Scientia Silvae Sinicae ›› 2020, Vol. 56 ›› Issue (11): 31-40.doi: 10.11707/j.1001-7488.20201104
Previous Articles Next Articles
Hui Han1,Xueli Zhang1,Hongzhong Dang2,*,Guijun Xu1,Xiao Zhang2,Sitong Wang1,Shuai Chen2,Baixi Zhang1
Received:2019-11-08
Online:2020-11-25
Published:2020-12-30
Contact:
Hongzhong Dang
CLC Number:
Hui Han,Xueli Zhang,Hongzhong Dang,Guijun Xu,Xiao Zhang,Sitong Wang,Shuai Chen,Baixi Zhang. Inter-annual Variation of Transpiration Intensity of Pinus sylvestris var. mongolica Stand on the Southern Margin of Horqin Sandy Land and its Relationship with Precipitation and Groundwater Level[J]. Scientia Silvae Sinicae, 2020, 56(11): 31-40.
Table 1
Schedules on the sample trees for measuring sap flow of Pinus sylvestris var. mongolica"
| 观测时期 Measuring period | 样木株数 Samples | 天数 Days | 林龄 Stand ages | 样地林分密度 Stand density/ (stems·hm-2) | 平均胸径 DBH/ cm | 平均边材面积 Sapwood area/ cm2 | 活枝下高 Height of live branch/ m | 全树高 Tree height/ m | 冠幅(东-西×南-北) Crown breadth (direction E-W×N-S)/ m | 地下水位 Groundwater level/ m | 郁闭度 Canopy closure | 海拔 Altitude/ m |
| 2010-04-12—10-31 | 8 | 203 | 32 | 404 | 16.2 | 155.2 | 3.7 | 9.4 | 4.3×3.8 | -3.08 | 0.6 | 204.2 |
| 2011-04-17—10-31 | 8 | 214 | 33 | 404 | 16.7 | 164.7 | 3.7 | 9.55 | 4.4×3.9 | -2.93 | 0.6 | 204.2 |
| 2012-04-18—10-31 | 6 | 197 | 35 | 391 | 20.7 | 250.4 | 6.5 | 11.5 | 4.4×4.3 | -2.78 | 0.6 | 205.0 |
| 2013-04-26—10-31 | 4 | 189 | 35 | 560 | 20.7 | 250.4 | 4.3 | 10.4 | 5.0×4.8 | -2.38 | 0.9 | 206.1 |
| 2014-03-28—10-31 | 8 | 214 | 36 | 404 | 18.4 | 199.0 | 3.7 | 9.7 | 4.6×4.0 | -2.83 | 0.7 | 204.2 |
| 2015-04-02—10-31 | 4 | 213 | 37 | 290 | 18.6 | 203.3 | 4.1 | 9.85 | 4.7×4.1 | -2.94 | 0.6 | 207.2 |
| 2016-04-01—10-30 | 4 | 213 | 38 | 290 | 19.5 | 222.9 | 4.1 | 10.0 | 4.8×4.2 | -2.93 | 0.6 | 207.2 |
