Scientia Silvae Sinicae ›› 2021, Vol. 57 ›› Issue (7): 32-42.doi: 10.11707/j.1001-7488.20210704
Previous Articles Next Articles
Yu Cao1,3,4,Lin Chao2,Yuning An1,4,Dedong Wu1,3,4,Xueli Zhang1,3,4,Hong Li1,4,Yanyan Liu2,*
Received:2020-02-22
Online:2021-07-25
Published:2021-09-02
Contact:
Yanyan Liu
CLC Number:
Yu Cao,Lin Chao,Yuning An,Dedong Wu,Xueli Zhang,Hong Li,Yanyan Liu. Response of Hydraulic Architecture of Hemiptelea davidii to Soil Water Conditions in Horqin Sandy Land[J]. Scientia Silvae Sinicae, 2021, 57(7): 32-42.
Table 1
Growth characteristics of H. davidii sampled in two habitats"
| 生境 Habitat | 地径 Basal diameter/cm | 树高 Tree height/m | 单株地上生物量Individual aboveground biomass/kg | |||
| 叶Leaf | 枝Branch | 干Stem | 合计Total | |||
| 丘间低地 Interdune | 4.28 ± 0.25a | 2.95 ± 0.11a | 0.23 ±0.02a | 0.33 ± 0.02a | 0.61 ± 0.03a | 1.17 ± 0.04a |
| 沙丘上部 Upperdune | 2.59 ± 0.11b | 1.62 ± 0.06b | 0.12 ± 0.02b | 0.12 ± 0.01b | 0.24 ± 0.03b | 0.48 ± 0.06b |
Table 2
Hydraulic characteristics of H. davidii sampled in two habitats"
| 生境 Habitat | LA*/m2 | LMA**/(g·cm-2) | LS**/cm2 | ΨL-pd**/MPa | ΨL-md**/ MPa | ΨS-md**/MPa | SA/ cm2 | WD**/(g·cm-3) | P50**/MPa | P80*/MPa | HSM*/MPa | |
| ΨS-md- P50 | ΨS-md- P80 | |||||||||||
| 丘间低地 Interdune | 0.19 ± 0.02 | 93.69 ± 2.50 | 6.32 ± 0.37 | -0.56 ± 0.03 | -1.68 ± 0.05 | -0.72 ± 0.03 | 0.26 ± 0.24 | 0.66 ± 0.01 | -0.95 ± 0.09 | -2.05 ± 0.15 | 0.23 ± 0.08 | 1.33 ± 0.05 |
| 沙丘上部 Upperdune | 0.10 ± 0.02 | 117.33 ± 3.40 | 3.35 ± 0.40 | -0.82 ± 0.04 | -2.12 ± 0.04 | -0.91 ± 0.02 | 0.22 ± 0.15 | 0.73 ± 0.01 | -1.34 ± 0.08 | -2.73 ± 0.08 | 0.43 ± 0.07 | 1.82 ± 0.07 |
Fig.2
Hydraulic architecture of H. davidii sampled in two habitats A: Sapwood-specific hydraulic conductivity(Ks); B: Leaf-specific hydraulic conductivity(Kl); C: Ratio of leaf area to sapwood area(LA/SA); D: Percentage loss of hydraulic conductivity(PLCnative). Data are mean±SE.Different letters indicate significant differences between habitats(P<0.05)."
