved S-W and structural equation model. Transactions of the Chinese Society for Agricultural Machinery, 2021, 52 (8): 307- 317.
doi: 10.6041/j.issn.1000-1298.2021.08.032 |
|
| 孙 成, 江 洪, 陈云飞, 等. 我国亚热带毛竹林生长季能量通量过程及闭合度分析. 热带亚热带植物学报, 2014, 22 (1): 38- 44. | |
| Sun C, Jiang H, Chen Y F, et al. Energy flux and energy balance closure analysis of Phyllostachys edulis forest in subtropical China during growing season . Journal of Tropical and Subtropical Botany, 2014, 22 (1): 38- 44. | |
| 孙树臣, 邵明安. 热储通量对黄土高原北部柠条林地地表能量平衡的影响. 生态学报, 2018, 38 (16): 5782- 5791. | |
| Sun S C, Shao M A. Effects of heat storage on surface energy balance in Caragana forest land of northern the Loess Plateau . Acta Ecologica Sinica, 2018, 38 (16): 5782- 5791. | |
| 童应祥, 田 红. 寿县地区麦田能量平衡闭合状况分析. 中国农学通报, 2009, 25 (18): 384- 387. | |
| Tong Y X, Tian H. Analysis of energy balance closure of Shouxian wheat field. Chinese Agricultural Science Bulletin, 2009, 25 (18): 384- 387. | |
| 魏光辉. 新疆阿克苏市近50余年主要水文要素变化分析. 水资源开发与管理, 2015, 13 (3): 81- 84. | |
| Wei G H. Analysis on changes of main hydrological features during the last 50 years in Xinjiang Aksu. Water Resources Development and Management, 2015, 13 (3): 81- 84. | |
| 吴翠云, 常宏伟, 林敏娟, 等. 新疆枣产业发展现状及其问题探讨. 北方果树, 2016, (6): 41- 44. | |
| Wu C Y, Chang H W, Lin M J, et al. Development status and problem exploration of Xinjiang jujube industry. Northern Fruits, 2016, (6): 41- 44. | |
|
吴家兵, 关德新, 赵晓松, 等. 东北阔叶红松林能量平衡特征. 生态学报, 2005, 25 (10): 2520- 2526.
doi: 10.3321/j.issn:1000-0933.2005.10.009 |
|
|
Wu J B, Guan D X, Zhao X S, et al. Characteristic of the energy balance in broad-leaved Korean pine forest of northeastern China. Acta Ecologica Sinica, 2005, 25 (10): 2520- 2526.
doi: 10.3321/j.issn:1000-0933.2005.10.009 |
|
| 新疆维吾尔自治区统计局. 2020. 新疆统计年鉴. 北京: 中国统计出版社. | |
| Statistics Bureau of Xinjiang Uygur Autonomous Region. 2020. Statistical year book of Xinjiang. Beijing: China Statistics Press.[in Chinese] | |
| 徐菲楠, 田志伟, 王维真. 西北干旱区玉米农田光合作用对地表能量平衡的影响. 兰州大学学报(自然科学版), 2018, 54 (2): 224- 232. | |
| Xu F N, Tian Z W, Wang W Z. Effect of the photosynthesis on the surface energy balance in corn farmland in the arid region of northwest China. Journal of Lanzhou University (Natural Sciences), 2018, 54 (2): 224- 232. | |
|
徐自为, 刘绍民, 徐同仁, 等. 不同土壤热通量测算方法的比较及其对地表能量平衡闭合影响的研究. 地球科学进展, 2013, 28 (8): 875- 889.
doi: 10.11867/j.issn.1001-8166.2013.08.0875 |
|
|
Xu Z W, Liu S M, Xu T R, et al. The observation and calculation method of soil heat flux and its impact on the energy balance closure. Advances in Earth Science, 2013, 28 (8): 875- 889.
doi: 10.11867/j.issn.1001-8166.2013.08.0875 |
|
| 于贵瑞, 孙晓敏. 2017. 陆地生态系统通量观测的原理和方法. 2版 北京: 高等教育出版社. | |
| Yu G R, Shun X M. 2017. Principles of flux measurement in terrestrial ecosystems. 2nd. Beijing: Higher Education Press.[in Chinese] | |
| 袁再健, 沈彦俊, 褚英敏, 等. 华北平原冬小麦生长期典型农田热、碳通量特征与过程模拟. 环境科学, 2010, 31 (1): 41- 48. | |
| Yuan Z J, Shen Y J, Chu Y M, et al. Characteristics and simulation of heat and CO2 fluxes over a typical cropland during the winter wheat growing in the North China plain . Environmental Science, 2010, 31 (1): 41- 48. | |
| 岳 平, 张 强, 杨金虎, 等. 黄土高原半干旱草地地表能量通量及闭合率. 生态学报, 2011, 31 (22): 6866- 6876. | |
| Yue P, Zhang Q, Yang J H, et al. Surface heat flux and energy budget for semi-arid grassland on the Loess Plateau. Acta Ecologica Sinica, 2011, 31 (22): 6866- 6876. | |
|
张晓娟, 吴志祥, 杨 川, 等. 海南岛橡胶林能量平衡研究. 西北林学院学报, 2016, 31 (2): 77- 85.