| 2017-04-01—10-29 | 4 | 212 | 39 | 290 | 20.0 | 234.2 | 4.1 | 10.10 | 4.9×4.5 | -3.03 | 0.6 | 207.2 |
| 2018-04-01—10-15 | 12 | 198 | 40 | 372 | 19.9 | 231.9 | 3.7 | 10.20 | 4.8×4.3 | -3.26 | 0.7 | 204.2 |
Table 2
Transpiration and the ratio of transpiration to precipitation of P. sylvestris var. mongolica in years"
| 变量 Variables | 年份 Year | 多年平均值 Mutiple-year averages | ||||||||
| 2010 | 2011 | 2012 | 2013 | 2014 | 2015 | 2016 | 2017 | 2018 | ||
| 单株蒸腾强度 Transpiration intensity/ (kg·d-1stem-1) | 16.0±7.9 | 12.1±5.1 | 22.7±12.0 | 32.8±16.3 | 23.5±12.0 | 17.2±8.8 | 22.4±13.3 | 21.2±9.5 | 18.8±11.3 | 20.8±5.5 |
| 单株年蒸腾量 Transpiration/ (tonsy-1·stem-1) | 3.26 | 2.59 | 4.46 | 6.21 | 5.04 | 3.67 | 4.78 | 4.49 | 3.73 | 4.25 |
| 林分(参照密度)蒸腾强度 Stand transpiration/ (mm·d-1) | 0.65±0.33 | 0.52±0.23 | 0.63±0.36 | 0.98±0.51 | 0.98±0.50 | 0.74±0.38 | 0.89±0.50 | 0.83±0.38 | 0.84±0.50 | 0.86±0.31 |
| 林分(参照密度)年蒸腾量 Stand transpiration/ (mm·a-1) | 132.8 | 111.9 | 128.5 | 199.0 | 209.5 | 157.8 | 190.6 | 178.0 | 165.4 | 163.7 |
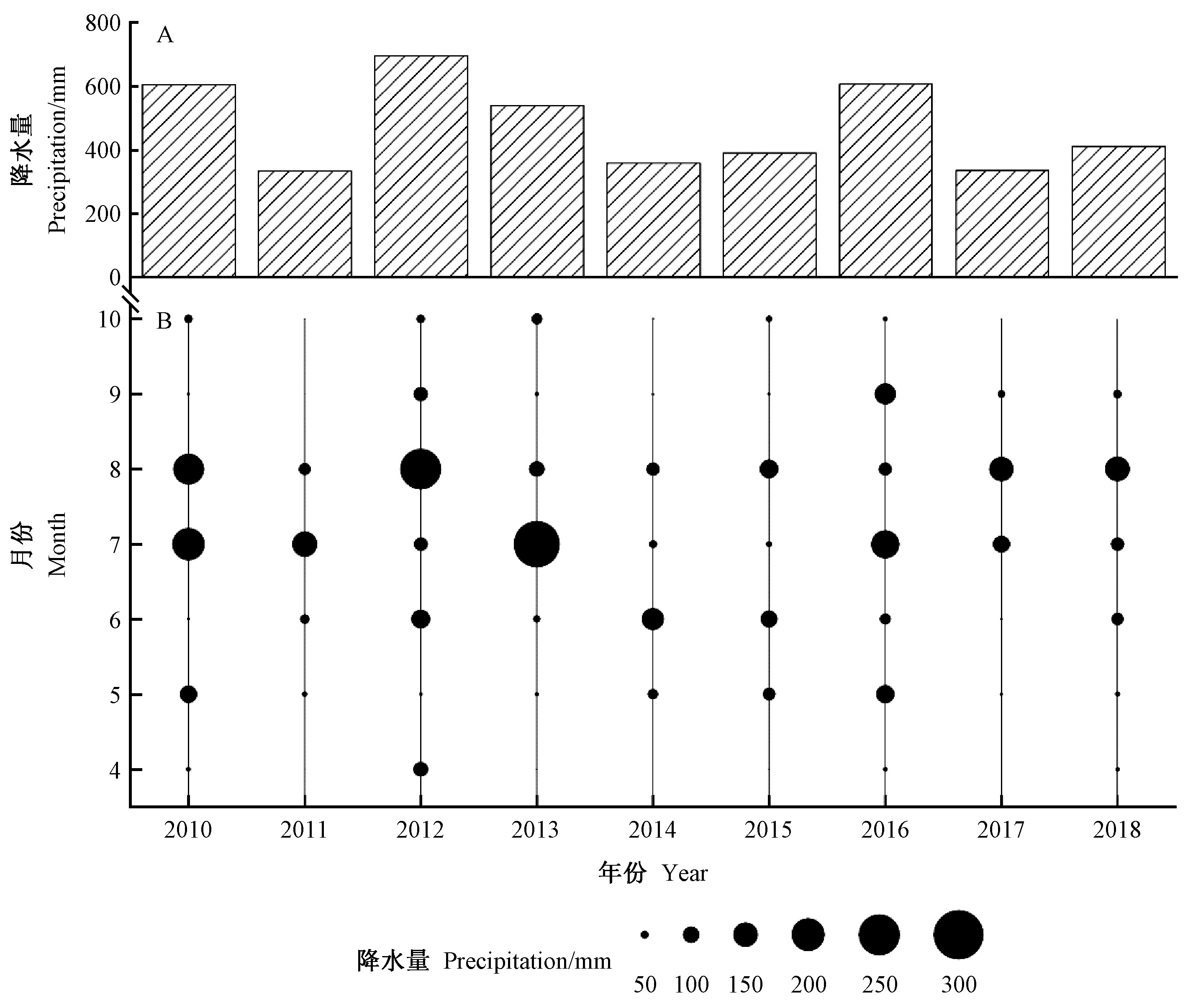
| 年降水量 Annual precipitation/mm | 689.2 | 354.0 | 772.6 | 605.6 | 382.8 | 432.7 | 637.4 | 346 | 457.1 | 519.7 |
| 年蒸腾/年降水 Ratio of annual transpiration to annual precipitation(%) | 19.3 | 31.6 | 16.6 | 32.9 | 54.7 | 36.5 | 29.8 | 51.5 | 36.2 | 31.5 |
| 白雪峰, 韩辉, 周凤艳, 等. 沙地樟子松蒸腾耗水的生态学特征. 辽宁工程技术大学学报:自然科学版, 2011, 30 (3): 404- 407. | |
| Bai X F , Han H , Zhou F Y , et al. Study on ecological characteristics of transpiration and water consumption of Pinus sylvestris var.mongolica in sand. Journal of Liaoning Technical University:Natural Science Edition, 2011, 30 (3): 404- 407. | |
| 陈彪, 陈立欣, 刘清泉, 等. 半干旱地区城市环境下樟子松蒸腾特征及其对环境因子的响应. 生态学报, 2015, 35 (15): 5076- 5084. | |