Fig.3
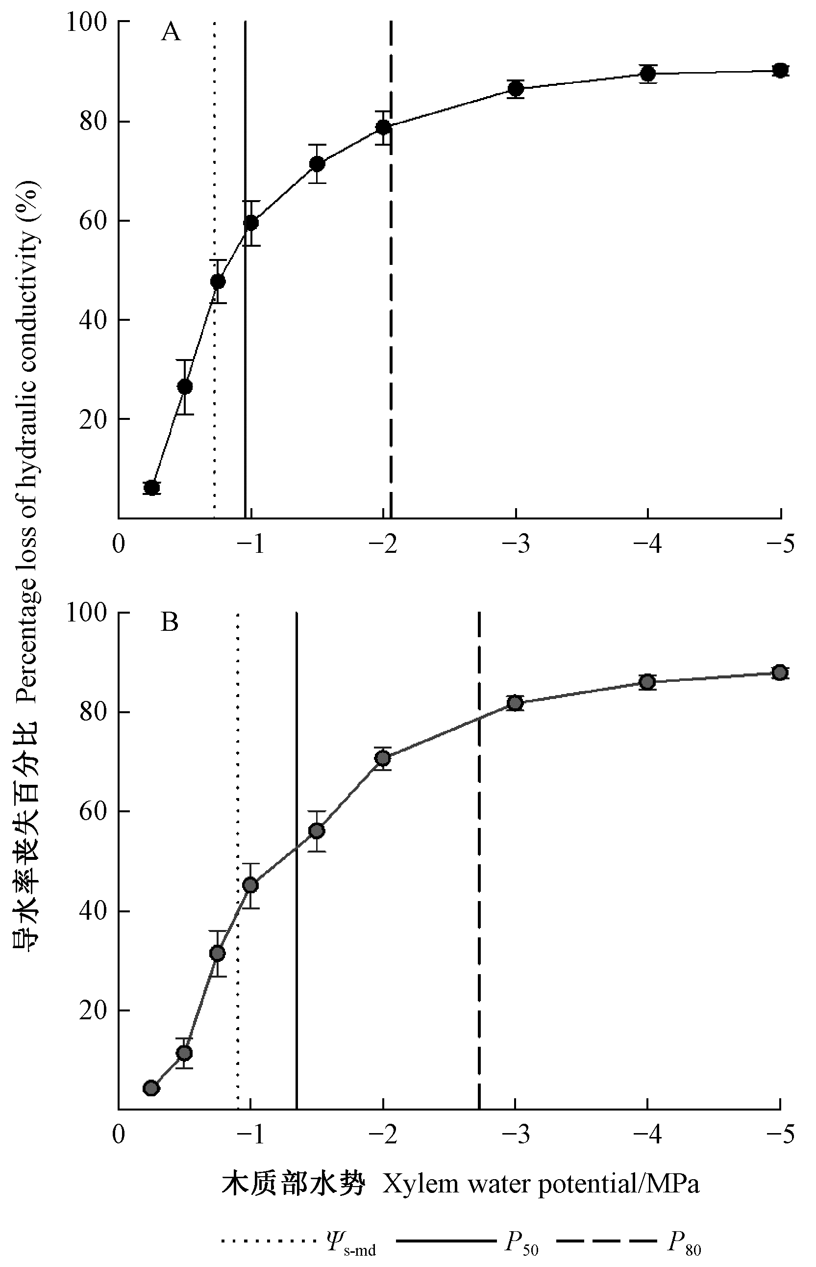
Percentage loss of hydraulic conductivity(PLC) in response to xylem water potential in stems of H. davidii in two habitats A: Interdune; B: Upperdune. Data are mean±SE. The dotted, solid and dashed vertical lines show midday stem water potential(ΨS-md), mean xylem water potential responsible for 50% and 80% loss of maximum conductivity, respectively."
