林业科学 ›› 2026, Vol. 62 ›› Issue (4): 34-44.doi: 10.11707/j.1001-7488.LYKX20250264
孔欣茹1,金星姬1,*(
),Pukkala Timo1,2,李凤日1
收稿日期:2025-04-29
出版日期:2026-04-15
发布日期:2026-04-11
通讯作者:
金星姬
E-mail:xingjijin@nefu.edu.cn
基金资助:
Xinru Kong1,Xingji Jin1,*(
),Timo Pukkala1,2,Fengri Li1
Received:2025-04-29
Online:2026-04-15
Published:2026-04-11
Contact:
Xingji Jin
E-mail:xingjijin@nefu.edu.cn
摘要:
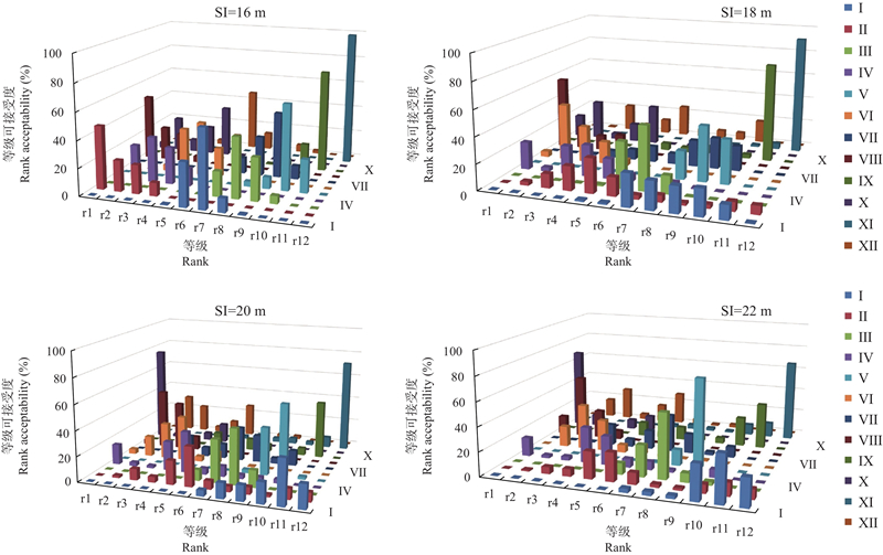
目的: 针对人工林多目标经营决策中主观偏好依赖性强、目标权重不确定导致决策结果不准确的问题,以长白落叶松人工林为研究对象,通过全面探索多维权重空间,为人工林多目标经营提供科学合理的决策依据。方法: 运用随机多准则可接受性分析(SMAA)方法,结合长白落叶松人工林林分生长模拟系统,开展不同立地条件下(SI=16、18、20、22 m)的多目标经营最优间伐方案研究。以林分年均木材产量、净现值(NPV)和轮伐期内平均碳储量为目标,探讨12种备选间伐方案(上层或下层间伐,间隔期5和10年,间伐强度10%、20%和30%)在不同立地条件下的动态效果,通过分析不同间伐方案的整体可接受性指数(
中图分类号:
孔欣茹,金星姬,Pukkala Timo,李凤日. 基于随机多准则可接受性分析的长白落叶松人工林多目标经营决策[J]. 林业科学, 2026, 62(4): 34-44.
Xinru Kong,Xingji Jin,Timo Pukkala,Fengri Li. Multi-Objective Management Decision-Making for Larix olgensis Plantations through Stochastic Multi-Criteria Acceptability Analysis (SMAA)[J]. Scientia Silvae Sinicae, 2026, 62(4): 34-44.
