林业科学 ›› 2021, Vol. 57 ›› Issue (2): 1-11.doi: 10.11707/j.1001-7488.20210201
赵瑞,王传宽,全先奎,王兴昌*
收稿日期:2019-09-23
出版日期:2021-02-25
发布日期:2021-03-29
通讯作者:
王兴昌
基金资助:Rui Zhao,Chuankuan Wang,Xiankui Quan,Xingchang Wang*
Received:2019-09-23
Online:2021-02-25
Published:2021-03-29
Contact:
Xingchang Wang
摘要:
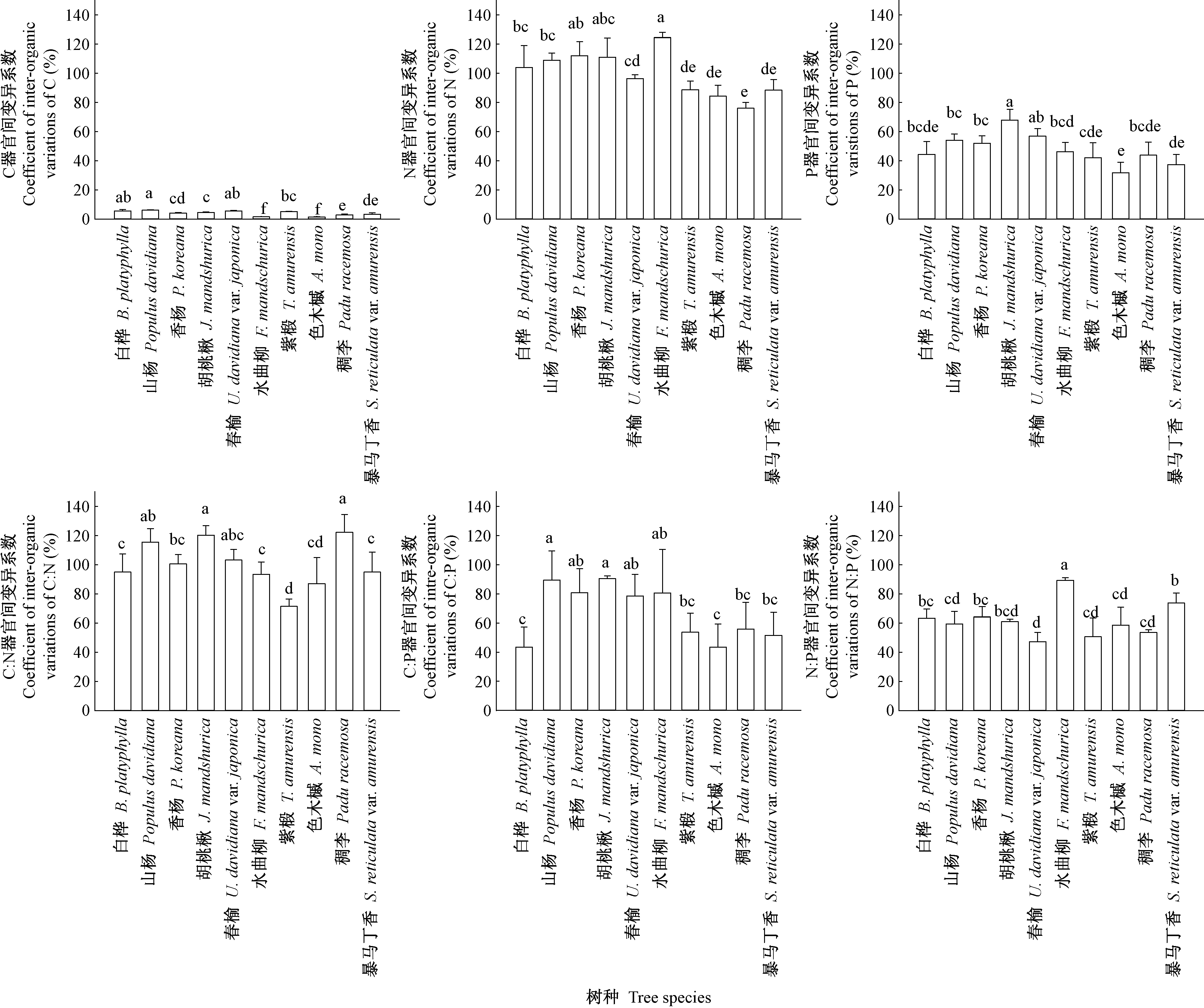
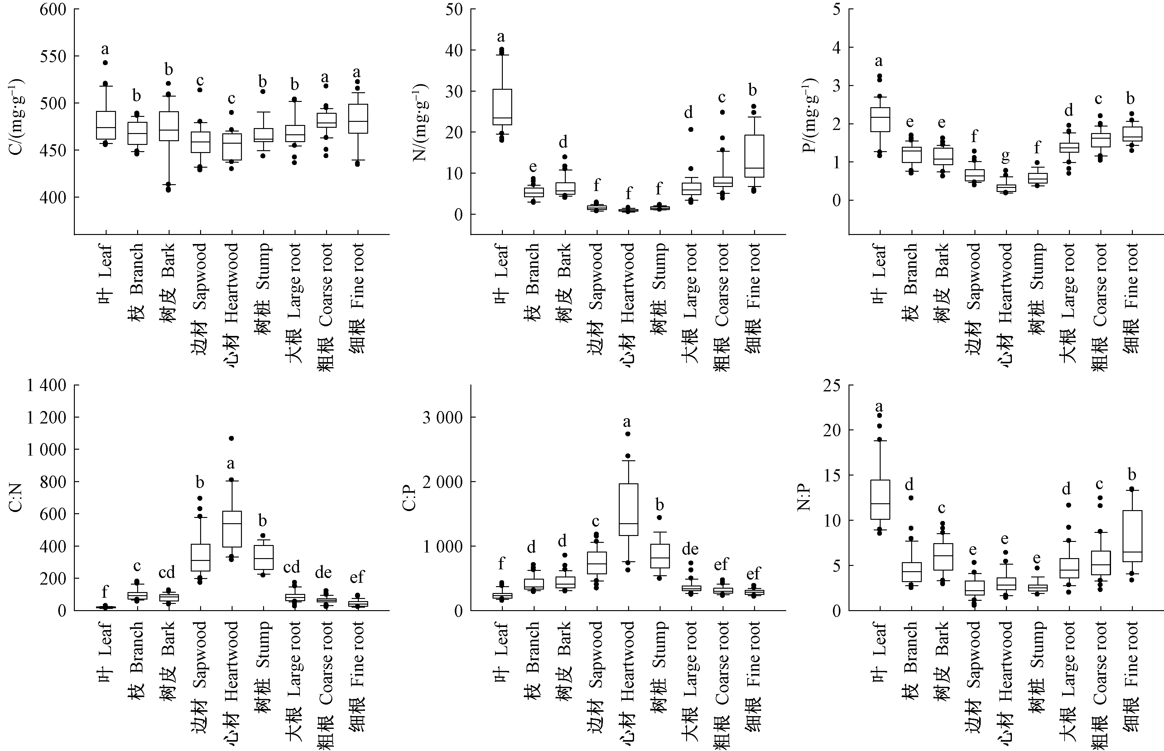
目的: 量化共存树种的碳、氮、磷含量及其计量关系的器官间和种间差异,探讨共存树种养分元素的器官间分配策略和种间利用差异,以期增强对整树水平的碳、氮、磷储量和分配格局的认识。方法: 选取黑龙江省帽儿山天然次生林中的10个共存阔叶树种,研究叶、枝、皮、边材、心材、树桩、大根(5 mm < 直径≤30 mm)、粗根(2 mm < 直径≤5 mm)和细根(直径≤2 mm)9个器官的碳含量(C)、氮含量(N)、磷含量(P)以及碳氮比(C:N)、碳磷比(C:P)和氮磷比(N:P),用变异系数表达器官和树种间的差异,用标准主轴回归斜率检验元素两两之间的异速或等速增长关系。