| Chen B , Chen L X , Liu Q Q , et al. Transpiration of Pinus sylvestris var.mongolica and its response to urban environmental factors in semi-arid area. Acta Ecologica Sinica, 2015, 35 (15): 5076- 5084. | |
| 陈仁升, 康尔泗, 赵文智, 等. 中国西北干旱区树木蒸腾对气象因子的响应. 生态学报, 2004, 24 (3): 477- 485. | |
| Chen R S , Kang E S , Zhao W Z , et al. Trees transpiration response to meteorological variables in arid regions of Northwest China. Acta Ecologica Sinica, 2004, 24 (3): 477- 485. | |
| 党宏忠, 杨文斌, 李卫, 等. 民勤绿洲二白杨树干液流的径向变化及时滞特征. 应用生态学报, 2014, 25 (9): 2501- 2510. | |
| Dang H Z , Yang W B , Li W , et al. Radial variation and time lag of sap flow of Populus gansuensis in Minqin Oasis, Northwest China. Chinese Journal of Applied Ecology, 2014, 25 (9): 2501- 2510. | |
| 党宏忠, 却晓娥, 冯金超, 等. 晋西黄土区苹果树边材液流速率对环境驱动的响应. 应用生态学报, 2019, 30 (3): 823- 831. | |
| Dang H Z , Qe X E , Feng J C , et al. Response of sap flow rate to environmental factors on apple trees in Loess Plateau Area in western Shanxi province, China. Chinese Journal of Applied Ecology, 2019, 30 (3): 823- 831. | |
| 韩辉, 白雪峰, 周凤艳. 章古台针叶固沙林土壤干化状况的研究. 防护林科技, 2006, (6): 19- 20, 25. | |
| Han H , Bai X F , Zhou F Y . Soil Desiccations status of the coniferous sand fixation plantation in Zhanggutai. Protection Forest Science and Technology, 2006, (6): 19- 20, 25. | |
|
韩辉, 白雪峰, 徐贵军, 等. 章古台地区樟子松人工林水量平衡初步研究. 辽宁林业科技, 2012, (6): 8- 11, 14.
doi: 10.3969/j.issn.1001-1714.2012.06.003 |
|
|
Han H , Bai X F , Xu G J , et al. Study on water balance of Pinus sylvestris var.mongolica planted forest in Zhanggutai area.. Journal of Liaoning Forestry Science & Technology, 2012, (6): 8- 11, 14.
doi: 10.3969/j.issn.1001-1714.2012.06.003 |
|
|
韩辉, 张学利, 党宏忠, 等. 基于树干液流通量的沙地樟子松合理林分密度的确定. 林业科学研究, 2015, 28 (6): 797- 803.