表1
长白落叶松人工林林分因子统计信息"
| 统计量 Statistics | 林分年龄 Stand age/a | 林分密度 Stem density/ (tree·hm?2) | 林分平均胸径 Stand average DBH/cm | 林分优势高 Stand dominant tree height/m | 林分断面积 Stand basal area/ (m2·hm?2) | 立地指数 Site index |
| 最小值Min. | 10 | 2 804 | 7.3 | 5.2 | 7.9 | 16 |
| 均值Mean | 15 | 3 043 | 8.6 | 9.9 | 16.5 | 19 |
| 最大值Max. | 20 | 3 283 | 9.9 | 14.6 | 25.0 | 22 |
| 标准差Standard deviation | 5 | 213 | 1.2 | 4.6 | 8.2 | 2.6 |
表2
备选间伐方案"
| 备选间伐方案 Alternative thinning schedules | 间伐方式 Thinning types | 株数间伐强度 Thinning intensities (%) | 首次间伐林龄 First thinning age/a | 二次间伐林龄 Second thinning age/a | 三次间伐林龄 Three thinning age/a | 主伐林龄 Final cutting age/a |
| Ⅰ | 下层间伐 Thinning from below | 10 | 20 | 25 | 30 | 35 |
| Ⅱ | 20 | 30 | 40 | 50 | ||
| Ⅲ | 20 | 20 | 25 | 30 | 35 | |
| Ⅳ | 20 | 30 | 40 | 50 | ||
| Ⅴ | 30 | 20 | 25 | 30 | 35 | |
| Ⅵ | 20 | 30 | 40 | 50 | ||
| Ⅶ | 上层间伐 Thinning from above | 10 | 20 | 25 | 30 | 35 |
| Ⅷ | 20 | 30 | 40 | 50 | ||
| Ⅸ | 20 | 20 | 25 | 30 | 35 | |
| Ⅹ | 20 | 30 | 40 | 50 | ||
| Ⅺ | 30 | 20 | 25 | 30 | 35 | |
| Ⅻ | 20 | 30 | 40 | 50 |
表3
经营目标的模拟收获"
| 立地指数 Site index/m | 备选间伐方案 Alternative thinning schedules | 年均木材产量Mean annual wood production/(m3·hm?2a?1) | 轮伐期内平均碳储量Average carbon storage over the rotation /(t·hm?2) | 净现值Net present value/(104 yuan·hm?2) |
| 16 | Ⅰ | 6.7 | 34.4 | 3.38 |
| Ⅱ | 7.1 | 55.6 | 3.87 | |
| Ⅲ | 6.5 | 32.4 | 3.28 | |
| Ⅳ | 6.9 | 52.1 | 3.87 | |
| Ⅴ | 6.2 | 29.7 | 3.19 | |
| Ⅵ | 6.6 | 47.4 | 3.84 | |
| Ⅶ | 6.7 | 26.5 | 3.55 | |
| Ⅷ | 7.4 | 43.0 | 4.91 | |
| Ⅸ | 6.3 | 21.0 | 3.51 | |
| Ⅹ | 7.1 | 33.1 | 5.14 | |
| Ⅺ | 5.8 | 17.4 | 3.25 | |
| Ⅻ | 6.5 | 26.4 | 4.75 | |
| 18 | Ⅰ | 9.3 | 47.7 | 5.07 |
| Ⅱ | 8.6 | 68.9 | 4.94 | |
| Ⅲ | 9.6 | 46.8 | 5.37 | |
| Ⅳ | 9.2 | 68.8 | 5.42 | |
| Ⅴ | 9.4 | 43.6 | 5.29 | |
| Ⅵ | 9.4 | 66.1 | 5.82 | |
| Ⅶ | 9.9 | 37.6 | 5.81 | |
| Ⅷ | 10.1 | 55.8 | 7.15 | |
| Ⅸ | 9.5 | 30.5 | 5.76 | |
| Ⅹ | 10.1 | 44.6 | 7.57 | |
| Ⅺ | 8.8 | 25.4 | 5.44 | |
| Ⅻ | 9.4 | 34.9 | 7.36 | |
| 20 | Ⅰ | 10.2 | 48.0 | 5.57 |
| Ⅱ | 9.5 | 70.2 | 5.66 | |
| Ⅲ | 10.8 | 47.7 | 6.13 | |
| Ⅳ | 10.1 | 70.6 | 6.19 | |
| Ⅴ | 10.5 | 44.4 | 6.10 | |
| Ⅵ | 10.4 | 68.2 | 6.67 | |
| Ⅶ | 11.6 | 38.8 | 7.05 | |
| Ⅷ | 11.5 | 58.2 | 8.44 | |
| Ⅸ | 11.4 | 31.8 | 7.12 | |
| Ⅹ | 12.6 | 48.1 | 9.96 | |
| Ⅺ | 10.7 | 26.9 | 6.74 | |
| Ⅻ | 11.9 | 38.9 | 9.74 | |
| 22 | Ⅰ | 11.4 | 49.5 | 6.64 |