| 白云鹏, 韩大勇, 董艳红, 等. 科尔沁沙地刺榆群落的结构特征. 应用生态学报, 2008, 19 (2): 257- 260. | |
| Bai Y P , Han D Y , Dong Y H , et al. Structural characteristics of Hemiptelea davidii community on Kerqin sandy land. Chinese Journal of Applied Ecology, 2008, 19 (2): 257- 260. | |
| 曹宇. 沙地人工刺榆围栏生长及分化的初步研究. 林业科技, 2017, 42 (2): 28- 31. | |
| Cao Y . Preliminary study on growth and differentiation of Hemiptelea davidii fences in sand-land. Forestry Science and Technology, 2017, 42 (2): 28- 31. | |
| 陈佳村, 李秧秧, 左力翔. 陕北沙地小叶杨"小老树"的水力适应性. 生态学报, 2014, 34 (15): 4193- 4200. | |
| Chen J C , Li Y Y , Zuo L X . The hydraulic acclimation of old and dwarf Populus simonii trees growing on sandy soil in northern Shaanxi Province, China. Acta Ecologica Sinica, 2014, 34 (15): 4193- 4200. | |
| 党维, 姜在民, 李荣, 等. 6个树种1年生枝木质部的水力特征及与栓塞修复能力的关系. 林业科学, 2017, 53 (3): 9- 59. | |
| Dang W , Jiang Z M , Li R , et al. Relationship between hydraulic traits and refilling of embolism in the xylem of one-year-old twigs of six tree species. Scientia Silvae Sinicae, 2017, 53 (3): 49- 59. | |
| 焦树仁. 辽宁省章古台樟子松固沙林提早衰弱的原因与防治措施. 林业科学, 2001, 37 (2): 131- 138. | |
| Jiao S R . Report on the causes of the early decline of Pinus slyvestris var. mongolica shelterbelt and its preventative and control measures in Zhanggutai of Liaoning Province. Scientia Silvae Sinicae, 2001, 37 (2): 131- 138. | |
| 焦树仁. 彰武沙地改良与利用研究. 沈阳: 辽宁大学出版社, 2012: 3- 34. | |
| Jiao S R . Improvement and utilization of Zhangwu sandy land(Liaoning, China). Shenyang: Liaoning University Press, 2012: 3- 34. | |
|
李吉跃, 翟洪波. 木本植物水力结构与抗旱性. 应用生态学报, 2000, 11 (2): 301- 305.
doi: 10.3321/j.issn:1001-9332.2000.02.037 |
|
|
Li J Y , Zhai H B . Hydraulic architecture and drought resistance of woody plants. Chinese Journal of Applied Ecology, 2000, 11 (2): 301- 305.
doi: 10.3321/j.issn:1001-9332.2000.02.037 |
|
| 李美琦, 姜在民, 赵涵, 等. 加杨水力学与生理特性对不同土壤水分条件响应研究. 植物生理学报, 2017, 53 (4): 632- 640. | |
| Li M Q , Jiang Z M , Zhao H , et al. Study on the adaptability of hydraulic and physiological characteristics to different soil moisture conditions in Populus×canadensis Moench. Plant Physiology Communications, 2017, 53 (4): 632- 640. | |
| 李荣, 党维, 蔡靖, 等. 6个耐旱树种木质部结构与栓塞脆弱性的关系. 植物生态学报, 2016, 40 (3): 255- 263. | |
| Li R , Dang W , Cai J , et al. Relationships between xylem structure and embolism vulnerability in six species of drought tolerance trees. Chinese Journal of Plant Ecology, 2016, 40 (3): 255- 263. | |
| 李秧秧, 石辉, 邵明安. 黄土丘陵区典型树木抵抗空穴化能力及与木质部结构的关系. 北京林业大学学报, 2010a, 32 (3): 8- 13. | |
| Li Y Y , Shi H , Shao M A . Cavitation resistance of dominant trees and shrubs in Loess hilly region and their relationship with xylem structure. Journal of Beijing Forestry University, 2010a, 32 (3): 8- 13. | |
| 李秧秧, 石辉, 邵明安. 黄土丘陵区乔灌木叶水分利用效率及与水力学特性关系. 林业科学, 2010b, 46 (2): 67- 73. | |
| Li Y Y , Shi H , Shao M A . Leaf water use efficiency and its relationship with hydraulic characteristics in eight dominant trees and shrubs in loess hilly area during vegetation succession. Scientia Silvae Sinicae, 2010b, 46 (2): 67- 73. | |
| 刘金玉, 付培立, 曹坤芳. 热带喀斯特森林常绿和落叶榕树的水力特征和水分关系与抗旱策略. 植物科学学报, 2012, 30 (5): 484- 493. | |
| Liu J Y , Fu P L , Cao K F . Different drought-adaptation strategies as characterized by hydraulic and water-relations traits of evergreen and deciduous figs in a tropical karst forest. Journal of Wuhan Botanical Research, 2012, 30 (5): 484- 493. | |
| 王林, 代永新, 郭晋平, 等. 刺槐苗木干旱胁迫过程中水力学失败和碳饥饿的交互作用. 林业科学, 2016, 52 (6): 1- 9. | |
