林业科学 ›› 2026, Vol. 62 ›› Issue (2): 15-24.doi: 10.11707/j.1001-7488.LYKX20250256
• 前沿热点 • 上一篇
田惠玲1,朱建华2,何潇1,陈新云3,王冉4,肖文发2,雷相东1,*(
)
收稿日期:2025-04-27
修回日期:2025-06-16
出版日期:2026-02-25
发布日期:2026-03-04
通讯作者:
雷相东
E-mail:xdlei@ifrit.ac.cn
基金资助:
Huiling Tian1,Jianhua Zhu2,Xiao He1,Xinyun Chen3,Ran Wang4,Wenfa Xiao2,Xiangdong Lei1,*(
)
Received:2025-04-27
Revised:2025-06-16
Online:2026-02-25
Published:2026-03-04
Contact:
Xiangdong Lei
E-mail:xdlei@ifrit.ac.cn
摘要:
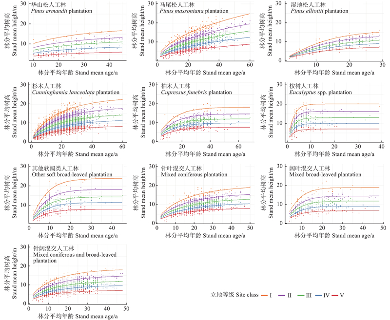
目的: 融合立地因子、林龄与林分密度效应,构建中亚热带典型森林类型林分乔木碳储量生长模型,精准分析林分碳储量生长变化,为森林生长量精准估测、森林经营方案优化以及森林碳汇潜力预估等提供指导。方法: 以我国中亚热带典型森林类型为研究对象,利用森林资源连续清查的3.07万个3期乔木林固定样地调查数据,采用基于林分平均高生长的分级算法划分立地等级,以平均林龄、立地等级、林分密度指数等因子为解释变量,按区域、优势树种(组)构建不同林分起源碳储量生长模型,分析林分碳储量生长变化规律。结果: 1) 中亚热带各林分平均高生长模型决定系数(R2)均达0.931及以上,树高总生长量随立地等级增加而增加,5个立地等级的高生长累积量水平接近等差数列,具有很好的分级结果。2) 基于平均林龄、立地等级、林分密度指数的林分碳储量生长模型决定系数(R2)均达0.633及以上。不同林分起源碳储量生长模型的建模精度存在差异:对于针叶纯林,该模型在人工林中的拟合效果优于天然林;对于混交林,该模型在天然林中的拟合效果优于人工林;针叶树种比阔叶树种具有更好的拟合效果。3) 各林分碳储量生长模型不同立地等级下林分碳储量的渐近值均呈a1 > a2 > a3 > a4 > a5的趋势,且5个立地等级的林分碳储量接近等差数列。天然林每公顷林分碳储量极限值整体高于人工林,阔叶混交林在不同林分起源下均具有较高的林分碳储量。4) 中立地等级条件下,人工林和天然林林分碳储量均随林龄增加而增大,并在近、成熟龄阶段开始趋于平稳。人工林林分碳储量的渐近值比天然林更早到达拐点林龄。结论: 本研究构建的各森林类型林分平均高生长模型和林分碳储量生长模型具有较好的拟合效果和较高的预估精度,含起源、林龄、立地等级、林分密度指数的林分碳储量生长模型可满足中亚热带区域主要树种(组)不同立地等级下林分碳储量随年龄动态变化预测的需要,还可用于编制该区域典型森林碳计量数表。
中图分类号:
田惠玲,朱建华,何潇,陈新云,王冉,肖文发,雷相东. 中亚热带典型森林类型林分乔木碳储量生长模型[J]. 林业科学, 2026, 62(2): 15-24.
Huiling Tian,Jianhua Zhu,Xiao He,Xinyun Chen,Ran Wang,Wenfa Xiao,Xiangdong Lei. Growth Model of Arbor Carbon Storage in Typical Forest Stands in the Mid-Subtropical Zone of China[J]. Scientia Silvae Sinicae, 2026, 62(2): 15-24.