| Ⅱ | 10.6 | 74.1 | 6.69 | |
| Ⅲ | 12.4 | 49.2 | 7.44 | |
| Ⅳ | 11.5 | 74.6 | 7.51 | |
| Ⅴ | 12.3 | 46.2 | 7.56 | |
| Ⅵ | 11.8 | 72.1 | 8.06 | |
| Ⅶ | 13.4 | 41.2 | 8.50 | |
| Ⅷ | 13.0 | 63.2 | 10.18 | |
| Ⅸ | 13.0 | 33.2 | 8.49 | |
| Ⅹ | 13.9 | 52.9 | 11.74 | |
| Ⅺ | 12.2 | 27.6 | 8.12 | |
| Ⅻ | 13.2 | 42.0 | 11.10 |
| 陈东升. 2010. 落叶松人工林大中径材优化经营模式的研究. 哈尔滨: 东北林业大学. | |
| Chen D S. 2010. The optimal management mode of large and medium diameter timber in larch plantation. Harbin: Northeast Forestry University. [in Chinese] | |
| 董利虎, 李凤日. 大兴安岭东部天然落叶松林可加性林分生物量估算模型. 林业科学, 2016, 52 (7): 13- 21. | |
| Dong L H, Li F R. Additive stand-level biomass models for natural larch forest in the east of Daxing’an Mountains. Scientia Silvae Sinicae, 2016, 52 (7): 13- 21. | |
| 董利虎, 李凤日, 金星姬. 2021. 长白落叶松生长模型系统. 北京: 中国林业出版社, 107−134. | |
| Dong L H, Li F R, Jin X J. 2021. Growth model system of Larix olgensis. Beijing: China Forestry Publishing House, 107−134. [in Chinese] | |
|
董灵波, 蔺雪莹, 刘兆刚. 采伐限额对大兴安岭盘古林场森林碳汇强度的长期影响. 林业科学, 2024, 60 (10): 1- 11.
doi: 10.11707/j.1001-7488.LYKX20220738 |
|
|
Dong L B, Lin X Y, Liu Z G. Long-term effects of harvest quota on forest carbon sink intensity of Pangu forest farm in Great Xing’an Mountain, northeast China. Scientia Silvae Sinicae, 2024, 60 (10): 1- 11.
doi: 10.11707/j.1001-7488.LYKX20220738 |
|
|
董灵波, 蔺雪莹, 张一帆, 等. 兼顾碳汇和木材生产的长白落叶松人工林最优轮伐期. 林业科学, 2022, 58 (5): 18- 30.
doi: 10.11707/j.1001-7488.20220503 |
|
|
Dong L B, Lin X Y, Zhang Y F, et al. Optimal rotation of Larix olgensis plantation in considering carbon sequestration and timber production. Scientia Silvae Sinicae, 2022, 58 (5): 18- 30.
doi: 10.11707/j.1001-7488.20220503 |
|
| 董灵波, 孙云霞, 刘兆刚. 基于碳和木材目标的森林空间经营规划研究. 北京林业大学学报, 2017, 39 (1): 52- 61. | |
| Dong L B, Sun Y X, Liu Z G. Integrating carbon and timber objective into forest spatial planning management. Journal of Beijing Forestry University, 2017, 39 (1): 52- 61. | |
|
杜 倩, 王 岩, 万祖梁, 等. 基于随机森林模型的呼中冻土区土壤碳空间分布特征. 森林工程, 2025, 41 (1): 100- 107.
doi: 10.7525/j.issn.1006-8023.2025.01.008 |
|
|
Du Q, Wang Y, Wan Z L, et al. The spatial distribution characteristics of soil carbon in typical frozen soil areas of Huzhong based on random forest model. Forest Engineering, 2025, 41 (1): 100- 107.
doi: 10.7525/j.issn.1006-8023.2025.01.008 |
|
|
韩东涛, 马跃威. 融合生态扰动控制的森林采伐−运输多目标优化调度方法. 森林工程, 2025, 41 (6): 1299- 1309.