doi: 10.3969/j.issn.1001-7461.2016.02.14 |
|
|
Zhang X J, Wu Z X, Yang C, et al. Energy balance research of the rubber plantation in Hainan Island. Journal of Northwest Forestry University, 2016, 31 (2): 77- 85.
doi: 10.3969/j.issn.1001-7461.2016.02.14 |
|
|
朱咏莉, 吴金水, 胡晶亮, 等. 亚热带稻田能量平衡闭合状况分析. 中国农学通报, 2007, 23 (8): 536- 539.
doi: 10.3969/j.issn.1000-6850.2007.08.117 |
|
|
Zhu Y L, Wu J S, Hu J L, et al. Energy balance closure at rice paddy fields in subtropical region. Chinese Agricultural Science Bulletin, 2007, 23 (8): 536- 539.
doi: 10.3969/j.issn.1000-6850.2007.08.117 |
|
| Anapalli S S, Fisher D K, Reddy K N, et al. Quantifying water and CO2 fluxes and water use efficiencies across irrigated C3 and C4 crops in a humid climate . Science of the Total Environment, 2019, 663 (46): 338- 350. | |
|
Baldocchi D, Falge E, Gu L H, et al. FLUXNET: a new tool to study the temporal and spatial variability of ecosystem-scale carbon dioxide, water vapor, and energy flux densities. Bulletin of the American Meteorological Society, 2001, 82 (11): 2415- 2434.
doi: 10.1175/1520-0477(2001)082<2415:FANTTS>2.3.CO;2 |
|
|
Blanken P D, Black T A, Neumann H H, et al. Turbulent flux measurements above and below the overstory of a boreal aspen forest. Boundary-Layer Meteorology, 1998, 89 (1): 109- 140.
doi: 10.1023/A:1001557022310 |
|
|
Blanken P D, Black T A, Yang P C, et al. Energy balance and canopy conductance of a boreal aspen forest: Partitioning overstory and understory components. Journal of Geophysical Research:Atmospheres, 1997, 102 (D24): 28915- 28927.
doi: 10.1029/97JD00193 |
|
| Boudhina N, Zitouna-Chebbi R, Mekki I, et al. 2018. Evaluating four gap-filling methods for eddy covariance measurements of evapotranspiration over hilly crop fields. Geoscientific Instrumentation, Methods and Data Systems, 7(2): 151-167. | |
|
Dou J X, Zhang Y P, Yu G R, et al. A preliminary study on the heat storage fluxes of a tropical seasonal rain forest in Xishuangbanna. Science in China Series D:Earth Sciences, 2006, 49 (2): 163- 173.
doi: 10.1007/s11430-004-5348-1 |
|
|
Falge E, Baldocchi D, Olson R, et al. Gap filling strategies for defensible annual sums of net ecosystem exchange. Agricultural and Forest Meteorology, 2001, 107 (1): 43- 69.
doi: 10.1016/S0168-1923(00)00225-2 |
|
| Heusinkveld B G, Jacobs A F G, Holtslag A A M, et al. Surface energy balance closure in an arid region: role of soil heat flux. Agricultural and Forest Meteorology, 2004, 122 (1/2): 21- 37. | |
| Hui D, Wan S, Su B, et al. Gap-filling missing data in eddy covariance measurements using multiple imputation (MI) for annual estimations. Agricultural and Forest Meteorology, 2004, 121 (1/2): 93- 111. | |
|
Hunt J E, Laubach J, Barthel M, et al. Carbon budgets for an irrigated intensively grazed dairy pasture and an unirrigated winter-grazed pasture. Biogeosciences, 2016, 13 (10): 2927- 2944.
doi: 10.5194/bg-13-2927-2016 |
|
|
Kljun N, Kormann R, Rotach M W, et al. Comparison of the Langrangian footprint. Boundary-Layer Meteorology, 2003, 106 (2): 349- 355.
doi: 10.1023/A:1021141223386 |
|
|
Kormann R, Meixner F X. An analytical footprint model for non-neutral stratification. Boundary-Layer Meteorology, 2001, 99 (2): 207- 224.
doi: 10.1023/A:1018991015119 |
|
| Leuning R. 2006. Measurements of trace gas fluxes in the atmosphere using eddy covariance: WPL corrections revisited. Handbook of Micrometeorology. Dordrecht: Kluwer Academic Publishers, 119-132. | |
|
Massman W J. A simple method for estimating frequency response corrections for eddy covariance systems. Agricultural and Forest Meteorology, 2000, 104 (3): 185- 198.
doi: 10.1016/S0168-1923(00)00164-7 |
|
| Oliphant A J, Grimmond C, Zutter H N, et al. Heat storage and energy balance fluxes for a temperate deciduous forest. Agricultural and Forest Meteorology, 2004, 126 (3/4): 185- 201. | |
|
Papale D, Reichstein M, Aubinet M, et al. Towards a standardized processing of Net Ecosystem Exchange measured with eddy covariance technique: algorithms and uncertainty estimation. Biogeosciences, 2006, 3 (4): 571- 583.