表1
建模样本林分因子概况"
| 起源Origin | 变量Variables | 平均值Mean | 最小值Min. | 最大值Max. | 标准差SD |
| 人工林 Plantation | 林分平均年龄Stand mean age (A)/a | 19.4 | 5 | 68 | 9.6 |
| 林分平均高Stand mean height (H)/m | 9.2 | 1.3 | 26 | 3.3 | |
| 平均胸径Mean diameter (Dg)/cm | 11.0 | 7.4 | 26.1 | 2.7 | |
| 林分密度指数Stand density index (SDI)/(tree·hm?2) | 639.5 | 43.1 | 3 226.1 | 398.0 | |
| 林分公顷蓄积量Stand stock volume/(m3·hm?2) | 74.5 | 0.1 | 595.9 | 63.1 | |
| 林分碳储量Stand carbon storage/(t·hm?2) | 31.1 | 0.2 | 116.1 | 17. 6 | |
| 天然林 Natural forest | 林分平均年龄Stand mean age (A)/a | 26.3 | 5 | 120 | 13.7 |
| 林分平均高Stand mean height (H)/m | 9.3 | 1.3 | 28 | 3.1 | |
| 平均胸径Mean diameter (Dg)/cm | 11.1 | 7.6 | 38 | 3.0 | |
| 林分密度指数Stand density index (SDI)/(tree·hm?2) | 554. 5 | 45.1 | 2 410. 6 | 312.8 | |
| 林分公顷蓄积量Stand stock volume/(m3·hm?2) | 76.5 | 0.3 | 567.9 | 62.4 | |
| 林分碳储量Stand carbon storage/(t·hm?2) | 36.8 | 0.6 | 261.1 | 25.7 |
表2
立地因子等级划分标准"
| 因子Factor | 划分条件Classification criteria |
| 海拔Elevation | 200 m一个等级 A class per 200 m |
| 坡度Slope | 10°一个等级 A class per 10° |
| 坡向Aspect | 北坡 North;东北坡 Northeast;东坡 East;东南坡Southeast;南坡 South; 西南坡 Southwest;西坡 West;西北坡 Northwest;无坡向 No aspect |
| 坡位Slope position | 脊部 Ridge;上坡 Upper;中坡 Middle;下坡 Lower;山谷(或山洼) Valley;平地 Flat |
| 土层厚度Soil depth | 20 cm一个等级 A class per 20 cm |
| 腐殖层厚度Humus depth | 薄Thin:<2 cm;中Moderate:2~5 cm;厚Thick:>5 cm |
表3
典型森林类型不同立地等级林分平均高生长模型的参数估计值及拟合优度"
| 起源 Origin | 森林类型 Forest type | 参数估计值 Parameter estimates | 评价指标 Evaluation indices | |||||||||
| a1 | a2 | a3 | a4 | a5 | b | c | R2 | RMSE | rRMSE(%) | |||
| 人工林 Plantation | 华山松 Pinus armandii | 16.5 | 13.0 | 10.5 | 7.70 | 5.01 | 0.050 00 | 0.762 | 0.955 | 0.691 | 8.46 | |
| 马尾松 Pinus massoniana | 44.6 | 34.7 | 27.6 | 21.30 | 14.50 | 0.007 00 | 0.589 | 0.958 | 0.760 | 7.84 | ||
| 湿地松 Pinus elliottii | 20.9 | 16.4 | 13.6 | 11.30 | 8.04 | 0.057 70 | 1.160 | 0.967 | 0.584 | 7.07 | ||
| 杉木Cunninghamia lanceolata | 22.4 | 17.5 | 13.8 | 10.70 | 7.42 | 0.043 40 | 0.790 | 0.953 | 0.707 | 7.93 | ||
| 柏木Cupressus funebris | 17.0 | 13.5 | 10.9 | 8.70 | 6.42 | 0.097 50 | 1.370 | 0.932 | 0.704 | 7.38 | ||
| 桉树 Eucalyptus spp. | 18.8 | 15.0 | 11.6 | 8.72 | 5.72 | 0.467 00 | 1.300 | 0.950 | 0.863 | 7.99 | ||
| 其他软阔类 Other soft broadleaf | 22.6 | 17.0 | 13.1 | 10.20 | 6.74 | 0.160 00 | 1.380 | 0.952 | 0.911 | 8.87 | ||