doi: 10.7525/j.issn.1006-8023.2025.06.019 |
|
|
Han D T, Ma Y W. Multi-objective scheduling optimization for forest harvesting and transportation with integrated ecological disturbance control. Forest Engineering, 2025, 41 (6): 1299- 1309.
doi: 10.7525/j.issn.1006-8023.2025.06.019 |
|
| 胡中洋, 刘锐之, 刘 萍. 建立森林经营规划与森林采伐方案编制体系的思考. 林草资源研究, 2020, (3): 11- 14, 71. | |
| Hu Z Y, Liu R Z, Liu P. Thinking on the establishing plan-making system of forest management planning and forest management plan. Forest and Grassland Resources Research, 2020, (3): 11- 14, 71. | |
|
雷相东. 森林生态系统服务多功能性: 概念、指标和经营模拟模型. 北京林业大学学报, 2024, 46 (5): 1- 11.
doi: 10.12171/j.1000-1522.20230327 |
|
|
Lei X D. Forest ecosystem service multi-functionality: definitions, indicators and simulation models for forest management. Journal of Beijing Forestry University, 2024, 46 (5): 1- 11.
doi: 10.12171/j.1000-1522.20230327 |
|
| 刘 林, 孙洪刚, 王宇华, 等. 基于试验数据的人工用材林最优轮伐期确定的研究进展. 林业科学研究, 2024, 37 (2): 201- 210. | |
| Liu L, Sun H G, Wang Y H, et al. Research progress in the optimal rotation of forest plantations based on experimental data. Forest Research, 2024, 37 (2): 201- 210. | |
| 彭 娓, 李凤日, 金星姬, 等. 应用Hooke & Jeeves算法对长白落叶松人工林多目标经营的优化. 东北林业大学学报, 2018, 46 (7): 1- 6. | |
| Peng W, Li F R, Jin X J, et al. Multi-objective management optimization of Larix olgensis plantations by Hooke & Jeeves algorithm. Journal of Northeast Forestry University, 2018, 46 (7): 1- 6. | |
|
任雲雲, 李 雪, 崔自杰, 等. 中国大径材人工林培育研究进展. 世界林业研究, 2024, 37 (3): 86- 93.
doi: 10.13348/j.cnki.sjlyyj.2024.0043.y |
|
|
Ren Y Y, Li X, Cui Z J, et al. Research progress in cultivation of large-diameter timber plantation in China. World Forestry Research, 2024, 37 (3): 86- 93.
doi: 10.13348/j.cnki.sjlyyj.2024.0043.y |
|
|
戎建涛, 雷相东, 张会儒, 等. 兼顾碳贮量和木材生产目标的森林经营规划研究. 西北林学院学报, 2012, 27 (2): 155- 162.
doi: 10.3969/j.issn.1001-7461.2012.02.32 |
|
|
Rong J T, Lei X D, Zhang H R, et al. Forest management planning incorporating values of timber and carbon. Journal of Northwest Forestry University, 2012, 27 (2): 155- 162.
doi: 10.3969/j.issn.1001-7461.2012.02.32 |
|
| 宋 磊, 金星姬, Pukkala Timo, 等. 长白落叶松人工林多目标经营模式研究. 南京林业大学学报(自然科学版), 2023, 47 (2): 150- 158. | |
| Song L, Jin X J, Timo P, et al. Research on multi-objective management schedules of Larix olgensis plantations. Journal of Nanjing Forestry University (Natural Sciences Edition), 2023, 47 (2): 150- 158. | |
| 孙志虎, 王秀琴, 陈祥伟. 不同抚育间伐强度对落叶松人工林生态系统碳储量影响. 北京林业大学学报, 2016, 38 (12): 1- 13. | |
| Sun Z H, Wang X Q, Chen X W. Effects of thinning intensity on carbon storage of Larix olgensis plantation ecosystem. Journal of Beijing Forestry University, 2016, 38 (12): 1- 13. | |
|
王宏星, 孙晓梅, 陈东升, 等. 适度间伐对日本落叶松人工林生物多样性和土壤多功能性影响. 林业科学, 2023, 59 (6): 1- 11.