| Wang L , Dai Y X , Guo J P , et al. Interaction of hydraulic failure and carbon starvation on Robinia pseudoacacia seedlings during drought. Scientia Silvae Sinicae, 2016, 52 (6): 1- 9. | |
| 杨允菲, 白云鹏, 李建东. 科尔沁沙地刺榆局域成林机制. 生态学杂志, 2011, 30 (11): 2389- 2393. | |
| Yang Y F , Bai Y P , Li J D . Local formation mechanisms of Hemiptelea davidii forest in Keerqin sandy land of North China. Chinese Journal of Ecology, 2011, 30 (11): 2389- 2393. | |
| 殷笑寒, 郝广友. 长白山阔叶树种木质部环孔和散孔结构特征的分化导致其水力学性状的显著差异. 应用生态学报, 2018, 29 (2): 352- 360. | |
| Yin X H , Hao G Y . Divergence between ring- and diffuse-porous wood types in broadleaf trees of Changbai Mountains results in substantial differences in hydraulic traits. Chinese Journal of Applied Ecology, 2018, 29 (2): 352- 360. | |
| 赵万里, 张教林, 章永江, 等. 豆科复叶和单叶树种的光合-水分关系分析. 植物科学学报, 2019, 37 (5): 628- 636. | |
| Zhao W L , Zhang J L , Zhang Y J , et al. Analysis of photosynthesis-water relationship between simple- and compound-leafed leguminous trees. Plant Science Journal, 2019, 37 (5): 628- 636. | |
|
周朝彬, 辛慧慧, 宋于洋. 梭梭次生木质部解剖特征及其可塑性研究. 西北林学院学报, 2014, 29 (2): 207- 212.
doi: 10.3969/j.issn.1001-7461.2014.02.37 |
|
|
Zhou C B , Xin H H , Song Y Y . Secondary xylem anatomical structure and its plasticity of Haloxylon ammodendron. Journal of Northwest Forestry University, 2014, 29 (2): 207- 212.
doi: 10.3969/j.issn.1001-7461.2014.02.37 |
|
|
Brodribb T J , Holbrook N M , Gutiérrez M V . Hydraulic and photosynthetic co-ordination in seasonally dry tropical forest trees. Plant Cell and Environment, 2002, 25 (11): 1435- 1444.
doi: 10.1046/j.1365-3040.2002.00919.x |
|
|
Bucci S J , Scholz F G , Peschiutta M L , et al. The stem xylem of Patagonian shrubs operates far from the point of catastrophic dysfunction and is additionally protected from drought-induced embolism by leaves and roots. Plant Cell and Environment, 2013, 36 (12): 2163- 2714.
doi: 10.1111/pce.12126 |
|
| Cai J , Tyree M T . The impact of vessel size on vulnerability curves: data and models for within-species variability in saplings of aspen, Populus tremuloides Michx. Plant Cell and Environment, 2010, 33 (7): 1059- 1069. | |
|
Choat B , Cobb A R , Jansen S . Structure and function of bordered pits: new discoveries and impacts on whole-plant hydraulic function. New Phytologist, 2008, 177 (3): 608- 626.
doi: 10.1111/j.1469-8137.2007.02317.x |
|
|
Choat B , Jansen S , Brodribb T J , et al. Global convergence in the vulnerability of forests to drought. Nature, 2012, 491 (7426): 752- 755.
doi: 10.1038/nature11688 |
|
|
Corcuera L , Cochard H , Gil-Pelegrin E , et al. Phenotypic plasticity in mesic populations of Pinus pinaster improves resistance to xylem embolism(P50) under severe drought. Trees, 2011, 25 (6): 1033- 1042.
doi: 10.1007/s00468-011-0578-2 |
|
|
Delzon S , Cochard H . Recent advances in tree hydraulics highlight the ecological significance of the hydraulic safety margin. New Phytologist, 2014, 203 (2): 355- 358.
doi: 10.1111/nph.12798 |
|
| Fang L D , Zhao Q , Liu Y Y , et al. The influence of a five-year nitrogen fertilization treatment on hydraulic architecture of Pinus sylvestris var. mongolica in a water-limited plantation of NE China. Forest Ecology and Management, 2018, 418 (1): 15- 22. | |
|
Hao G Y , Jones T J , Luton C , et al. Hydraulic redistribution in dwarf Rhizophora mangle trees driven by interstitial soil water salinity gradients: impacts on hydraulic architecture and gas exchange. Tree Physiology, 2009, 29 (5): 697- 705.