结果: 树种、器官及其交互作用对C、N、P及C:N、C:P、N:P影响显著(树种对C:P影响不显著除外);从均值来看,资源获取器官(叶和细根)的C、N、P及N:P显著高于其他器官,木质部(边材、心材)的C:N、C:P显著高于其他器官;从种间变异来看,叶元素含量及其计量比的种间差异均较低;细根N、C:N和N:P的种间差异均较高,而P和C:P的种间差异均较低,表明该地区树木将有限的氮元素优先分配给光合器官;大部分器官的元素间相关关系不显著,表明单一器官的养分计量关系不能直接反应其他器官或整树水平的计量关系;器官间C和N、C和P相关关系因树种而异,但N和P关系各树种高度一致。结论: 树木器官间的C、N、P、C:N、C:P和N:P的差异与器官功能分异紧密相关。总体上温带森林树种将受限的氮元素优先分配到叶,同时氮也会限制木材固碳。各器官对碳、氮、磷元素的利用在群落共存种间存在明显差异,可能有助于降低种间竞争。无论是种内还是种间,一个器官的养分含量及其计量关系均不能直接反应其他器官的情况,因此仅用某一器官来量化整树水平的碳、氮、磷储量及其分配格局是不准确的,今后相关研究应充分考虑元素含量的器官间和种间差异。
中图分类号:
赵瑞,王传宽,全先奎,王兴昌. 黑龙江省帽儿山温带阔叶树种不同器官的生态化学计量特征[J]. 林业科学, 2021, 57(2): 1-11.
