林业科学 ›› 2025, Vol. 61 ›› Issue (9): 12-21.doi: 10.11707/j.1001-7488.LYKX20240466
• 研究论文 • 上一篇
杨凯捷1,2,3,丛巍巍4,陆森5,冯益明1,2,3,王锋1,2,3,*(
)
收稿日期:2024-07-26
出版日期:2025-09-25
发布日期:2025-10-10
通讯作者:
王锋
E-mail:wangfeng@caf.ac.cn
基金资助:
Kaijie Yang1,2,3,Weiwei Cong4,Sen Lu5,Yiming Feng1,2,3,Feng Wang1,2,3,*(
)
Received:2024-07-26
Online:2025-09-25
Published:2025-10-10
Contact:
Feng Wang
E-mail:wangfeng@caf.ac.cn
摘要:
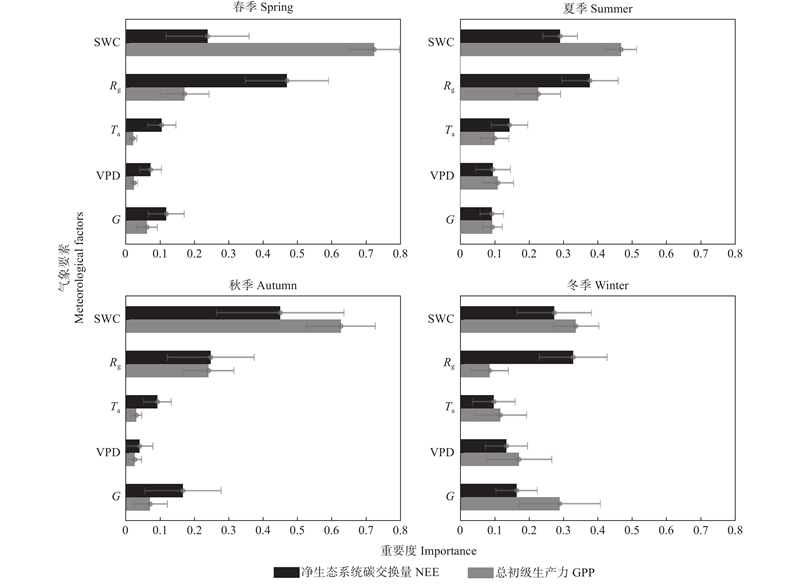
目的: 明确内蒙古浑善达克沙地榆树稀树草原生态系统的能量通量年变化特征及能量收支平衡,阐明其碳通量的季节和日变化特征及受环境因子的影响。方法: 利用涡度相关系统和气象设备,在2021年全年连续原位观测榆树稀树草原的碳通量、能量通量和环境因子,采用净生态系统碳交换量(NEE)的夜间拆分方法、能量闭合度方法和随机森林算法计算分析碳通量变化特征、能量收支平衡及环境因子的影响。结果: 1) 榆树稀树草原2021年全年的潜热、显热占净辐射比值分别为48.6%和41.5%,能量闭合度为73%。2) 全年的NEE为?231.77 g·m?2,生态系统总初级生产力(GPP)为849.79 g·m?2,生态系统呼吸为603.36 g·m?2。研究区在1、2、11和12月表现为碳源,其余月份均为碳汇,其中7月和8月碳汇强度最高(分别为?75.17和?73.75 g·m?2),占全年固碳总量的64.1%;在日尺度上,碳通量表现为典型的单峰型变化,夏季碳汇峰值为0.220 g·m?2halfhour?1。3) 在全年尺度,气温是影响碳通量的主要因子。在季节尺度,总辐射是影响春、夏和冬季NEE的最重要环境因子(重要性分别为47%、37%、35%),土壤含水量则是影响秋季NEE的最重要环境因子(重要性58%);GPP最重要的驱动因子是土壤含水量(重要性分别为:春季72%、夏季46%、秋季61%、冬季32%),其次为总辐射。结论: 榆树稀树草原具有远高于同区域草原生态系统的固碳能力,土壤水分是该生态系统碳通量重要的影响因子。我国浑善达克沙地和科尔沁沙地生态治理中,恢复当地天然植被榆树稀树草原同时具有沙地修复和固碳增汇双重效益。
中图分类号:
杨凯捷,丛巍巍,陆森,冯益明,王锋. 温带榆树稀树草原碳通量变化特征及环境因子的影响[J]. 林业科学, 2025, 61(9): 12-21.