doi: 10.11707/j.1001-7488.LYKX20220508 |
|
|
Wang H X, Sun X M, Chen D S, et al. Effects of moderate thinning on biological diversity and soil multifunctionality in Larix kaempferi plantations. Scientia Silvae Sinicae, 2023, 59 (6): 1- 11.
doi: 10.11707/j.1001-7488.LYKX20220508 |
|
| 王 兵, 任晓旭, 胡 文. 中国森林生态系统服务功能及其价值评估. 林业科学, 2011, 47 (2): 145- 153. | |
| Wang B, Ren X X, Hu W. Assessment of forest ecosystem services value in China. Scientia Silvae Sinicae, 2011, 47 (2): 145- 153. | |
| 王维芳, 韩子丰, 李国春. 基于泰森多边形图法的樟子松人工林林分空间结构参数与林分优化. 森林工程, 2025, 41 (5): 948- 957. | |
| Wang W F, Han Z F, Li G C. Spatial structure parameters based on Voronoi diagram and stand optimization of Pinus sylvestris plantation. Forest Engineering, 2025, 41 (5): 948- 957. | |
| 王周绪, 姜全飞. 中国林业行业基准贴现率研究. 林业经济, 2006, 28 (6): 39- 44. | |
| Wang Z X, Jiang Q F. China forestry basic rate of discount. Forestry Economics, 2006, 28 (6): 39- 44. | |
| 向 玮, 雷相东, 洪玲霞, 等. 落叶松云冷杉林矩阵生长模型及多目标经营模拟. 林业科学, 2011, 47 (6): 77- 87. | |
| Xiang W, Lei X D, Hong L X, et al. Matrix growth model and harvest scenario simulation for multiple uses of larch-spruce-fir forests. Scientia Silvae Sinicae, 2011, 47 (6): 77- 87. | |
| 徐来仙, 何友均, 艾训儒, 等. 基于森林生态系统服务权衡与协同的森林可持续管理. 生态学报, 2024, 44 (4): 1347- 1359. | |
| Xu L X, He Y J, Ai X R, et al. Sustainable forest management based on trade-offs and synergies of forest ecosystem services. Acta Ecologica Sinica, 2024, 44 (4): 1347- 1359. | |
| 张智光, 唐文彬. 中国木材市场供需系统的综合预测. 林业科学, 1996, 32 (3): 260- 268. | |
| Zhang Z G, Tang W B. Integrated forecasting for the demand-and-supply system of Chinese timber market. Scientia Silvae Sinicae, 1996, 32 (3): 260- 268. | |
|
Aertsen W, Kint V, Van Orshoven J, et al. Evaluation of modelling techniques for forest site productivity prediction in contrasting ecoregions using stochastic multicriteria acceptability analysis (SMAA). Environmental Modelling & Software, 2011, 26 (7): 929- 937.
doi: 10.1016/j.envsoft.2011.01.003 |
|
|
Ananda J, Herath G. A critical review of multi-criteria decision making methods with special reference to forest management and planning. Ecological Economics, 2009, 68 (10): 2535- 2548.
doi: 10.1016/j.ecolecon.2009.05.010 |
|
|
Bana e Costa C A. A multicriteria decision aid methodology to deal with conflicting situations on the weights. European Journal of Operational Research, 1986, 26 (1): 22- 34.
doi: 10.1016/0377-2217(86)90156-6 |
|
|
Borges J G, Garcia-Gonzalo J, Bushenkov V, et al. Addressing multicriteria forest management with Pareto frontier methods: an application in Portugal. Forest Science, 2014, 60 (1): 63- 72.
doi: 10.5849/forsci.12-100 |
|
|
Byrnes J E K, Gamfeldt L, Isbell F, et al. Investigating the relationship between biodiversity and ecosystem multifunctionality: challenges and solutions. Methods in Ecology and Evolution, 2014, 5 (2): 111- 124.
doi: 10.1111/2041-210X.12143 |
|
|
Couture S, Cros M J, Sabbadin R. Multi-objective sequential forest management under risk using a Markov decision process-Pareto frontier approach. Environmental Modeling & Assessment, 2021, 26 (2): 125- 141.