doi: 10.3969/j.issn.1001-1498.2015.06.006 |
|
|
Han H , Zhang X L , Dang H Z , et al. Study on proper stand density of Pinus sylvestris var.mongolica plantation in sandy land based on stem sap flow velocity. Forest Research, 2015, 28 (6): 797- 803.
doi: 10.3969/j.issn.1001-1498.2015.06.006 |
|
| 韩辉, 张学利, 党宏忠, 等. 沙地赤松树干边材液流速率的方位特征研究. 林业科学研究, 2019, 32 (2): 39- 45. | |
| Han H , Zhang X L , Dang H Z , et al. Azimuthal variation of the sap flow rate in the trunk of Pinus densiflora planted in sandy land. Forest Research, 2019, 32 (2): 39- 45. | |
| 焦树仁. 章古台固沙林生态系统的结构与功能. 沈阳: 辽宁科学技术出版社, 1989. | |
| Jiao S R . Sand-fixation plantation ecosystem's structure and function in Zhanggutai region. Shenyang: Liaoning Science and Technology Press, 1989. | |
| 焦树仁. 辽宁省章古台樟子松固沙林提早衰弱的原因与防治措施. 林业科学, 2001, 37 (2): 131- 138. | |
| Jiao S R . Report on the causes of the early decline of Pinus slyvestris var.mongolica shelterbelt and its preventative and control measures in zhang gutai of Liaoning province. Scientia Silvae Sinicae, 2011, 37 (2): 131- 138. | |
| 康宏樟, 朱教君, 李智辉, 等. 沙地樟子松天然分布与引种栽培. 生态学杂志, 2004, 23 (5): 134- 139. | |
| Kang H Z , Zhu J J , Li Z H , et al. Natural distribution of Pinus sylvestris var.mongolica on sandy land and its cultivation as an exotic species. Chinese Journal of Ecology, 2004, 23 (5): 134- 139. | |
| 康宏樟. 2007.沙地樟子松水分生理生态特征及其适应性-以科尔沁沙地东南缘为例.北京: 中国科学院大学博士学位论文. | |
| Kang H Z. 2007. Water physiological and ecological characteristics and adaptability of Pinus sylvestris var. mongolica on sandy land: a case study of the southeastern edge of Horqin sandy land. Beijing: The University of Chinese Academy of Sciences.[in Chinese] | |
| 刘冰, 龚维, 宫文宁, 等. 三北防护林体系建设面临的机遇和挑战. 生态学杂志, 2009, 28 (9): 1679- 1683. | |
| Liu B , Gong W , Gong W N , et al. Opportunities and challenges in the construction of the Three North Shelter Forest Program. Chinese Journal of Ecology, 2009, 28 (9): 1679- 1683. | |
| 卢志朋, 魏亚伟, 李志远, 等. 辽西北沙地樟子松树干液流的变化特征及其影响因素. 生态学杂志, 2017, 36 (11): 3182- 3189. | |
| Lu Z P , Wei Y W , Li Z Y , et al. Characteristics of sap flow and its influencing factors of Pinus sylvestris var.mongolica in sandy land of northwest Liaoning. Chinese Journal of Ecology, 2017, 36 (11): 3182- 3189. | |
| 罗维成, 赵文智, 孙程鹏, 等. 科尔沁沙地樟子松(Pinus sylvestris)人工固沙林演变过程中物种多样性和土壤水分特征. 中国沙漠, 2018, 38 (1): 126- 132. | |
| Luo W C , Zhao W Z , Sun C P , et al. Changes in species composition, diversity and soil water content of Pinus sylvestris artificial sand-fixation forest along an afforestation successional gradient in Horqin. Journal of Desert Research, 2018, 38 (1): 126- 132. | |
| 牛丽, 岳广阳, 赵哈林, 等. 利用液流法估算樟子松和小叶锦鸡儿人工林蒸腾耗水. 北京林业大学学报, 2008, 30 (6): 1- 8. | |
| Niu L , Yue G Y , Zhao H L , et al. Evaluating transpiration from Pinus sylvestris var.mongolica and Caragana microphylla using sap flow method. Journal of Beijing Forestry University, 2008, 30 (6): 1- 8. | |
| 宋立宁, 朱教君, 李明财, 等. 不同降水条件下科尔沁沙地南缘疏林草地樟子松针叶δ13C和叶性状特征. 应用生态学报, 2012, 23 (6): 1435- 1440. | |