| 针叶混交林 Mixed coniferous | 18.7 | 14.9 | 12.2 | 9.75 | 7.19 | 0.052 30 | 0.757 | 0.950 | 0.663 | 7.00 | ||
| 阔叶混交林 Mixed broadleaf | 17.7 | 13.5 | 10.9 | 8.22 | 5.69 | 0.175 00 | 1.570 | 0.949 | 0.801 | 8.62 | ||
| 针阔混交林 Mixed coniferous and broadleaf | 23.3 | 18.1 | 14.6 | 11.50 | 7.86 | 0.014 00 | 0.365 | 0.931 | 0.736 | 8.29 | ||
| 天然林 Natural forest | 马尾松 Pinus massoniana | 44.3 | 34.6 | 27.6 | 21.20 | 14.70 | 0.007 79 | 0.592 | 0.944 | 0.884 | 8.61 | |
| 高山松 Pinus densata | 23.0 | 17.5 | 12.4 | 8.93 | 4.70 | 0.044 10 | 1.220 | 0.979 | 0.837 | 6.92 | ||
| 杉木 Cunninghamia lanceolata | 17.8 | 14.1 | 11.3 | 8.90 | 6.31 | 0.046 00 | 0.659 | 0.946 | 0.629 | 7.47 | ||
| 柏木 Cupressus funebris | 15.0 | 12.5 | 10.4 | 8.49 | 6.06 | 0.091 30 | 1.720 | 0.942 | 0.672 | 6.64 | ||
| 栎类 Quercus spp. | 23.4 | 17.3 | 13.7 | 10.80 | 7.56 | 0.013 80 | 0.448 | 0.952 | 0.800 | 8.85 | ||
| 其他硬阔类 Other hard broadleaf | 24.4 | 18.2 | 14.5 | 11.30 | 8.17 | 0.005 85 | 0.277 | 0.940 | 0.806 | 8.68 | ||
| 针叶混交林 Mixed coniferous | 31.6 | 24.2 | 19.4 | 15.30 | 10.90 | 0.010 90 | 0.529 | 0.943 | 0.717 | 7.51 | ||
| 阔叶混交林 Mixed broadleaf | 27.4 | 20.9 | 16.8 | 13.40 | 9.89 | 0.011 90 | 0.485 | 0.945 | 0.688 | 7.59 | ||
| 针阔混交林 Mixed coniferous and broadleaf | 35.4 | 27.0 | 21.1 | 16.50 | 12.00 | 0.008 31 | 0.521 | 0.943 | 0.687 | 7.63 | ||
表4
典型森林类型不同立地等级林分乔木碳储量生长模型的参数估计值及拟合优度"
| 起源 Origin | 森林类型 Forest type | 样本数 Sample size | 参数估计值 Parameter estimates | 评价指标 Evaluation indices | ||||||||||
| a1 | a2 | a3 | a4 | a5 | b1 | b2 | c | R2 | RMSE | rRMSE(%) | ||||
| 人工林 Plantation | 华山松 Pinus armandii | 230 | 102.10 | 92.34 | 87.18 | 78.77 | 63.50 | 0.525 50 | 1.834 0 | 0.349 2 | 0.811 9 | 7.758 | 24.02 | |
| 马尾松 Pinus massoniana | 1 622 | 119.40 | 107.80 | 89.28 | 77.61 | 61.68 | 0.202 10 | 1.187 0 | 0.528 0 | 0.768 9 | 9.751 | 30.86 | ||
| 湿地松 Pinus elliottii | 374 | 70.84 | 65.58 | 61.12 | 57.57 | 42.79 | 1.754 00 | 1.762 0 | 0.408 2 | 0.777 1 | 5.588 | 25.95 | ||
| 杉木Cunninghamia lanceolata | 5 833 | 104.80 | 89.91 | 79.95 | 70.15 | 55.32 | 0.264 50 | 1.258 0 | 0.455 6 | 0.816 2 | 7.463 | 23.74 | ||
| 柏木Cupressus funebris | 631 | 52.09 | 54.93 | 50.29 | 47.63 | 44.87 | 0.938 70 | 1.359 0 | 0.366 9 | 0.695 6 | 6.274 | 19.55 | ||