Rui Zhao,Chuankuan Wang,Xiankui Quan,Xingchang Wang. Ecological Stoichiometric Characteristics of Different Organs of Broadleaf Tree Species in a temperate Forest in Maoershan Area, Heilongjiang Province[J]. Scientia Silvae Sinicae, 2021, 57(2): 1-11.
表1
样地概况"
| 样地编号 Plot No. | 坡度 Slope gradient/(°) | DBH/cm | 林分密度 Stand density/hm-2 | 叶面积指数 Leaf area index/(m2·m-2) | 主要树种 Major tree species |
| 1 | 1 | 25.5 | 3 250 | 5.83 | 春榆Ulmus davidiana var. japonica、暴马丁香Syringa reticulata var. amurensis、鼠李Rhamnus ussuriensis、水曲柳Fraxinus mandschurica、茶条槭Acer ginnala、枫桦Betula costata、山丁子Malus pallasiana |
| 2 | 7 | 20.3 | 1 316 | 5.33 | 春榆U. davidiana var. japonica、水曲柳F. mandschurica、色木槭Acer mono |
| 3 | 12 | 13.1 | 4 366 | 6.90 | 白桦Betula platyphylla、胡桃楸Juglans mandshurica、春榆U. davidiana var. japonica、落叶松Larix gmelinii、水曲柳F. mandschurica、色木槭A. mono |
| 4 | 9 | 16.3 | 2 150 | 5.67 | 白桦B. platyphylla、春榆U. davidiana var. japonica、水曲柳F. mandschurica、山杨Populus davidiana |
| 5 | 17 | 11.7 | 4 350 | 7.72 | 白桦B. platyphylla、色木槭A. mono、春榆U. davidiana var. japonica、水曲柳F. mandschurica、紫椴Tilia amurensis |
| 6 | 19 | 19.7 | 2 633 | 6.55 | 山杨P. davidiana、黄菠萝Phellodendron amurensis、色木槭A. mono |
| 7 | 7 | 17.8 | 2 633 | 6.33 | 水曲柳F. mandschurica、色木槭A. mono、暴马丁香S. reticulata var. amurensis、春榆U. davidiana var. japonica、朝鲜柳Salix rorida |
| 8 | 1 | 33.2 | 1 883 | 6.13 | 春榆U. davidiana var. japonica、水曲柳F. mandschurica、暴马丁香S. reticulata var. amurensis、胡桃楸J. mandshurica、稠李Padu racemosa |
| 9 | 11 | 33.2 | 5 150 | 6.32 | 香杨Populus koreana、胡桃楸J. mandshurica、白桦B. platyphylla、春榆U. davidiana var. japonica、红松Pinus koraiensis |
表2
样木基本情况"
| 生长型 | 材性 | 树种 | 耐荫性 | DBH/cm |
| Growth form | Wood property | Tree species | Shade tolerance | |
| 乔木 Arbor | 环孔材 Ring-porous wood | 水曲柳F. mandschurica | 耐荫Shade-tolerant | 33.43 ± 3.10 |
| 春榆U. davidiana var. japonica | 耐荫Shade-tolerant | 28.63 ± 5.03 | ||
| 半散孔材 Semi-diffuse porous wood | 胡桃楸J. mandshurica | 喜光Shade-intolerant | 25.13 ± 0.91 | |
| 散孔材 Diffuse-porous wood | 香杨P. koreana | 喜光Shade-intolerant | 29.50 ± 2.01 | |
| 山杨P. davidiana | 喜光Shade-intolerant | 28.30 ± 1.65 | ||
| 白桦B. platyphylla | 喜光Shade-intolerant | 19.03 ± 1.18 | ||
| 紫椴T. amurensis | 耐荫Shade-tolerant | 4.53 ± 1.42 | ||
| 色木槭A. mono | 耐荫Shade-tolerant | 3.10 ± 0.10 | ||
| 亚乔木 Subcanopy arbor | 散孔材 Diffuse-porous wood | 稠李P. racemosa | 耐荫Shade-tolerant | 6.37 ± 2.89 |
| 暴马丁香S. reticulata var. amurensis | 耐荫Shade-tolerant | 5.73 ± 1.19 |
表3
器官、树种及其交互作用对碳、氮、磷含量及其计量比的影响的双因素方差分析"