| Song L N , Zhu J J , Li M C , et al. Needles stable carbon isotope composition and traits of Pinus sylvestris var.mongolica in sparse wood grassland in south edge of Keerqin sandy land under the conditions of different precipitation. Chinese Journal of Applied Ecology, 2012, 23 (6): 1435- 1440. | |
| 宋立宁, 朱教君, 郑晓. 基于沙地樟子松人工林衰退机制的营林方案. 生态学杂志, 2017, 36 (11): 3249- 3256. | |
| Song L N , Zhu J J , Zheng X . Forestation and management scheme of Pinus sylvestris var.mongolica plantations in sandy lands based on their decline mechanisms.. Chinese Journal of Ecology, 2017, 36 (11): 3249- 3256. | |
| 孙龙, 王传宽, 杨国亭, 等. 应用热扩散技术对红松人工林树干液流通量的研究. 林业科学, 2007, 43 (11): 8- 14. | |
| Sun L , Wang C K , Yang G T , et al. Sap flow flux of Pinus koraiensis plantation measured by thermal dissipation probes. Scientia Silvae Sinicae, 2007, 43 (11): 8- 14. | |
| 王华田, 马履一. 利用热扩式边材液流探针(TDP)测定树木整株蒸腾耗水量的研究. 植物生态学报, 2002, 26 (6): 661- 667. | |
| Wang H T , Ma L Y . Measurement of whole tree's water consumption with thermal dissipation sap flow probe(TDP). Chinese Journal of Plant Ecology, 2002, 26 (6): 661- 667. | |
| 吴丽萍, 王学东, 尉全恩, 等. 樟子松树干液流的时空变异性研究. 水土保持研究, 2003, 10 (4): 66- 68. | |
| Wu L P , Wang X D , Wei Q E , et al. Study on spatial and temporal variability for stem-sap flow of Pinus sylvestris var.mongolica. Research of Soil and Water Conservation, 2003, 10 (4): 66- 68. | |
| 吴祥云, 姜凤岐, 李晓丹, 等. 樟子松人工固沙林衰退的主要特征. 应用生态学报, 2004, 15 (12): 2221- 2224. | |
| Wu X Y , Jiang F Q , Li X Q , et al. Major features of decline of Pinus sylvestris var.mongolica plantation on sandy land. Chinese Journal of Applied Ecology, 2004, 15 (12): 2221- 2224. | |
| 闫妍. 2014.基于水量平衡的科尔沁沙地樟子松防护林生态适宜性评价.北京: 中国科学院大学博士学位论文. | |
| Yan Y. 2014. Suitability assessment of Pinus sylvestris var. mongolica shelter forest in Horqin sandy land based on water budget. Beijing: PhD thesis of the University of Chinese Academy of Sciences.[in Chinese] | |
| 杨文斌, 蒋士梅. 半干旱区四种针叶林蒸腾作用的研究. 生态学杂志, 1991, 10 (3): 18- 21, 71. | |
| Yang W B , Jiang S M . Study on transpiration of four conifers in semi-arid region. Chinese Journal of Ecology, 1991, 10 (3): 18- 21, 71. | |
| 于致龙, 韩辉, 宋鸽. 章古台地下水位与降水量变化动态相关性分析. 防护林科技, 2018, (3): 26- 29. | |
| Yu Z L , Han H , Song G . Dynamic analysis of groundwater level and precipitation change in Zhanggutai town. Protection Forest Science and Technology, 2018, (3): 26- 29. | |
| 张柏习, 张学利, 刘亚萍, 等. 不同改良利用模式对辽西北风沙土理化性质的影响. 辽宁林业科技, 2012, (5): 14- 17. | |
| Zhang B X , Zhang X L , Liu Y P , et al. The effects of different improvement and utilization model on physicochemical property of aeolian sandy soil in Northwest Liaoning. Journal of Liaoning Forestry Science & Technology, 2012, (5): 14- 17. | |
| 曾德慧, 姜凤岐. 从水量平衡角度探讨沙地樟子松人工林的合理密度. 防护林科技, 1995, (1): 4- 7. | |
| Zeng D H , Jiang F Q . The reasonable density of Pinus sylvestris var. mongolica plantation in sandy land was studied base on the water balance. Protection Forest Science and Technology, 1995, (1): 4- 7. | |
| 曾德慧, 姜凤岐, 范志平, 等. 樟子松人工固沙林稳定性的研究. 应用生态学报, 1996, 7 (4): 337- 343. | |
