Scientia Silvae Sinicae ›› 2023, Vol. 59 ›› Issue (5): 157-164.doi: 10.11707/j.1001-7488.LYKX20210565
• Scientific notes • Previous Articles
Shulei Li1,Hong Zhang2,Yibo Li3,Jieying Yuan3,Feifan Xie3,Hanxing Wang3,Jie Chu3,*,Ruijin Yu1
Received:2021-08-02
Online:2023-05-25
Published:2023-08-02
Contact:
Jie Chu
CLC Number:
Shulei Li,Hong Zhang,Yibo Li,Jieying Yuan,Feifan Xie,Hanxing Wang,Jie Chu,Ruijin Yu. Analysis of the Effect of Enzyme Pretreatment on the Decolorization of Paulownia[J]. Scientia Silvae Sinicae, 2023, 59(5): 157-164.
Table 1
Color parameters of decolorization of paulownia after pretreatment"
| 温度 Temperature/℃ | pH | 时间 Time/min | L* | a* | b* | ?E* |
| 30 | 3 | 60 | 72.03 | 5.21 | 21.34 | 5.48 |
| 75 | 67.02 | 6.30 | 21.76 | 6.35 | ||
| 90 | 67.00 | 5.64 | 20.02 | 4.75 | ||
| 105 | 69.38 | 5.22 | 20.25 | 3.95 | ||
| 5 | 60 | 73.43 | 4.96 | 21.04 | 5.92 | |
| 75 | 69.34 | 5.68 | 20.25 | 4.15 | ||
| 90 | 71.50 | 5.23 | 18.61 | 3.09 | ||
| 105 | 71.02 | 5.63 | 21.37 | 5.30 | ||
| 7 | 60 | 72.13 | 4.95 | 19.69 | 4.11 | |
| 75 | 68.52 | 4.37 | 18.48 | 2.31 | ||
| 90 | 70.84 | 5.77 | 19.72 | 3.89 | ||
| 105 | 71.79 | 4.03 | 17.20 | 2.19 | ||
| 50 | 3 | 60 | 70.59 | 4.20 | 18.30 | 1.97 |
| 75 | 71.68 | 4.96 | 21.19 | 5.14 | ||
| 90 | 73.40 | 4.59 | 19.90 | 5.03 | ||
| 105 | 73.33 | 4.84 | 19.99 | 5.08 | ||
| 5 | 60 | 63.51 | 6.17 | 21.65 | 8.35 | |
| 75 | 69.87 | 5.42 | 20.62 | 4.36 | ||
| 90 | 67.69 | 5.87 | 20.88 | 5.19 | ||
| 105 | 70.87 | 5.37 | 20.41 | 4.30 | ||
| 7 | 60 | 71.81 | 4.38 | 19.20 | 3.41 | |
| 75 | 73.79 | 5.24 | 19.67 | 5.33 | ||
| 90 | 73.68 | 5.09 | 19.23 | 4.96 | ||
| 105 | 74.15 | 4.95 | 18.19 | 4.88 | ||
| 70 | 3 | 60 | 68.73 | 5.89 | 22.78 | 6.61 |
| 75 | 70.31 | 5.91 | 22.20 | 6.04 | ||
| 90 | 69.95 | 6.32 | 23.76 | 7.61 | ||
| 105 | 70.03 | 5.62 | 21.58 | 5.33 | ||
| 5 | 60 | 71.02 | 5.16 | 22.68 | 6.38 | |
| 75 | 70.17 | 5.68 | 22.87 | 6.58 | ||
| 90 | 69.53 | 6.00 | 25.08 | 8.78 | ||
| 105 | 66.95 | 5.60 | 22.18 | 6.49 | ||
| 7 | 60 | 74.05 | 4.68 | 20.12 | 6.02 | |
| 75 | 69.10 | 5.26 | 19.27 | 3.13 | ||
| 90 | 70.66 | 5.62 | 20.87 | 4.76 | ||
| 105 | 72.50 | 3.83 | 16.54 | 2.80 |
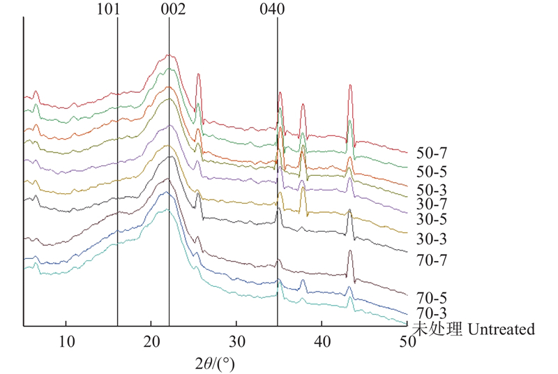
Table 2
Crystallinity calculation parameters"
| 样品Sample | Iam | I002 | CI(%) |
| 未处理Untreated | 1 343.489 | 1 616.814 | 16.91 |
| 30-3 | 1 142.007 | 1 463.095 | 21.94 |
| 30-5 | 1 062.084 | 1 436.291 | 26.05 |
| 30-7 | 1 020.637 | 1 399.190 | 27.05 |
| 50-3 | 1 361.831 | 1 760.143 | 22.63 |