Kaijie Yang,Weiwei Cong,Sen Lu,Yiming Feng,Feng Wang. Characteristics of Carbon Flux Variations and Its Effects of Environmental Factors in Temperate Elm Savnanna Ecosystem[J]. Scientia Silvae Sinicae, 2025, 61(9): 12-21.
|
陈 亮, 周国模, 杜华强, 等. 基于随机森林模型的毛竹林CO2通量模拟及其影响因子. 林业科学, 2018, 54 (8): 1- 12.
doi: 10.11707/j.1001-7488.20180801 |
|
|
Chen L, Zhou G M, Du H Q, et al. Simulation of CO2 flux and controlling factors in moso bamboo forest using random forest algorithm. Scientia Silvae Sinicae, 2018, 54 (8): 1- 12.
doi: 10.11707/j.1001-7488.20180801 |
|
|
陈世苹, 胡中民. 中国典型生态脆弱区碳水通量过程研究. 植物生态学报, 2022, 46 (12): 1433- 1436.
doi: 10.17521/cjpe.2022.0404 |
|
|
Chen S P, Hu Z M. Ecosystem carbon and water fluxes in ecological vulnerable areas in China. Chinese Journal of Plant Ecology, 2022, 46 (12): 1433- 1436.
doi: 10.17521/cjpe.2022.0404 |
|
|
陈世苹, 游翠海, 胡中民, 等. 涡度相关技术及其在陆地生态系统通量研究中的应用. 植物生态学报, 2020, 44 (4): 291- 304.
doi: 10.17521/cjpe.2019.0351 |
|
|
Chen S P, You C H, Hu Z M, et al. Eddy covariance technique and its applications in flux observations of terrestrial ecosystems. Chinese Journal of Plant Ecology, 2020, 44 (4): 291- 304.
doi: 10.17521/cjpe.2019.0351 |
|
| 晨 阳, 李慧融, 李冬楠, 等. 锡林浩特草原净生态系统碳交换量特征及源区分布. 应用生态学报, 2023, 34 (6): 1509- 1516. | |
| Chen Y, Li H R, Li DN, et al. Characteristics of net ecosystem exchange and source distribution of Xilinhot grassland, China. Chinese Journal of Applied Ecology, 2023, 34 (6): 1509- 1516. | |
| 高 翔, 周 宇, 孟 平, 等. 辽西樟子松人工林净生态系统碳交换. 应用生态学报, 2022, 33 (5): 1183- 1190. | |
| Gao X, Zhou Y, Meng P, et al. Net ecosystem exchange of Pinus sylvestris var. mongolica plantation in the western Liaoning Province, China. Chinese Journal of Applied Ecology, 2022, 33 (5): 1183- 1190. | |
| 韩 东, 王浩舟, 郑邦友, 等. 基于无人机和决策树算法的榆树疏林草原植被类型划分和覆盖度生长季动态估计. 生态学报, 2018, 38 (18): 6655- 6663. | |
| Han D, Wang H Z, Zheng B Y, et al. Vegetation type classification and fractional vegetation coverage estimation for an open elm ( Ulmus pumila) woodland ecosystem during a growing season based on an unmanned aerial vehicle platform coupled with decision tree algorithms. Acta Ecologica Sinica, 2018, 38 (18): 6655- 6663. | |
| 纪小芳, 龚 元, 郑 翔, 等. 凤阳山针阔混交林通量观测源区分布及特征. 生态学报, 2020, 40 (20): 7377- 7388. | |
| Ji X F, Gong Y, Zheng X, et al. Distribution and characteristics of flux footprint of coniferous and broad-leaved mixed forest ecosystem in Fengyang Mountain of Zhejiang, China. Acta Ecologica Sinica, 2020, 40 (20): 7377- 7388. | |
|
李钢铁, 姚云峰, 邹受益, 等. 科尔沁沙地榆树疏林草原植被研究. 干旱区资源与环境, 2004, 18 (6): 132- 138.
doi: 10.3969/j.issn.1003-7578.2004.06.027 |
|
|
Li G T, Yao Y F, Zhou S Y, et al. Studies on elm woodland steppe in kerqin sandy land. Journal of arid land resources and environment, 2004, 18 (6): 132- 138.