| Zeng D H , Jiang F Q , Fan Z P , et al. Stability of mongolian pine plantation on sandy land. Chinese Journal of Applied Ecology, 1996, 7 (4): 337- 343. | |
| 张友焱, 周泽福, 党宏忠, 等. 利用TDP液流计研究沙地樟子松的树干液流. 水土保持研究, 2006, 13 (4): 78- 80. | |
| Zhang Y Y , Zhou Z F , Dang H Z , et al. A study on the sap flow of Pinus Sylvestris var.mongolica with thermal dissipation probe. Research of Soil and Water Conservation, 2006, 13 (4): 78- 80. | |
| 朱教君, 曾德慧, 康宏樟, 等. 沙地樟子松人工林衰退机制. 北京: 中国林业出版社, 2005. | |
| Zhu J J , Zeng D H , Kang H Z , et al. Decline of Pinus sylvestris var. mongolica plantations on sandy land. Beijing: China Forestry Press, 2005. | |
| Fettig C J , Mortenson L A , Bulaon B M , et al. Tree mortality following drought in the central and southern Sierra Nevada, California, U.S. Forest Ecology and Management, 2019, 432, 164- 178. | |
| Granier A . A new method of sap flow measurement in tree stems. Annales of Forest Science, 1985, 42 (2): 193- 200. | |
| Granier A . Evaluation of transpiration in a Douglas fir stand by means of sap flow measurements. Tree Physiology, 1987, 3 (4): 309- 320. | |
| Granier A , Bobay V , Gash J H C , et al. Vapour flux density and transpiration rate comparisons in a stand of maritime pine (Pinus pinaster Ait.) in Les Landes forest. Agricultural and Forest Meteorology, 1990, 51 (3/4): 309- 319. | |
| Lapitan R L , Parton W J . Seasonal variabilities in the distribution of the microclimatic factors and evapotranspiration in a shortgrass steppe. Agricultural and Forest Meteorology, 1996, 79, 113- 130. | |
| Luo Y , Chen H Y . Climate change-associated tree mortality increases without decreasing water availability. Ecology Letters, 2015, 18 (11): 1207- 1215. | |
| Meir P , Mencuccini M , Dewar R C . Drought-related tree mortality:addressing the gaps in understanding and prediction. New Phytologist, 2015, 207 (1): 28- 33. | |
| Song L N , Zhu J J , Yan Q L , et al. Comparison of intrinsic water use efficiency between different aged Pinus sylvestris var.mongolica wide windbreaks in semiarid sandy land of northern China. Agroforestry Systems, 2015, 89, 477- 489. | |
| Song L N , Zhu J J , Li M C , et al. Sources of water used by Pinus sylvestris var.mongolica trees based on stable isotope measurements in a semiarid sandy region of Northeast China. Agricultural Water Management, 2016, 164, 281- 290. | |
| Song L N , Zhu J , Li M , et al. Canopy transpiration of Pinus sylvestris var.mongolica in a sparse wood grassland in the semiarid sandy region of Northeast China. Agricultural and Forest Meteorology, 2018, 250-251, 192- 201. | |
| Telander A C , Slesak R A , D'Amato A W , et al. Sap flow of black ash in wetland forests of northern Minnesota, USA:Hydrologic implications of tree mortality due to emerald ash borer. Agricultural and Forest Meteorology, 2015, 206, 4- 11. | |
| Wang W , Peng C , Kneeshawdaniel D , et al. Drought-induced tree mortality:ecological consequences, causes, and modeling. Environmental Reviews, 2012, 20 (2): 109- 121. |
| Viewed | ||||||
|
Full text |
|
|||||
|
Abstract |
|
|||||