| 桉树 Eucalyptus spp. | 302 | 51.53 | 47.39 | 38.04 | 28.04 | 26.26 | 2.538 00 | 1.130 0 | 0.531 7 | 0.758 4 | 5.659 | 28.48 | ||
| 其他软阔类 Other soft broadleaf | 269 | 64.81 | 59.33 | 49.34 | 45.39 | 37.53 | 1.764 00 | 1.002 0 | 0.701 9 | 0.656 2 | 10.02 | 34.00 | ||
| 针叶混交林 Mixed coniferous | 1 127 | 79.44 | 74.11 | 70.02 | 62.21 | 54.20 | 0.430 20 | 1.510 0 | 0.313 8 | 0.784 2 | 6.659 | 19.50 | ||
| 阔叶混交林 Mixed broadleaf | 355 | 110.10 | 96.48 | 85.34 | 76.64 | 56.96 | 0.432 20 | 1.218 0 | 0.552 4 | 0.670 9 | 11.270 | 42.79 | ||
| 针阔混交林 Mixed coniferous and broadleaf | 1 141 | 129.10 | 115.50 | 99.41 | 91.16 | 70.14 | 0.177 60 | 1.154 0 | 0.482 3 | 0.712 5 | 10.510 | 32.47 | ||
| 天然林 Natural forest | 马尾松 Pinus massoniana | 4 877 | 128.10 | 116.70 | 100.9 | 85.98 | 70.71 | 0.154 30 | 1.111 0 | 0.562 0 | 0.748 9 | 9.352 | 30.03 | |
| 高山松 Pinus densata | 112 | 123.80 | 103.40 | 79.90 | 72.34 | 53.46 | 0.277 40 | 1.214 0 | 0.449 6 | 0.906 1 | 7.423 | 14.06 | ||
| 杉木 Cunninghamia lanceolata | 1 508 | 76.05 | 71.85 | 64.18 | 56.45 | 48.54 | 0.268 30 | 1.070 0 | 0.529 6 | 0.795 2 | 6.021 | 24.71 | ||
| 柏木 Cupressus funebris | 554 | 47.80 | 46.77 | 43.61 | 39.75 | 33.74 | 0.584 40 | 0.931 9 | 0.534 6 | 0.633 0 | 7.196 | 22.26 | ||
| 栎类 Quercus spp. | 1 773 | 249.60 | 223.50 | 205.70 | 195.10 | 169.8 | 0.144 60 | 1.336 0 | 0.633 9 | 0.762 4 | 18.890 | 41.15 | ||
| 其他硬阔类 Other hard broadleaf | 847 | 262.60 | 230.10 | 219.50 | 187.90 | 174.30 | 0.060 45 | 1.407 0 | 0.442 4 | 0.768 0 | 14.170 | 31.52 | ||
| 针叶混交林 Mixed coniferous | 1 704 | 83.02 | 79.02 | 73.59 | 67.07 | 60.68 | 0.248 00 | 1.284 0 | 0.377 3 | 0.792 6 | 5.898 | 18.21 | ||
| 阔叶混交林 Mixed broadleaf | 8 290 | 233.50 | 207.00 | 181.70 | 162.90 | 139.40 | 0.096 58 | 0.992 7 | 0.707 6 | 0.729 5 | 15.560 | 37.21 | ||
| 针阔混交林 Mixed coniferous and broadleaf | 3 385 | 130.90 | 119.00 | 108.70 | 95.32 | 83.49 | 0.166 60 | 1.075 0 | 0.558 8 | 0.733 8 | 9.290 | 27.39 | ||
| 曹 磊, 刘晓彤, 李海奎, 等. 广东省常绿阔叶林生物量生长模型. 林业科学研究, 2020, 33 (5): 61- 67. | |
| Cao L, Liu X T, Li H K, et al. Biomass growth models for evergreen broad-leaved forests in Guangdong. Forest Research, 2020, 33 (5): 61- 67. | |
|
陈 亮, 周国模, 杜华强, 等. 基于随机森林模型的毛竹林CO2通量模拟及其影响因子. 林业科学, 2018, 54 (8): 1- 12.