doi: 10.3969/j.issn.1003-7578.2004.06.027 |
|
| 刘世荣, 王 晖, 李海奎, 等. 2024. 碳中和目标下中国森林碳储量、碳汇变化预估与潜力提升途径. 林业科学, 60 (4): 157−172. | |
| Liu S R, Wang H, Li H K, et al. 2024. Projections of China’s forest carbon storage and sequestration and ways of their potential capacity enhancement, Scientia Silvae Sinicae, 60 (4): 157−172. [in Chinese] | |
| 李 刚, 李永庚, 刘美珍, 等. 浑善达克沙地稀树疏林草地植被生物量及净初级生产力. 科技导报, 2021, 29 (25): 30- 37. | |
| Li G, Li Y G, Liu M Z, et al. Vegetation biomass and net primary production of sparse forest grassland in hunshandake sandland. Science & Technology Review, 2021, 29 (25): 30- 37. | |
|
李鑫豪, 张德怀, 张赵森, 等. 北京密云油松人工林碳通量组分季节变化及其对环境因子的响应. 林业科学, 2023, 59 (7): 35- 44.
doi: 10.11707/j.1001-7488.LYKX20220865 |
|
|
Li X H, Zhang D H, Zhang Z S, et al. Seasonal variations in carbon fluxes and their responses to environmental factors in a pinus tabuliformis plantation ecosystem in Miyun, Beijing. Scientia Silvae Sinicae, 2023, 59 (7): 35- 44.
doi: 10.11707/j.1001-7488.LYKX20220865 |
|
| 李晓雅, 王 锋, 段 涛, 等. 中国东部沙地温带稀树草原的分布与制图. 中国科学: 地球科学, 2025, 55 (1): 126- 140. | |
| Li X Y, Wang F, Duan T, et al. Distribution and mapping of temperate savanna in the sandy lands of eastern China. Science China Earth Sciences, 2025, 55 (1): 126- 140. | |
|
彭 琴, 齐玉春, 董云社, 等. 干旱半干旱地区草地碳循环关键过程对降雨变化的响应. 地理科学进展, 2012, 31 (11): 1510- 1518.
doi: 10.11820/dlkxjz.2012.11.012 |
|
|
Peng Q, Qi Y C, Dong Y S, et al. Responses of carbon cycling key processes to precipitation changes in arid and semiarid grassland ecosystems: a review. Pogress in Geography, 2012, 31 (11): 1510- 1518.
doi: 10.11820/dlkxjz.2012.11.012 |
|
| 朴世龙, 何 悦, 王旭辉, 等. 中国陆地生态系统碳汇估算: 方法、进展、展望. 中国科学: 地球科学, 2022, 52 (6): 1010- 1020. | |
| Piao S L, He Y, Wang X H, et al. Estimation of China's terrestrial ecosystem carbon sink: methods, progress and prospects. Science China Earth Sciences, 2022, 52 (6): 1010- 1020. | |
| 祁亚辉, 王小丹. 陆地生态系统碳通量面临的挑战与机遇-基于涡度协方差测定. 生态学报, 2023, 43 (8): 2979- 2994. | |
| Qi Y H, Wang X D. Challenges and opportunities for measuring carbon fluxes in terrestrial ecosystems by eddy covariance. Acta Ecologica Sinica, 2023, 43 (8): 2979- 2994. | |
| 唐 祥, 陈文婧, 李春义, 等. 2013 北京八达岭林场人工林净碳交换及其环境影响因子. 应用生态学报, 24 (11): 3057-3064. | |
| Tang X, Chen W J, Li C Y, et al. 2013. Net carbon exchange and its environmental affecting factors in a forest plantation in Badaling, Beijing of China. Journal of Applied Ecology, 24 (11): 3057-3064. [in Chinese] | |
|
王俐爽, 同小娟, 孟 平, 等. 辽西半干旱地区两种典型人工林生态系统能量通量及蒸散特征. 植物生态学报, 2022, 46 (12): 1508- 1522.
doi: 10.17521/cjpe.2022.0099 |
|
|
Wang L S, Tong X J, Meng P, et al. Energy flux and evapotranspiration of two typical plantations in semi-arid area of western Liaoning, China. Chinese Journal of Plant Ecology, 2022, 46 (12): 1508- 1522.