| 因变量 Dependent variable | 器官 Organ | 树种 Tree species | 器官×树种 Organ × tree species | ||||||||
| df | F | P | df | F | P | df | F | P | |||
| C | 8/243 | 18.48 | < 0.001 | 9/243 | 15.85 | < 0.001 | 63/243 | 7.62 | < 0.001 | ||
| N | 8/243 | 568.99 | < 0.001 | 9/243 | 34.48 | < 0.001 | 63/243 | 9.46 | < 0.001 | ||
| P | 8/243 | 207.31 | < 0.001 | 9/243 | 8.19 | < 0.001 | 63/243 | 4.31 | < 0.001 | ||
| C∶N | 8/243 | 342.57 | < 0.001 | 9/243 | 19.73 | < 0.001 | 63/243 | 5.26 | < 0.001 | ||
| C∶P | 8/243 | 114.23 | < 0.001 | 9/243 | 1.17 | 0.319 | 63/243 | 2.07 | < 0.001 | ||
| N∶P | 8/243 | 269.19 | < 0.001 | 9/243 | 42.76 | < 0.001 | 63/243 | 9.4 | < 0.001 | ||
表4
各器官碳、氮、磷含量间相关关系的标准主轴回归①"
| 器官 Organ | n | Y=C; X=N | Y=C; X=P | Y=P; X=N | ||||||||
| b (95%CI) | R2 | P | b (95%CI) | R2 | P | b (95%CI) | R2 | P | ||||
| 叶Leaf | 30 | 0.184 (0.126, 0.267) | 0.017 | 0.495 | 0.168 (0.115, 0.246) | 0.004 | 0.726 | 1.09 (0.778, 1.525) | 0.216 | 0.010 | ||
| 枝Branch | 30 | -0.093 (-0.129, -0.066) | 0.244 | 0.006 | 0.109 (0.075, 0.158) | 0.009 | 0.616 | 0.851 (0.586, 1.237) | 0.027 | 0.388 | ||
| 树皮Bark | 30 | -0.217 (-0.315, -0.150) | 0.038 | 0.303 | -0.295 (-0.428, -0.203) | 0.033 | 0.340 | 0.736 (0.514, 1.052) | 0.108 | 0.076 | ||
| 边材Sapwood | 30 | 0.107 (0.080, 0.144) | 0.409 | < 0.001 | -0.147 (-0.212, -0.102) | 0.071 | 0.154 | -0.729 (-1.064, -0.500) | 0.000 | 0.911 | ||
| 心材Heartwood | 21 | 0.095 (0.067, 0.133) | 0.477 | < 0.001 | 0.083 (0.053, 0.129) | 0.060 | 0.284 | 1.149 (0.764, 1.729) | 0.235 | 0.026 | ||
| 树桩Stump | 18 | 0.133 (0.080, 0.220) | 0.001 | 0.919 | -0.113 (-0.185, -0.069) | 0.079 | 0.259 | 1.171 (0.776, 1.768) | 0.361 | 0.008 | ||
| 大根Large root | 30 | -0.089 (-0.130, -0.061) | 0.007 | 0.665 | -0.161 (-0.227, -0.114) | 0.168 | 0.024 | 0.553 (0.384, 0.798) | 0.062 | 0.184 | ||
| 粗根Coarse root | 30 | 0.074 (0.052, 0.106) | 0.112 | 0.071 | -0.167 (-0.243, -0.114) | 0.005 | 0.711 | 0.445 (0.308, 0.645) | 0.043 | 0.273 | ||
| 细根Fine root | 24 | 0.109 (0.071, 0.167) | 0.001 | 0.868 | 0.351 (0.229, 0.540) | 0.000 | 0.922 | 0.309 (0.206, 0.465) | 0.100 | 0.133 | ||
表5
各树种碳、氮、磷含量间相关关系的标准主轴回归"
| 树种Species | n | Y=C; X=N | Y=C; X=P | Y=P; X=N | ||||||||
| b (95%CI) | R2 | P | b (95%CI) | R2 | P | b (95%CI) | R2 | P | ||||
| 白桦 B. platyphylla | 24 | 0.055 (0.043, 0.070) | 0.700 | < 0.001 | 0.122 (0.086, 0.173) | 0.355 | 0.002 | 0.453 (0.362, 0.566) | 0.738 | < 0.001 | ||
| 山杨 Populus davidiana | 27 | 0.049 (0.038, 0.064) | 0.586 | < 0.001 | 0.085 (0.060, 0.119) | 0.295 | 0.003 | 0.582 (0.468, 0.725) | 0.711 | < 0.001 | ||