| 50-5 | 1 004.362 | 1 427.863 | 29.66 |
| 50-7 | 982.857 | 1 453.986 | 32.40 |
| 70-3 | 1 318.866 | 1 657.045 | 20.71 |
| 70-5 | 1 082.314 | 1 421.057 | 23.84 |
| 70-7 | 1 074.863 | 1 434.888 | 25.09 |
Table 3
Calculation parameters of crystallization zone"
| 样品Sample | B | 2θ | D | d |
| 未处理Untreated | 0.044 935 | 20.94 | 3.102 | 0.470 |
| 30-3 | 0.043 827 | 21.03 | 3.181 | 0.468 |
| 30-5 | 0.043 749 | 21.08 | 3.187 | 0.467 |
| 30-7 | 0.043 528 | 21.11 | 3.203 | 0.466 |
| 50-3 | 0.043 369 | 21.05 | 3.214 | 0.468 |
| 50-5 | 0.044 258 | 21.07 | 3.150 | 0.467 |
| 50-7 | 0.042 675 | 21.17 | 3.270 | 0.465 |
| 70-3 | 0.043 735 | 21.01 | 3.176 | 0.468 |
| 70-5 | 0.043 257 | 21.06 | 3.223 | 0.467 |
| 70-7 | 0.042 687 | 21.13 | 3.256 | 0.466 |
| 曹惠敏, 王文斌, 孙伟圣, 等. FeCl2处理麻栎木材化学变色工艺及变色机理研究 . 林业工程学报, 2020, 5 (1): 75- 80. | |
| Cao H M, Wang W B, Sun W S, et al. Technology and mechanism of chemical discoloration of oak(Quercus acutissima) using FeCl2 solution . Journal of Forestry Engineering, 2020, 5 (1): 75- 80. | |
| 常德龙, 李芳东, 胡伟华, 等. 国内外泡桐木材市场分析与我国发展对策. 世界林业研究, 2018, 31 (1): 57- 62. | |
| Chang D L, Li F D, Hu W H, et al. Analysis on international and national Paulownia wood market and its development strategy in China . World Forestry Research, 2018, 31 (1): 57- 62. | |
| 常德龙, 宋湛谦, 黄文豪, 等. 真菌对泡桐木材化学成分及其结构的影响. 北京林业大学学报, 2006, 28 (3): 145- 149. | |
| Chang D L, Song Z Q, Huang W H, et al. Impacts of fungi on chemical components and physical structure of Paulownia elongata wood . Journal of Beijing Forestry University, 2006, 28 (3): 145- 149. | |
| 楚 杰, 张军华, 马 莉, 等. XRD与NMR的热处理竹材结晶性能研究. 光谱学与光谱分析, 2017, 37 (1): 256- 261. | |
| Chu J, Zhang J H, Ma L, et al. Study of crystallinity performance of pretreated bamboo fibers based on X-ray diffraction and NMR. Spectroscopy and Spectral Analysis, 2017, 37 (1): 256- 261. | |
| 冯严严. 生物酶漂白的研究进展. 黑龙江造纸, 2014, 42 (4): 28- 31. | |
| Feng Y Y. Research progress of biological enzyme bleaching. Heilongjiang Pulp & Paper, 2014, 42 (4): 28- 31. | |
| 李 峰, 王松林, 宋晓明. 生物酶在纸浆漂白过程中的应用. 云南化工, 2018, 45 (8): 164- 166. | |
| Li F, Wang S L, Song X M. Application of biological enzymes in pulp bleaching process. Yunnan Chemical Technology, 2018, 45 (8): 164- 166. | |
| 刘志佳, 李 黎, 鲍甫成, 等. 不同条件水热处理木材的漂白工艺. 木材工业, 2009, 23 (2): 40- 42. | |
| Liu Z J, Li L, Bao F C, et al. Bleaching technology of wood after hydrothermal treatment. China Wood Industry, 2009, 23 (2): 40- 42. | |
| 陆弘毅, 丁春香, 翟胜丞, 等. 透明木材的性能及其应用研究进展. 高分子通报, 2021, (7): 13- 26. | |