doi: 10.11707/j.1001-7488.20180801 |
|
|
Chen L, Zhou G M, Du H Q, et al. Simulation of CO2 flux and controlling factors in moso bamboo forest using random forest algorithm. Scientia Silvae Sinicae, 2018, 54 (8): 1- 12.
doi: 10.11707/j.1001-7488.20180801 |
|
| 付 晓, 张煜星, 王雪军. 2060年前我国森林生物量碳库及碳汇潜力预测. 林业科学, 2022, 58 (2): 32- 41. | |
| Fu X, Zhang Y X, Wang X J. Prediction of forest biomass carbon pool and carbon sink potential in China before 2060. Scientia Silvae Sinicae, 2022, 58 (2): 32- 41. | |
|
郭泽鑫, 胡中岳, 曹 聪, 等. 广东主要森林类型林分生物量和碳储量模型研建. 林业科学, 2023, 59 (12): 37- 50.
doi: 10.11707/j.1001-7488.LYKX20230039 |
|
|
Guo Z X, Hu Z Y, Cao C, et al. Stand-level models of biomass and carbon stock for major forest types in Guangdong. Scientia Silvae Sinicae, 2023, 59 (12): 37- 50.
doi: 10.11707/j.1001-7488.LYKX20230039 |
|
| 国家林业局. 2017a. 立木生物量模型及碳计量参数: 桦树(LY/T 2659—2016). 北京: 中国标准出版社. | |
| State Forestry Administration. 2017a. Tree biomass models and related parameters to carbon accounting for birch (LY/T 2659—2016). Beijing: China Standard Press. [in Chinese] | |
| 国家林业局. 2017b. 立木生物量模型及碳计量参数: 冷杉(LY/T 2656—2016). 北京: 中国标准出版社. | |
| State Forestry Administration. 2017b. Tree biomass models and related parameters to carbon accounting for fir (LY/T 2656—2016). Beijing: China Standard Press. [in Chinese] | |
| 国家林业局. 2017c. 立木生物量模型及碳计量参数: 栎树(LY/T 2658—2016). 北京: 中国标准出版社. | |
| State Forestry Administration. 2017c. Tree biomass models and related parameters to carbon accounting for Oak tree (LY/T 2658—2016). Beijing: China Standard Press. [in Chinese] | |
|
何 潇, 李海奎, 张逸如, 等. 天然次生林碳储量生长模型与固碳能力驱动力研究. 北京林业大学学报, 2023, 45 (1): 1- 10.
doi: 10.12171/j.1000-1522.20210265 |
|
|
He X, Li H K, Zhang Y R, et al. Growth model of carbon storage and driving force of carbon sequestration capacity of natural secondary forests. Journal of Beijing Forestry University, 2023, 45 (1): 1- 10.
doi: 10.12171/j.1000-1522.20210265 |
|
|
何 潇, 周超凡, 雷相东, 等. 长白落叶松人工林林分碳储量生长模型系研究. 北京林业大学学报, 2021, 43 (11): 1- 10.
doi: 10.12171/j.1000-1522.20210040 |
|
|
He X, Zhou C F, Lei X D, et al. Stand carbon stock growth model system for Larix olgensis plantation. Journal of Beijing Forestry University, 2021, 43 (11): 1- 10.
doi: 10.12171/j.1000-1522.20210040 |
|
|
贺 鹏, 陈振雄, 彭检贵. 湖南省主要树种单木相容性生物量模型系统研建. 北京林业大学学报, 2025, 47 (3): 61- 72.