doi: 10.1093/treephys/tpp005 |
|
|
Hao G Y , Lucero M E , Sanderson S C , et al. Polyploidy enhances the occupation of heterogeneous environments through hydraulic related trade-offs in Atriplex canescens(Chenopodiaceae). New Phytologist, 2013, 197 (3): 970- 978.
doi: 10.1111/nph.12051 |
|
| Johnson D M , McCulloh K A , Woodruff D R , et al. Hydraulic safety margins and embolism reversal in stems and leaves: why are conifers and angiosperms so different?. Plant Science, 2012, 195 (1): 48- 53. | |
|
Li Y Y , Chen W Y , Chen J C , et al. Vulnerability to drought-induced cavitation in shoots of two typical shrubs in the southern Mu Us Sandy Land, China. Journal of Arid Land, 2016, 8 (1): 125- 137.
doi: 10.1007/s40333-015-0056-6 |
|
|
Liu Y Y , Song J , Wang M , et al. Coordination of xylem hydraulics and stomatal regulation in keeping the integrity of xylem water transport in shoots of two compound-leaved tree species. Tree Physiology, 2015, 35 (12): 1333- 1342.
doi: 10.1093/treephys/tpv061 |
|
|
Liu Y Y , Wang A Y , An Y N , et al. Hydraulics play an important role in causing low growth rate and dieback of aging Pinus sylvestris var. mongolica trees in plantations of Northeast China. Plant Cell and Environment, 2018, 41 (7): 1500- 1511.
doi: 10.1111/pce.13160 |
|
|
López R , López de-Heredia U , Collada C , et al. Vulnerability to cavitation, hydraulic efficiency, growth and survival in an insular pine(Pinus canariensis). Annals of Botany, 2013, 111 (6): 1167- 1179.
doi: 10.1093/aob/mct084 |
|
|
Meinzer F C , McCulloh K A , Lachenbruch B , et al. The blind men and the elephant: the impact of context and scale in evaluating conflicts between plant hydraulic safety and efficiency. Oecologia, 2010, 164 (2): 287- 296.
doi: 10.1007/s00442-010-1734-x |
|
|
Meinzer F C , Johnson D M , Lachenbruch B , et al. Xylem hydraulic safety margins in woody plants: coordination of stomatal control of xylem tension with hydraulic capacitance. Functional Ecology, 2009, 23 (5): 922- 930.
doi: 10.1111/j.1365-2435.2009.01577.x |
|
|
Nardini A , Salleo S . Limitation of stomatal conductance by hydraulic traits: sensing or preventing xylem cavitation? Trees, 15(1): 14-24. Trees, 2000, 15 (1): 14- 24.
doi: 10.1007/s004680000071 |
|
|
Perry L G , Shafroth P B , Blumenthal D M , et al. Elevated CO2 does not offset greater water stress predicted under climate change for native and exotic riparian plants. New Phytologist, 2013, 197 (2): 532- 543.
doi: 10.1111/nph.12030 |
|
|
Pockman W T , Sperry J S . Vulnerability to xylem cavitation and the distribution of Sonoran desert vegetation. American Journal of Botany, 2000, 87 (9): 1287- 1299.
doi: 10.2307/2656722 |
|
|
Ryan M J , Phillips N , Bond B J . The hydraulic limitation hypothesis revised. Plant Cell and Environment, 2006, 29 (3): 367- 381.
doi: 10.1111/j.1365-3040.2005.01478.x |
|
|
Santiago L S , Goldstein G , Meinzer F C , et al. Leaf photosynthetic traits scale with hydraulic conductivity and wood density in Panamanian forest canopy trees. Oecologia, 2004, 140 (4): 543- 550.
doi: 10.1007/s00442-004-1624-1 |
|
|
Sperry J S . Evolution of water transport and xylem structure. International Journal of Plant Sciences, 2003, 164 (S3): S115- S127.