doi: 10.17521/cjpe.2022.0099 |
|
| 王 伟, 方青青, 王国强. 等. 呼伦贝尔草原区CO2源、汇及时空分布模拟研究. 生态学报, 2018, 38 (20): 7288- 7299. | |
| Wang W, Fang Q Q, Wang G Q, et al. Simulation of CO2 source, sink, and flux temporal and spatial distributions in Hulun Buir grassland. Acta Ecologica Sinica, 2018, 38 (20): 7288- 7299. | |
| 王秀英, 周秉荣, 苏淑兰, 等. 青藏高原高寒草甸和荒漠碳交换特征及其气象影响机制. 生态学报, 2023, 43 (3): 1194- 1208. | |
| Wang X Y, Zhou B R, Su S L, et al. Carbon exchange characteristics and meteorological influence mechanism of alpine meadow and desert in Qinghai-Tibet Plateau. Acta Ecologica Sinica, 2023, 43 (3): 1194- 1208. | |
|
王彦兵, 游翠海, 谭星儒, 等. 中国北方干旱半干旱区草原生态系统能量平衡闭合的季节和年际变异. 植物生态学报, 2022, 46 (12): 1448- 1460.
doi: 10.17521/cjpe.2021.0428 |
|
|
Wang Y B, You C H, Tan X R, et al. Seasonal and interannual variations in energy balance closure over arid and semi-arid grasslands in northern China. Chinese Journal of Plant Ecology, 2022, 46 (12): 1448- 1460.
doi: 10.17521/cjpe.2021.0428 |
|
|
王玉辉, 井长青, 白 洁, 等. 亚洲中部干旱区3个典型生态系统生长季水碳通量特征. 植物生态学报, 2014, 38 (8): 795- 808.
doi: 10.3724/SP.J.1258.2014.00075 |
|
|
Wang Y H, Jing C Q, Bai J, et al. Characteristics of water and carbon fluxes during growing season in three typical arid ecosystems in central Asia. Chinese Journal of Plant Ecology, 2014, 38 (8): 795- 808.
doi: 10.3724/SP.J.1258.2014.00075 |
|
| 韦志刚, 胡嘉骢, 董文杰, 等. 珠海凤凰山陆气相互作用与碳通量观测塔的基本观测及晴天主要观测量的日变化特征. 大气科学, 2016, 40 (2): 423- 436. | |
| Wei Z G, Hu J C, Dong W J, et al. Basic observations and diurnal variation of key meteorological variables on clear days in the phoenix mountain area of Zhuhai. Chinese Journal of Atmospheric Sciences, 2016, 40 (2): 423- 436. | |
| 于贵瑞, 王秋凤, 朱先进, 等. 区域尺度陆地生态系统碳收支评估方法及其不确定性. 地理科学进展, 2011, 31 (19): 5449- 5459. | |
| Yu G R, Fang H J, Fu Y L, et al. Research on carbon budget and carbon cycle of terrestrial ecosystems in regional scale: a review. Acta Ecologica Sinica, 2011, 31 (19): 5449- 5459. | |
|
于顺利, 陈宏伟. 内蒙古高原温带稀树草原生态系统特征与成因. 生态学杂志, 2007, 26 (4): 549- 554.
doi: 10.3321/j.issn:1000-4890.2007.04.018 |
|
|
Yu S L, Chen H W. Characteristics and formation causes of temperate sparse forest grass land ecosystem in Inner Mongolia Plateau. Chinese Journal of Ecology, 2007, 26 (4): 549- 554.
doi: 10.3321/j.issn:1000-4890.2007.04.018 |
|
| 张元媛, 朱万泽, 孙向阳, 等. 川西贡嘎山峨眉冷杉成熟林生态系统CO2通量特征. 生态学报, 2018, 38 (17): 6125- 6135. | |
| Zhang Y Y, Zhu W Z, Sun X Y, et al. Carbon dioxide flux characteristics in an Abies fabri mature forest on Gongga Mountain, Sichuan, China. Acta Ecologica Sinica, 2018, 38 (17): 6125- 6135. | |
| 赵卉忱, 贾根锁, 王鹤松, 等. 中国半干旱区草甸草原和典型草原碳通量日变化特征. 气候与环境研究, 2020, 25 (2): 172- 184. | |
| Zhao H C, Jia G S, Wang H S, et al. Diurnal variations of the carbon fluxes of semiarid meadow steppe and typical steppe in China. Climatic and Environmental Research, 2020, 25 (2): 172- 184. | |
| 朱 苑, 刘 帆, 王传宽, 等. 帽儿山温带落叶阔叶林净生态系统碳交换的日变化及光响应特征. 应用生态学报, 2020, 31 (1): 72- 82. | |
| Zhu Y, Liu F, Wang C K, et al. CO2 flux characteristics and their influence on the carbon budget of a larch plantation in Maoershan region of Northeast China. Chinese Journal of Applies Ecology, 2020, 31 (1): 72- 82. | |
|
Ahlström A, Raupach M R, Schurgers G, et al. The dominant role of semi-arid ecosystems in the trend and variability of the land CO2 sink. Science, 2015, 348 (6237): 895- 899.