doi: 10.1007/s10666-020-09736-4 |
|
|
Deb K, Pratap A, Agarwal S, et al. A fast and elitist multiobjective genetic algorithm: NSGA-Ⅱ. IEEE Transactions on Evolutionary Computation, 2002, 6 (2): 182- 197.
doi: 10.1109/4235.996017 |
|
|
Deng D Q, Ye C C, Tong K M, et al. Evaluation of the sustainable forest management performance in forestry enterprises based on a hybrid multi-criteria decision-making model: a case study in China. Forests, 2023, 14 (11): 2267.
doi: 10.3390/f14112267 |
|
|
Deng W W, Xiang W H, Ouyang S, et al. Spatially explicit optimization of the forest management tradeoff between timber production and carbon sequestration. Ecological Indicators, 2022, 142, 109193.
doi: 10.1016/j.ecolind.2022.109193 |
|
| Díaz-Yáñez O, Pukkala T, Packalen P, et al. 2019. Multifunctional comparison of different management strategies in boreal forests. Forestry: An International Journal of Forest Research: cpz053. | |
|
Dong L B, Lu W, Liu Z G. Developing alternative forest spatial management plans when carbon and timber values are considered: a real case from northeastern China. Ecological Modelling, 2018, 385, 45- 57.
doi: 10.1016/j.ecolmodel.2018.07.009 |
|
|
Dong L H, Pukkala T, Li F R, et al. Developing distance-dependent growth models from irregularly measured sample plot data: a case for Larix olgensis in northeast China. Forest Ecology and Management, 2021, 486, 118965.
doi: 10.1016/j.foreco.2021.118965 |
|
|
Hember R A, Kurz W A, Coops N C. Relationships between individual-tree mortality and water-balance variables indicate positive trends in water stress-induced tree mortality across north America. Global Change Biology, 2017, 23 (4): 1691- 1710.
doi: 10.1111/gcb.13428 |
|
|
Huang C, Liang Y, He H S, et al. Sensitivity of aboveground biomass and species composition to climate change in boreal forests of northeastern China. Ecological Modelling, 2021, 445, 109472.
doi: 10.1016/j.ecolmodel.2021.109472 |
|
| Jenkins T. Multi-objective forest planning. Managing forest ecosystems, Vol. 6. Forestry: An International Journal of Forest Research, 2005, 78 (4): 457- 458. | |
|
Jin X J, Pukkala T, Li F R, et al. Optimal management of Korean pine plantations in multifunctional forestry. Journal of Forestry Research, 2017, 28 (5): 1027- 1037.
doi: 10.1007/s11676-017-0397-4 |
|
|
Kangas J, Hokkanen J, Kangas A S, et al. Applying stochastic multicriteria acceptability analysis to forest ecosystem management with both cardinal and ordinal criteria. Forest Science, 2003a, 49 (6): 928- 937.
doi: 10.1093/forestscience/49.6.928 |
|
|
Kangas J, Kurttila M, Kajanus M, et al. Evaluating the management strategies of a forestland estate: the S-O-S approach. Journal of Environmental Management, 2003b, 69 (4): 349- 358.
doi: 10.1016/j.jenvman.2003.09.010 |
|
|
Kurttila M, Pesonen M, Kangas J, et al. Utilizing the analytic hierarchy process (AHP) in SWOT analysis: a hybrid method and its application to a forest-certification case. Forest Policy and Economics, 2000, 1 (1): 41- 52.
doi: 10.1016/S1389-9341(99)00004-0 |
|
|
Kurttila M, Pukkala T, Miina J. Synergies and trade-offs in the production of NWFPs predicted in boreal forests. Forests, 2018, 9 (7): 417.
doi: 10.3390/f9070417 |
|
|
Lafond V, Cordonnier T, Mao Z, et al. Trade-offs and synergies between ecosystem services in uneven-aged mountain forests: evidences using Pareto fronts. European Journal of Forest Research, 2017, 136 (5/6): 997- 1012.
doi: 10.1007/s10342-016-1022-3 |
|
|
Lahdelma R, Hokkanen J, Salminen P. SMAA: stochastic multiobjective acceptability analysis. European Journal of Operational Research, 1998, 106 (1): 137- 143.
doi: 10.1016/S0377-2217(97)00163-X |
|
|
Langner A, Irauschek F, Perez S, et al. Value-based ecosystem service trade-offs in multi-objective management in European mountain forests. Ecosystem Services, 2017, 26, 245- 257.