doi: 10.12171/j.1000-1522.20240436 |
|
|
He P, Chen Z X, Peng J G. Development of a compatible biomass model system for individual trees of major tree species in Hunan Province of central China. Journal of Beijing Forestry University, 2025, 47 (3): 61- 72.
doi: 10.12171/j.1000-1522.20240436 |
|
|
黄金金, 刘晓彤, 张逸如, 等. 广东省含参数分级的阔叶林分生物量生长模型. 北京林业大学学报, 2022, 44 (5): 19- 33.
doi: 10.12171/j.1000-1522.20210403 |
|
|
Huang J J, Liu X T, Zhang Y R, et al. Stand biomass growth model of broadleaved forest with parameter classification in Guangdong Province of southern China. Journal of Beijing Forestry University, 2022, 44 (5): 19- 33.
doi: 10.12171/j.1000-1522.20210403 |
|
|
雷相东, 符利勇, 李海奎, 等. 基于林分潜在生长量的立地质量评价方法与应用. 林业科学, 2018, 54 (12): 116- 126.
doi: 10.11707/j.1001-7488.20181213 |
|
|
Lei X D, Fu L Y, Li H K, et al. Methodology and applications of site quality assessment based on potential mean annual increment. Scientia Silvae Sinicae, 2018, 54 (12): 116- 126.
doi: 10.11707/j.1001-7488.20181213 |
|
|
李海奎, 法 蕾. 基于分级的全国主要树种树高-胸径曲线模型. 林业科学, 2011, 47 (10): 83- 90.
doi: 10.11707/j.1001-7488.20111013 |
|
|
Li H K, Fa L. Height-diameter model for major tree species in China using the classified height method. Scientia Silvae Sinicae, 2011, 47 (10): 83- 90.
doi: 10.11707/j.1001-7488.20111013 |
|
|
李海奎, 宁金魁. 基于树木起源、立地分级和龄组的单木生物量模型. 生态学报, 2012, 32 (3): 740- 757.
doi: 10.5846/stxb201106300978 |
|
|
Li H K, Ning J K. Individual tree biomass model by tree origin, site classes and age groups. Acta Ecologica Sinica, 2012, 32 (3): 740- 757.
doi: 10.5846/stxb201106300978 |
|
| 唐守正, 郎奎建, 李海奎. 2009. 统计和生物数学模型计算: ForStat教程. 北京: 科学出版社. | |
| Tang S Z, Lang K J, Li H K. 2009. Statistical and biomathematics model calculation: ForStat course. Beijing: Science Press. [in Chinese] | |
| 王靖钰, 李国栋, 任晓娟, 等. 南北过渡带常绿落叶阔叶混交林碳通量特征及其对环境因子的响应. 生态学报, 2024, 44 (14): 6243- 6253. | |
| Wang J Y, Li G D, Ren X J, et al. Carbon flux characteristics and responses to environmental factors in the evergreen⁃deciduous broadleaf mixed forest of the north⁃south transitional zone. Acta Ecologica Sinica, 2024, 44 (14): 6243- 6253. | |
| 曾伟生, 王雪军, 陈振雄, 等. 林分起源对立木生物量模型的影响分析. 林业资源管理, 2014 (2): 40- 45. | |
| Zeng W S, Wang X J, Chen Z X, et al. Analysis of impacts of forest origin on single tree biomass models. Forest Resources Management, 2014 (2): 40- 45. | |
| 张瀚月. 2022. 中国主要树种生长量与碳汇量测计方法研究与应用. 北京: 北京林业大学. | |
| Zhang H Y. 2022. Research and application of measurement and statistics for the growth and carbon sink of major tree species in China. Beijing: Beijing Forestry University. [in Chinese] | |
| 张继平, 张林波, 刘春兰, 等. 井冈山中亚热带森林植被碳储量及固碳潜力估算. 生态环境学报, 2016, 25 (1): 9- 14. | |
| Zhang J P, Zhang L B, Liu C L, et al. Estimation of carbon stock and carbon sequestration potential of mid-subtropical forest in jinggang mountain national nature reserve. Ecology and Environmental Sciences, 2016, 25 (1): 9- 14. | |
|
赵 菡, 雷渊才, 符利勇. 江西省不同立地等级的马尾松林生物量估计和不确定性度量. 林业科学, 2017, 53 (8): 81- 93.