doi: 10.1126/science.aaa1668 |
|
|
Chen S P, Chen J Q, Lin G H, et al. Energy balance and partition in Inner Mongolia steppe ecosystems with different land use types. Agricultural and Forest Meteorology, 2009, 149 (11): 1800- 1809.
doi: 10.1016/j.agrformet.2009.06.009 |
|
|
El-Madany T S, Carrara A, Martín M P, et al. Drought and heatwave impacts on semi-arid ecosystems' carbon fluxes along a precipitation gradient. Philosophical transactions of the royal society B, 2020, 375 (1810): 20190519.
doi: 10.1098/rstb.2019.0519 |
|
| Ewers B E, Mackay D S, Gower S T, et al. Tree species effects on stand transpiration in northern Wisconsin. Water Resources Research, 2002, 38 (7): 1- 11. | |
|
Falge E, Baldocchi D, Olson R, et al. Gap filling strategies for defensible annual sums of net ecosystem exchange. Agricultural and Forest Meteorology, 2001, 107, 43- 69.
doi: 10.1016/S0168-1923(00)00225-2 |
|
|
Kannenberg S A, Anderegg W R L, Barnes M L, et al. Dominant role of soil moisture in mediating carbon and water fluxes in dryland ecosystems. Nature Geoscience, 2024, 17 (1): 38- 43.
doi: 10.1038/s41561-023-01351-8 |
|
|
Kormann R, Meixner F X. An analytical footprint model for non-neutral stratification. Boundary-Layer Meteorology, 2001, 99 (2): 207- 224.
doi: 10.1023/A:1018991015119 |
|
|
Lei H M, Yang D W. Seasonal and interannual variations in carbon dioxide exchange over a cropland in the North China Plain. Global Change Biology, 2010, 16 (11): 2944- 2957.
doi: 10.1111/j.1365-2486.2009.02136.x |
|
|
Liu H, Tu G, Fu C, et al. Three-year variations of water, energy and CO2 fluxes of cropland and degraded grassland surfaces in a semi-arid area of Northeastern China. Advances in Atmospheric Sciences, 2008, 25 (6): 1009- 1020.
doi: 10.1007/s00376-008-1009-1 |
|
|
Liu S M, Xu Z W, Che T, et al. A dataset of energy, water vapor, and carbon exchange observations in oasis–desert areas from 2012 to 2021 in a typical endorheic basin. Earth Systtem Science Data, 2023, 15, 4959- 4981.
doi: 10.5194/essd-15-4959-2023 |
|
| Mackay D S, Ewers B E, Cook B D, et al. Environmental drivers of evapotranspiration in a shrub wetland and an upland forest in northern Wisconsin. Water Resources Research, 2007, 43 (3): W03442. | |
| Park H, Jeong S, Peñuelas J. 2020. Accelerated rate of vegetation green-up related to warming at northern high latitudes. Global Change Biology. 26(11): 6190-6202. | |
|
Sun G, Noormets A, Chen J, et al. Evapotranspiration estimates from eddy covariance towers and hydrologic modeling in managed forests in Northern Wisconsin, USA. Agricultural and Forest Meteorology, 2008, 148 (2): 257- 267.
doi: 10.1016/j.agrformet.2007.08.010 |
|
| Tong X J, Meng P, Zhang J S, et al. Ecosystem carbon exchange over a warm-temperate mixed plantation in the lithoid hilly area of the North China. Atmospheric Environment, 2012, 49, 1352- 2310. | |
|
Wang H Z, Han D, Mu Y, et al. Landscape-level vegetation classification and fractional woody and herbaceous vegetation cover estimation over the dryland ecosystems by unmanned aerial vehicle platform. Agricultural and Forest Meteorology, 2019, 278, 107665.