doi: 10.5194/bg-3-571-2006 |
|
|
Wang E L, Smith C J, Macdonald B, et al. Making sense of cosmic-ray soil moisture measurements and eddy covariance data with regard to crop water use and field water balance. Agricultural Water Management, 2018, 204, 271- 280.
doi: 10.1016/j.agwat.2018.04.017 |
|
| Wilson K, Goldstein A, Falge E, et al. Energy balance closure at FLUXNET sites. Agricultural and Forest Meteorology, 2002, 113 (1/2/3/4): 223- 243. | |
|
Wutzler T, Lucas-Moffat A, Migliavacca M, et al. Basic and extensible post-processing of eddy covariance flux data with REddyProc. Biogeosciences, 2018, 15 (16): 5015- 5030.
doi: 10.5194/bg-15-5015-2018 |
|
|
Zitouna-Chebbi R, Prévot L, Chakhar A, et al. Observing actual evapotranspiration from flux tower eddy covariance measurements within a hilly watershed: case study of the kamech site, cap bon peninsula, Tunisia. Atmosphere, 2018, 9 (2): 68.
doi: 10.3390/atmos9020068 |
| [1] | 乔英, 马英杰, 辛明亮. 干旱区人工枣林蒸散及植株蒸腾的模型模拟[J]. 林业科学, 2022, 58(7): 51-62. |
| [2] | 靳川,查天山,贾昕,田赟,周文君,卫腾宙. 毛乌素沙地沙柳光系统Ⅱ光保护机制和能量分配动态及其影响因子[J]. 林业科学, 2020, 56(10): 34-44. |
| [3] | 韩新生, 王彦辉, 李振华, 王艳兵, 于澎涛, 熊伟. 六盘山半干旱区华北落叶松人工林林下日蒸散特征及其影响因子[J]. 林业科学, 2019, 55(9): 11-21. |
| [4] | 汪星, 高志永, 汪有科, 聂真义, 靳姗姗, 董建国. 修剪与覆盖对黄土丘陵区枣林土壤干层的修复效应[J]. 林业科学, 2018, 54(7): 24-30. |
| [5] | 周洪华, 李卫红, 孙慧兰. 基于胡杨年轮的塔里木河下游地下水埋深历史重建[J]. 林业科学, 2018, 54(4): 11-16. |
| [6] | 冯海英, 冯仲科. 基于MODIS LST产品的山东省森林调节温度生态服务价值评估新方法[J]. 林业科学, 2018, 54(2): 10-17. |
| [7] | 王艳兵, 王彦辉, 熊伟, 姚依强, 张桐, 李振华. 六盘山半干旱区华北落叶松树干液流速率及主要影响因子的坡位差异[J]. 林业科学, 2017, 53(6): 10-20. |
| [8] | 凯丽比努尔·努尔麦麦, 玉米提·哈力克, 阿丽亚·拜都热拉, 娜斯曼·那斯尔丁. 阿克苏市街道绿地主要树种滞尘特征及价值估算[J]. 林业科学, 2017, 53(1): 101-107. |
| [9] | 陈文思, 朱清科, 刘蕾蕾, 马欢, 赵维军, 王瑜. 陕北半干旱黄土区沙棘人工林的死亡率及适宜地形因子[J]. 林业科学, 2016, 52(5): 9-16. |
| [10] | 王海珍, 韩路, 徐雅丽, 牛建龙, 于军. 灰胡杨叶片气孔导度特征及数值模拟[J]. 林业科学, 2016, 52(1): 136-142. |
| [11] | 阿丽亚·拜都热拉, 玉米提·哈力克, 塔依尔江·艾山, 凯丽比努尔·努尔麦麦提. 干旱区绿洲城市主要绿化树种最大滞尘量对比[J]. 林业科学, 2015, 51(3): 57-64. |
| [12] | 杨玉海, 李卫红, 陈亚宁, 朱成刚, 马建新. 极端干旱区自然环境下胡杨幼株对土壤渐进式干旱的生理响应[J]. 林业科学, 2013, 49(11): 171-176. |
| [13] | 柏新富;朱建军;王仲礼;谭永芹;刘林德. 干旱区木本植物盐分积累与其耐旱性的关系[J]. 林业科学, 2012, 48(7): 45-49. |
| [14] | 郭忠升;邵明安. 黄土丘陵半干旱区柠条锦鸡儿人工林对土壤水分的影响[J]. 林业科学, 2010, 46(12): 1-7. |
| [15] | 杨晓晖 于春堂 慈龙骏. 基于栅格数据的沙漠-河岸过渡带白刺沙堆空间格局分析[J]. 林业科学, 2009, 12(8): 1-8. |
| 阅读次数 | ||||||
|
全文 |
|
|||||
|
摘要 |
|
|||||