doi: 10.11707/j.1001-7488.20170810 |
|
|
Zhao H, Lei Y C, Fu L Y. Biomass and uncertainty estimates of Pinus massoniana forest for different site classes in Jiangxi Province. Scientia Silvae Sinicae, 2017, 53 (8): 81- 93.
doi: 10.11707/j.1001-7488.20170810 |
|
|
Cai W X, He N P, Li M X, et al. Carbon sequestration of Chinese forests from 2010 to 2060: spatiotemporal dynamics and its regulatory strategies. Science Bulletin, 2022, 67 (8): 836- 843.
doi: 10.1016/j.scib.2021.12.012 |
|
| Chai Z Z, Tan W. Impacts of close-to-nature management on the stand states of masson pine forests. Ecosystem Health and Sustainability, 2020, 6 (1): 45- 54. | |
|
Clark J S, Bell D M, Hersh M H, et al. Climate change vulnerability of forest biodiversity: climate and competition tracking of demographic rates: forests, clima te change, and competition. Global Change Biology, 2011, 17 (5): 1834- 1849.
doi: 10.1111/j.1365-2486.2010.02380.x |
|
| Contestabile M. A new policy field. Nature Climate Change, 2014, 4 (11): 954. | |
|
de Souza H J, Miguel E P, Nascimento R G M, et al. Thinning-response modifier term in growth models: an application on clonal Tectona grandis Linn F. stands at the Amazonian region. Forest Ecology and Management, 2022, 511, 120109.
doi: 10.1016/j.foreco.2022.120109 |
|
| Dong L H, Li F R, Jia W W. Development of a statistical approach for predicting the spatial distribution of branch size for planted larch (Larix olgensis) trees in northeast China. Journal of Forestry Research, 2016, 27 (2): 347- 355. | |
|
Forrester D I, Bauhus J. A review of processes behind diversity: productivity relationships in forests. Current Forestry Reports, 2016, 2 (1): 45- 61.
doi: 10.1007/s40725-016-0031-2 |
|
|
Jat M L, Chakraborty D, Ladha J K, et al. Conservation agriculture for sustainable intensification in south Asia. Nature Sustainability, 2020, 3 (4): 336- 343.
doi: 10.1038/s41893-020-0500-2 |
|
| Ketterings Q M, Coe R, van Noordwijk M, et al. Reducing uncertainty in the use of allometric biomass equations for predicting above-ground tree biomass in mixed secondary forests. Forest Ecology and Management, 2001, 146 (1/2/3): 199- 209. | |
|
Li H K, Zhao P X. Improving the accuracy of tree-level aboveground biomass equations with height classification at a large regional scale. Forest Ecology and Management, 2013, 289, 153- 163.
doi: 10.1016/j.foreco.2012.10.002 |
|
|
Luo Y J, Wang X K, Ouyang Z Y, et al. A review of biomass equations for China’s tree species. Earth System Science Data, 2020, 12 (1): 21- 40.
doi: 10.5194/essd-12-21-2020 |
|
|
Luo Y J, Wang X K, Zhang X Q, et al. Root: shoot ratios across China’s forests: forest type and climatic effects. Forest Ecology and Management, 2012, 269, 19- 25.
doi: 10.1016/j.foreco.2012.01.005 |
|
| Reineke L H. Perfecting a stand-density index for even-aged forests. Journal of Agricultural Research, 1933, 46 (7): 627- 638. | |
|
Sileshi G W. A critical review of forest biomass estimation models, common mistakes and corrective measures. Forest Ecology and Management, 2014, 329, 237- 254.
doi: 10.1016/j.foreco.2014.06.026 |
|
|
Wyss A B, Sofer T, Lee M K, et al. Multiethnic meta-analysis identifies ancestry-specific and cross-ancestry loci for pulmonary function. Nature Communications, 2018, 9 (1): 2976.