doi: 10.1016/j.agrformet.2019.107665 |
|
|
Wang Y L, Tian X J, Duan M Z, et al. Optimal design of surface CO2 observation network to constrain China's land carbon sink. Science Bulletin, 2023, 68 (15): 1678- 1686.
doi: 10.1016/j.scib.2023.07.010 |
|
|
Wilson K, Goldstein A, Falge E, et al. Energy balance closure at FLUXNET sites. Agricultural and Forest Meteorology, 2002, 113 (1/4): 223- 243.
doi: 10.1016/S0168-1923(02)00109-0 |
|
|
Wutzler T, Lucas-Moffat A, Migliavacca M, et al. Basic and extensible post-processing of eddy covariance flux data with REddyProc. Biogeosciences Discussions, 2018, 15 (16): 5015- 5030.
doi: 10.5194/bg-15-5015-2018 |
|
| Yao Y T, Wang X H, Li Y, et al. Spatiotemporal pattern of gross primary productivity and its covariation with climate in China over the last thirty years. Global Change Biology, 2017, 24 (1): 184- 196. | |
|
You C H, Wang Y B, Tan X R, et al. Inner Mongolia grasslands act as a weak regional carbon sink: A new estimation based on upscaling eddy covariance observations. Agricultural and Forest Meteorology, 2023, 342, 109719.
doi: 10.1016/j.agrformet.2023.109719 |
|
|
Zahn E, Bou-Zeid E, Good S P, et al. Direct partitioning of eddy-covariance water and carbon dioxide fluxes into ground and plant components. Agricultural and Forest Meteorology, 2022, 315, 108790.
doi: 10.1016/j.agrformet.2021.108790 |
|
|
Zeng J, Matsunaga T, Tan Z H, et al. Global terrestrial carbon fluxes of 1999-2019 estimated by upscaling eddy covariance data with a random forest. Scientific Data, 2020, 7 (1): 313.
doi: 10.1038/s41597-020-00653-5 |
|
|
Zhao L, Li Y, Xu S, et al. Diurnal, seasonal and annual variation in net ecosystem CO2 exchange of an alpine shrubland on Qinghai-Tibetan Plateau. Global Change Biology, 2006, 12 (10): 1940- 1953.
doi: 10.1111/j.1365-2486.2006.01197.x |
| [1] | 杨甫禹,张弥,肖薇,石婕. VPM模型最大光能利用效率参数优化对不同森林生态系统GPP模拟的影响[J]. 林业科学, 2025, 61(3): 86-99. |
| [2] | 管崇帆,高翔,李志鹏,胡晓创,胡美均,张劲松,孟平,蔡金峰,孙守家. 辽西地区樟子松人工林生产力和水分利用效率对气候变化的响应及预测[J]. 林业科学, 2024, 60(7): 28-39. |
| [3] | 乔英,马英杰,辛明亮. 基于REddyProc的干旱区枣林通量数据插补及能量平衡分析[J]. 林业科学, 2023, 59(8): 1-11. |
| [4] | 李鑫豪,张德怀,张赵森,李建,曹俊,隗骥超,吴晓朦,田赟,刘鹏,于海群. 北京密云油松人工林碳通量组分季节变化及其对环境因子的响应[J]. 林业科学, 2023, 59(7): 35-44. |
| [5] | 万家鸣,律江,石云,许行,张志强. 散射辐射对杨树人工林生态系统总初级生产力的影响[J]. 林业科学, 2023, 59(5): 1-10. |
| [6] | 陈亮, 周国模, 杜华强, 刘玉莉, 毛方杰, 徐小军, 李雪建, 崔璐, 李阳光, 朱迪恩. 基于随机森林模型的毛竹林CO2通量模拟及其影响因子[J]. 林业科学, 2018, 54(8): 1-12. |
| [7] | 同小娟;张劲松 孟平 黄辉 国琳 尹昌君 高峻. 华北低丘山地人工混交林净生态系统碳交换的变化特征[J]. 林业科学, 2010, 46(3): 37-43. |
| [8] | 吴家兵;关德新 施婷婷 韩士杰 于贵瑞 孙晓敏. 非生长季长白山红松针阔叶混交林CO2通量特征[J]. 林业科学, 2006, 42(9): 1-6. |
| 阅读次数 | ||||||
|
全文 |
|
|||||
|
摘要 |
|
|||||