doi: 10.1086/368398 |
|
|
Sperry J S , Donnelly J R , Tyree M T . A method for measuring hydraulic conductivity and embolism in xylem. Plant Cell and Environment, 1988, 11 (1): 35- 40.
doi: 10.1111/j.1365-3040.1988.tb01774.x |
|
|
Sperry J S , Meinzer F C , McCulloh K A . Safety and efficiency conflicts in hydraulic architecture: scaling from tissues to trees. Plant Cell and Environment, 2008, 31 (5): 632- 645.
doi: 10.1111/j.1365-3040.2007.01765.x |
|
|
Tyree M T , Ewers F W . The hydraulic architecture of trees and other woody plants. New Phytologist, 1991, 119 (3): 345- 360.
doi: 10.1111/j.1469-8137.1991.tb00035.x |
|
|
Tyree M T , Sperry J S . Vulnerability of xylem to cavitation and embolism. Annual Review of Plant Biology, 1989, 40 (1): 19- 38.
doi: 10.1146/annurev.pp.40.060189.000315 |
|
| Tyree M T , Zimmermann M H . Xylem Structure and the Ascent of Sap, seconded. Berlin, GER: Springer, 2002: 49- 88. | |
|
Venturas M , López R , Gascó R , et al. Hydraulic properties of European elms: xylem safety-efficiency tradeoff and species distribution in the Iberian Peninsula. Trees, 2013, 27 (11): 1691- 1701.
doi: 10.1007/s00468-013-0916-7 |
|
| Vilagrosa A, Chirino E, Peguero-Pina J J, et al. 2012. Xylem cavitation and embolism in plants living in water-limited ecosystems. Plant Responses to Drought Stress, Berlin Heidelberg, Springer, 63-109. | |
|
Wheeler J K , Sperry J S , Hacke U G , et al. Inter-vessel pitting and cavitation in woody Rosaceae and other vesselled plants: a basis for a safety vs. efficiency trade-off in xylem transport. Plant Cell and Environment, 2005, 28 (6): 800- 812.
doi: 10.1111/j.1365-3040.2005.01330.x |
|
|
Wolfe B . Retention of stored water enables tropical tree saplings to survive extreme drought conditions. Tree Physiology, 2017, 37 (4): 469- 480.
doi: 10.1093/treephys/tpx001 |
|
| Yang D , Wang A Y , Zhang J L , et al. Variation in stem xylem traits is related to differentiation of upper limits of tree species along an elevational gradient. Forests, 2020, 11 (3): 2- 14. | |
|
Zhang Y J , Cao K F . Stem hydraulics mediates leaf water status, carbon gain, nutrient use efficiencies and plant growth rates across dipterocarp species. Functional Ecology, 2009a, 23 (4): 658- 667.
doi: 10.1111/j.1365-2435.2009.01552.x |
|
|
Zhang Y J , Meinzer F C , Hao G Y , et al. Size-dependent mortality in a Neotropical savanna tree: the role of height-related adjustments in hydraulic architecture and carbon allocation. Plant Cell and Environment, 2009b, 32 (10): 1456- 1466.
doi: 10.1111/j.1365-3040.2009.02012.x |
|
|
Zhu S D , Cao K F . Hydraulic properties and photosynthetic rates in co-occurring lianas and trees in a seasonal tropical rainforest in southwestern China. Plant Ecology, 2009, 204 (10): 295- 304.
doi: 10.1007/s11258-009-9592-5 |
|
|
Zolfaghar S , Villalobos-Vega R , Zeppel M , et al. The hydraulic architecture of Eucalyptus trees growing across a gradient of depth-to-groundwater. Functional Plant Biology, 2015, 42 (9): 888- 898.