doi: 10.1038/s41467-018-05369-0 |
|
|
Xiang W, Lei X D, Zhang X Q. Modelling tree recruitment in relation to climate and competition in semi-natural Larix-Picea-Abies forests in northeast China. Forest Ecology and Management, 2016, 382, 100- 109.
doi: 10.1016/j.foreco.2016.09.050 |
|
|
Xu B, Guo Z D, Piao S L, et al. Biomass carbon stocks in China’s forests between 2000 and 2050: a prediction based on forest biomass-age relationships. Science China Life Sciences, 2010, 53 (7): 776- 783.
doi: 10.1007/s11427-010-4030-4 |
|
|
Zhang C H, Ju W M, Chen J M, et al. Sustained biomass carbon sequestration by China’s forests from 2010 to 2050. Forests, 2018, 9 (11): 689.
doi: 10.3390/f9110689 |
| [1] | 李平平,王彦辉,于澎涛,王依瑞,段文标,万艳芳,韦小茶,史再军. 黄土高原刺槐人工林生长对立地质量和林分密度的响应[J]. 林业科学, 2025, 61(7): 192-207. |
| [2] | 何潇,罗光成,高文强,李海奎,曾伟生,段福军,雷相东. 山西中条山林局油松纯林碳汇潜力[J]. 林业科学, 2025, 61(5): 74-84. |
| [3] | 曾伟生,杨学云,蒲莹. 天然落叶松林木冠幅模型与林分密度模型及其关系[J]. 林业科学, 2025, 61(2): 93-100. |
| [4] | 韩新生,王彦辉,于澎涛,李振华,于艺鹏,王晓. 宁夏六盘山北部华北落叶松林树高与胸径生长的多因子响应耦合模型构建[J]. 林业科学, 2024, 60(11): 13-24. |
| [5] | 龙时胜, 曾思齐, 杨盛扬. 基于改进林分密度指数的栎类天然林最大密度线[J]. 林业科学, 2023, 59(9): 13-22. |
| [6] | 刘悦,谢玲芝,张彦东,王政权,谷加存. 不同密度水曲柳人工林细根生物量对邻近树木胸径和距离的响应[J]. 林业科学, 2021, 57(10): 15-22. |
| [7] | 吴鞠, 陈瑜, 刘海轩, 许丽娟, 金桂香, 徐程扬. 林分密度及混交度对长白山天然风景林树木形态的影响[J]. 林业科学, 2018, 54(12): 12-21. |
| [8] | 冯宜明, 李毅, 曹秀文, 刘锦乾, 齐瑞, 赵阳, 陈学龙. 甘肃南部不同密度云杉人工幼林的林分结构特征及土壤理化性质[J]. 林业科学, 2018, 54(10): 20-30. |
| [9] | 祖笑锋, 倪成才, Gorden Nigh, 覃先林. 基于混合效应模型及EBLUP预测美国黄松林分优势木树高生长过程[J]. 林业科学, 2015, 51(3): 25-33. |
| [10] | 田新辉;孙荣喜;李军;赵长海;杨敏生. 107杨人工林密度对林木生长的影响[J]. 林业科学, 2011, 47(3): 184-188. |
| [11] | 段杰 马履一 贾黎明 侯雅琴 公宁宁 . 北京低山地区油松人工林立地指数表的编制及应用[J]. 林业科学, 2009, 12(3): 7-12. |
| [12] | 雷相东 李永慈 向玮. 基于混合模型的单木断面积生长模型[J]. 林业科学, 2009, 12(1): 74-80. |
| [13] | 项文化 田大伦 蔡宝玉 钟建德. 不同密度湿地松林凋落物量及养分特性的研究[J]. , 1997, 33(zk2): 175-180. |
| [14] | 徐德应 刘景芳 童书振. 杉木人工林优化密度控制模型——DENTROL[J]. , 1993, 29(5): 415-423. |
| 阅读次数 | ||||||
|
全文 |
|
|||||
|
摘要 |
|
|||||