| Lu H Y, Ding C X, Zhai S C, et al. Research progress of properties and applications of transparent wood. Polymer Bulletin, 2021, (7): 13- 26. | |
| 卢庆华, 卢 俊, 蔡 禄. 产木聚糖酶菌种的筛选及其在纸浆漂白中的应用. 科学技术与工程, 2013, 13 (5): 1257- 1260,1275. | |
| Lu Q H, Lu J, Cai L. The sifting of strains that producing xylanas-eand its application in pulp bleaching. Science Technology and Engineering, 2013, 13 (5): 1257- 1260,1275. | |
| 潘梦丽, 王 春, 平清伟, 等. 纸浆绿色漂白技术新进展. 中国造纸, 2015, 34 (11): 52- 58. | |
| Pan M L, Wang C, Ping Q W, et al. Pregress of green bleaching technology. China Pulp & Paper, 2015, 34 (11): 52- 58. | |
| 邱乾栋, 莫文娟, 马海燕, 等. 泡桐木材白度与相关变色的生理指标. 东北林业大学学报, 2013, 41 (12): 72- 76. | |
| Qiu Q D, Mo W J, Ma H Y, et al. Whiteness of paulownia wood and physiological indexes correlated with discoloration. Journal of Northeast Forestry University, 2013, 41 (12): 72- 76. | |
| 许开绍, 郭华清. 生物酶漂白技术的研究进展. 西南造纸, 2002, 31 (4): 7- 8,23. | |
| Xu K S, Guo H Q. Research progress of biological enzyme bleaching technology. Southwest Pulp and Paper, 2002, 31 (4): 7- 8,23. | |
| 张润青, 曹海兵, 步逸凡, 等. 臭氧对非木材纤维漂白和改性作用研究进展. 中国造纸, 2020, 39 (6): 75- 82. | |
| Zhang R Q, Cao H B, Bu Y F, et al. Review on the study progress of ozone treatment in bleaching and modifications of non-wood fibers. China Pulp & Paper, 2020, 39 (6): 75- 82. | |
| 祖勃荪, 周 勤. 兰考泡桐木材成分的变色行为及其变色过程. 林业科学, 1998, 34 (3): 97- 103. | |
| Zu B S, Zhou Q. Discoloration of paulownia wood: susceptibility of extractives. Scientia Silvae Sinicae, 1998, 34 (3): 97- 103. | |
|
Patel A K, Singhania R R, Sim S J, et al. Thermostable cellulases: Current status and perspectives. Bioresource Technology, 2019, 279, 385- 392.
doi: 10.1016/j.biortech.2019.01.049 |
|
| Pathania D, Katwal R, Sharma G, et al. A biopolymer-based hybrid cation exchanger pectin cerium (IV) iodate: Synthesis, characterization, and analytical applications. Desalination and Water Treatment, 2016, 57, 468- 475. | |
|
Segal L, Conrad C, Creely J, et al. An empirical method for estimating the degree of crystallinity of native cellulose using the X-Ray diffractometer. Textile Research Journal, 1959, 29 (10): 786- 794.
doi: 10.1177/004051755902901003 |
|
|
Shi J T, Lu Y, Zhang Y L, et al. Effect of thermal treatment with water, H2SO4 and NaOH aqueous solution on color, cell wall and chemical structure of poplar wood . Scientific Reports, 2018, 8 (1): 17735.
doi: 10.1038/s41598-018-36086-9 |
|
|
Wu Y, Wu J M, Yang F, et al. Effect of H2O2 bleaching treatment on the properties of finished transparent wood . Polymers, 2019, 11 (5): 776.