doi: 10.1016/j.ecoser.2017.03.001 |
|
|
Leskinen P, Viitanen J, Kangas A, et al. Alternatives to incorporate uncertainty and risk attitude in multicriteria evaluation of forest plans. Forest Science, 2006, 52 (3): 304- 312.
doi: 10.1093/forestscience/52.3.304 |
|
|
Mey R, Zell J, Thürig E, et al. Tree species admixture increases ecosystem service provision in simulated spruce- and beech-dominated stands. European Journal of Forest Research, 2022, 141 (5): 801- 820.
doi: 10.1007/s10342-022-01474-4 |
|
|
Nabhani A, Mardaneh E, Sjølie H K. Multi-objective optimization of forest ecosystem services under uncertainty. Ecological Modelling, 2024, 494, 110777.
doi: 10.1016/j.ecolmodel.2024.110777 |
|
|
Pukkala T, Lähde E, Laiho O. Stand management optimization: the role of simplifications. Forest Ecosystems, 2014, 1 (1): 3.
doi: 10.1186/2197-5620-1-3 |
|
| Pukkala T. 2002. Multi-objective Forest Planning: Vol. 6. Dordrecht: Springer Netherlands. | |
| Pukkala T. 2006. The use of multi-criteria decision analysis and multi-objective optimisation in forest planning//Hasenauer H. Sustainable Forest Management. Berlin/Heidelberg: Springer-Verlag, 263-284. | |
|
Rana P, Vauhkonen J. Stochastic multicriteria acceptability analysis as a forest management priority mapping approach based on airborne laser scanning and field inventory data. Landscape and Urban Planning, 2023, 230, 104637.
doi: 10.1016/j.landurbplan.2022.104637 |
|
|
Seidl R, Thom D, Kautz M, et al. Forest disturbances under climate change. Nature Climate Change, 2017, 7 (6): 395- 402.
doi: 10.1038/nclimate3303 |
|
|
Winkel G, Lovrić M, Muys B, et al. Governing Europe’s forests for multiple ecosystem services: opportunities, challenges, and policy options. Forest Policy and Economics, 2022, 145, 102849.
doi: 10.1016/j.forpol.2022.102849 |
|
|
Yousefpour R, Jacobsen J B, Thorsen B J, et al. A review of decision-making approaches to handle uncertainty and risk in adaptive forest management under climate change. Annals of Forest Science, 2012, 69 (1): 1- 15.
doi: 10.1007/s13595-011-0153-4 |
|
|
Zhou M. Adapting sustainable forest management to climate policy uncertainty: a conceptual framework. Forest Policy and Economics, 2015, 59, 66- 74.
doi: 10.1016/j.forpol.2015.05.013 |
| [1] | 杨春梅,刘彤彬,马亚强,丁禹程,王金聪,胡松,宋文龙. 基于响应曲面法的木材喷涂漆雾扩散角度与均匀度优化[J]. 林业科学, 2024, 60(6): 136-147. |
| [2] | 殷鸣放;周立君;殷炜达. 长白落叶松人工林带状间伐方式对土壤有机碳含量的影响[J]. 林业科学, 2012, 48(7): 170-173. |
| [3] | 张广群;汪杭军. 基于多目标遗传算法的管孔组合特征识别[J]. 林业科学, 2012, 48(4): 87-92. |
| [4] | 王阿川;于琳瑛;曹军. 基于AOS的扩展C-V模型及背景填充耦合的单板节子缺陷识别[J]. 林业科学, 2011, 47(5): 106-111. |
| [5] | 鲁法典 Peter Lohmander. 风险状态下混交林最优经营决策[J]. 林业科学, 2009, 12(11): 83-89. |
| [6] | 李建民 潘标志 陈存及 李生 胡晓静. 福建珍贵阔叶用材树种的筛选研究[J]. 林业科学, 2003, 39(zk): 93-99. |
| [7] | 唐小明 于政中 吴燕. 同龄林理想森林结构的探讨[J]. , 1989, 25(5): 439-446. |
| 阅读次数 | ||||||
|
全文 |
|
|||||
|
摘要 |
|
|||||