doi: 10.1071/FP14324 |
| [1] | Ye Linfeng, Li Yan, Wang Zhongyuan, Lu Shitong, Pan Tiantian, Chen Sen, Xie Jiangbo. Efficiency-Safety Relationships of Hydraulic Conducting System for Branch and Root of Three Pinus Species Growing in Humid Area [J]. Scientia Silvae Sinicae, 2021, 57(7): 194-204. |
| [2] | Han Zhao,Jin Huang,Youjing Zhang,Yanjun Lu,Zaimin Jiang,Jing Cai. Influence of Open Vessel Proportion on the Types of Embolism Vulnerability Curves [J]. Scientia Silvae Sinicae, 2020, 56(5): 50-59. |
| [3] | Gao Ming, Chen Yicun, Wu Liwen, Wang Yangdong. Dynamic Patterns of Sex-Specific Difference of Water and Nitrogen Use Efficiency in Litsea cubeba [J]. Scientia Silvae Sinicae, 2019, 55(4): 62-68. |
| [4] | Zou Jie, Ding Jianli. Changes of Water Use Efficiency of Main Vegetation Types in Central Asia from 2000 to 2014 [J]. Scientia Silvae Sinicae, 2019, 55(3): 175-182. |
| [5] | He Chunxia, Zhang Jinsong, Meng Ping, Hu Xinyu, Gao Jun. Water Use Strategies of Three Native Shrubs in the Southern Taihang Mountain [J]. Scientia Silvae Sinicae, 2018, 54(9): 137-146. |
| [6] | Dang Wei, Jiang Zaimin, Li Rong, Zhang Shuoxin, Cai Jing. Relationship between Hydraulic Traits and Refilling of Embolism in the Xylem of One-Year-Old Twigs of Six Tree Species [J]. Scientia Silvae Sinicae, 2017, 53(3): 49-59. |
| [7] | Lang Ying, Wang Ming. Threshold Effect of Photosynthesis in Forsythia suspense to Soil Water and its Photosynthetic Productivity Grading in Spring and Summer [J]. Scientia Silvae Sinicae, 2016, 52(2): 38-46. |
| [8] | Mi Na, Wen Xuefa, Cai Fu, Wang Yang, Zhang Yushu. Effects of Seasonal Drought on the Water Use Efficiency of Qianyanzhou Plantation [J]. Scientia Silvae Sinicae, 2014, 50(12): 24-31. |
| [9] | Wang Lei, Cao Fuliang, Wu Jiasheng. Effects of Alternative Partial Root-Zone Irrigation on Growth and Physiology of Ginkgo biloba Seedlings [J]. Scientia Silvae Sinicae, 2013, 49(6): 52-59. |
| [10] | Zhang Haixin;Li Shan;Zhang Shuoxin;Xiong Xiaoyan;Cai Jing;. Relationships between Xylem Vessel Structure and Embolism Vulnerability in Four Populus Clones [J]. , 2013, 49(5): 54-61. |
| [11] | Liu Shuming, Sun Jiaqian, Deng Zhenyi, Wei Diandian, Zhang Gang, Sun Bingyin. Effects of Drought Stress on the Root Morphology and Water Use Efficiency of Zanthoxylum bungeanum [J]. Scientia Silvae Sinicae, 2013, 49(12): 30-35. |
| [12] | Li Jie;Yao Yantao;Zhou Chun'e;Liang Zhiying;Miao Qing. Effect of Alternate Partial Root Zone Drying on Photosynthesis Characteristics of Aconitum kusnezoffii [J]. Scientia Silvae Sinicae, 2012, 48(6): 72-79. |
| [13] | Ma Fei;Xu Tingting;Zhang Xiaowei;Zhao Changming. Ecophysiological Responses of Seedlings of Hippophae neurocarpa to Elevated Carbon Dioxide [J]. Scientia Silvae Sinicae, 2012, 48(10): 30-35. |
| [14] | Deng Yun;Zhang Lei;Wang Bing;Su Wenhua;Zhang Guangfei;Deng Xiaobao. Seasonal Variations in Photosynthesis and Water Use Efficiencyof Eucalyptus grandis × E. urophylla [J]. Scientia Silvae Sinicae, 2010, 46(8): 84-90. |
| [15] | Zhu Yajuan;Jia Zhiqing;Lu Qi;Hao Yuguang;Zhang Jingbo;Li Lei;Qi Yanlin. Water Use Strategy of Five Shrubs in Ulanbuh Desert [J]. Scientia Silvae Sinicae, 2010, 46(4): 15-21. |
| Viewed | ||||||
|
Full text |
|
|||||
|
Abstract |
|
|||||