doi: 10.3390/polym11050776 |
|
| Zhang P, Wei Y X, Liu Y, et al. 2018. Heat-induced discoloration of chromophore structures in Eucalyptus lignin. Materials (Basel, Switzerland), 11(9): 1686. |
| [1] | Shunfu Li,Huimin Wang,Lisha Fang,Zhen Liu. Gene Expression Related to Terminal Bud Death Induced by Short-Day in Paulownia fortunei [J]. Scientia Silvae Sinicae, 2022, 58(2): 148-158. |
| [2] | Rui Li,Yuanyuan Miao,Xiaodong Qian,Bin Lin,Xianglong Jin,Muzhi Li,Zhenbo Liu. Effect of Extraction Treatment on Acoustic Vibration Performance of Paulownia Wood [J]. Scientia Silvae Sinicae, 2022, 58(2): 171-181. |
| [3] | Xiang Li,Ni Chen,Xuemin Qi,Jie Chu,Junhua Zhang,Delong Chang,Yaya Xu. Composition and Structure Characteristics of Sodium Ethoxide Pretreated Lignocelluloses Biomass [J]. Scientia Silvae Sinicae, 2020, 56(2): 156-163. |
| [4] | Hou Junfeng, Bao Yongze, Zhou Yongdong. Effects of Superheated Steam Pretreatment on Conventional Drying of 50 mm-Thickness Poplar Lumber [J]. Scientia Silvae Sinicae, 2018, 54(2): 131-136. |
| [5] | Chen Qian, Chen Jinghuan, Wang Kun, Jiang Jianxin, Sun Runcang. Research Progress on the Hydrothermal Pretreatment of Lignocellulosic Biomass and Its Bioconversion [J]. Scientia Silvae Sinicae, 2017, 53(9): 97-104. |
| [6] | Cao Yabing, Zhai Xiaoqiao, Deng Minjie, Zhao Zhenli, Fan Guoqiang. Relationship between Metabolites Variation and Paulownia Witches' Broom [J]. Scientia Silvae Sinicae, 2017, 53(6): 85-93. |
| [7] | Chu Jie, Zhang Junhua, Ma Li, Lu Haidong. Study of the Crystallization Parameters of Bamboo Fibers with Pretreatment [J]. Scientia Silvae Sinicae, 2017, 53(2): 100-109. |
| [8] | Wang Yanmei, Zhang Longchong, Ma Tianxiao, Liu Zhen, Ren Xuemin, Geng Xiaodong, Song Lianghong. Effect of Artificial Regulation on Terminal Bud Growth of Paulownia spp. [J]. Scientia Silvae Sinicae, 2016, 52(8): 53-59. |
| [9] | Cao Yanchun, Cao Yabing, Zhao Zhenli, Zhai Xiaoqiao, Fan Guoqiang. A New Variety of Paulownia australis ‘Tetraploid Paulownia australis 1’ [J]. Scientia Silvae Sinicae, 2016, 52(8): 168-168. |
| [10] | Li Kangqin, Gong Bin, Xu Haining, Dai Xiaoying, Peng Jinan, Zhu Peilin. An Elite Variety of Paulownia fortunei ‘Tiantong C22’ [J]. Scientia Silvae Sinicae, 2016, 52(7): 171-171. |
| [11] | Song Chuansheng, Hu Jiaxu, Lin Caili, Ren Zhengguang, Geng Xiansheng, Tian Guozhong. Thymidylate Kinase Gene Polymorphism of Two Strains of Paulownia Witches’-Broom Phytoplasma [J]. Scientia Silvae Sinicae, 2014, 50(8): 108-118. |
| [12] | Li Zhiqiang, Fei Benhua, Jiang Zehui. Effect of Inorganic Salts on Enzymatic Saccharification of Moso Bamboo Pretreated by Microwave-Dilute Acid [J]. Scientia Silvae Sinicae, 2014, 50(4): 101-107. |
| [13] | Cao Xibing, Zhao Zhenli, Fan Guoqiang, Deng Minjie, Dong Yanpeng. Effect of Methyl Methanesulphonate on DNA Methylation of Witches’Broom Seedlings of Paulownia tomentosa [J]. Scientia Silvae Sinicae, 2014, 50(3): 99-108. |
| [14] | Luo Yongfeng, Li Xi, Li Xianjun, Chen Hongbin, Chai Yuan. Mathematical Simulation and Design of Cylindrical Cavity of Microwave Pretreatment Equipment Used for Wood Modification [J]. Scientia Silvae Sinicae, 2014, 50(3): 117-122. |
| [15] | Zhao Zhenli, Fan Guoqiang. A New Variety of Paulownia fortunei ‘Tetraploid Paulownia fortunei 1’ [J]. Scientia Silvae Sinicae, 2014, 50(12): 168-168. |
| Viewed | ||||||
|
Full text |
|
|||||
|
Abstract |
|
|||||