| 香杨 Populus koreana | 27 | 0.037 (0.028, 0.050) | 0.509 | < 0.001 | 0.058 (0.043, 0.078) | 0.474 | < 0.001 | 0.648 (0.556, 0.756) | 0.860 | < 0.001 | ||
| 胡桃楸 J. mandshurica | 27 | 0.032 (0.024, 0.045) | 0.366 | < 0.001 | 0.059 (0.042, 0.082) | 0.293 | 0.004 | 0.555 (0.487, 0.631) | 0.900 | <0.001 | ||
| 春榆U. davidiana var. japonica | 27 | -0.055 (-0.081, -0.038) | 0.094 | 0.119 | -0.084 (-0.123, -0.057) | 0.094 | 0.119 | 0.659 (0.557, 0.779) | 0.832 | < 0.001 | ||
| 水曲柳 F. mandshurica | 27 | -0.013 (-0.019, -0.009) | 0.010 | 0.982 | 0.025 (0.017, 0.038) | 0.002 | 0.821 | 0.513 (0.411, 0.640) | 0.706 | < 0.001 | ||
| 紫椴T. amurensis | 21 | -0.069 (-0.11, -0.043) | 0.010 | 0.952 | 0.108 (0.069, 0.168) | 0.086 | 0.198 | 0.640 (0.487, 0.842) | 0.666 | < 0.001 | ||
| 色木槭A. mono | 21 | 0.018 (0.011, 0.028) | 0.031 | 0.442 | 0.037 (0.024, 0.057) | 0.121 | 0.122 | 0.485 (0.368, 0.640) | 0.660 | < 0.001 | ||
| 稠李Padu racemosa | 21 | 0.027 (0.018, 0.042) | 0.169 | 0.064 | 0.057 (0.038, 0.084) | 0.277 | 0.014 | 0.482 (0.389, 0.597) | 0.797 | < 0.001 | ||
| 暴马丁香 S. reticulata var. amurensis | 21 | 0.037 (0.024, 0.056) | 0.199 | 0.043 | 0.076 (0.053, 0.109) | 0.412 | 0.002 | 0.486 (0.384, 0.615) | 0.755 | < 0.001 | ||
| 陈莹婷, 许振柱. 植物叶经济谱的研究进展. 植物生态学报, 2014, 38 (10): 1135- 1153. | |
| Chen Y T , Xu Z Z . Review on research of leaf economics spectrum. Chinese Journal of Plant Ecology, 2014, 38 (10): 1135- 1153. | |
| 龚滨. 浙江天童8种常绿乔木树种的叶片生活史研究. 南京: 南京师范大学硕士学位论文, 2014, | |
| Gong B . Leaf life history of eight tree species from evergreen broad-leaved forests in Tiantong, Zhejiang. Nanjing: MS thesis of Nanjing Normal Univesity, 2014, | |
| 郭宝华, 刘广路, 范少辉, 等. 不同生产力水平毛竹林碳氮磷的分布格局和计量特征. 林业科学, 2014, 50 (6): 1- 9. | |
| Guo B H , Liu G L , Fan S H , et al. Distribution patterns and stoichiometry characteristics of C, N, P in Phyllostachys edulis forests of different productivity levels. Scientia Silvae Sinicae, 2014, 50 (6): 1- 9. | |
| 贺合亮, 阳小成, 李丹丹, 等. 青藏高原东部窄叶鲜卑花碳、氮、磷化学计量特征. 植物生态学报, 2017, 41 (1): 126- 135. | |
| He H L , Yang X C , Li D D , et al. Stoichiometric characteristics of carbon, nitrogen and phosphorus of Sibiraea angustata shrub on the eastern Qinghai-Xizang Plateau. Chinese Journal of Plant Ecology, 2017, 41 (1): 126- 135. | |
| 胡耀升, 么旭阳, 刘艳红. 长白山森林不同演替阶段植物与土壤氮磷的化学计量特征. 应用生态学报, 2014, 25 (3): 632- 638. | |
| Hu Y S , Yao X Y , Liu Y H . N and P stoichiometric traits of plant and soil in different forest succession stages in Changbai Mountains. Chinese Journal of Applied Ecology, 2014, 25 (3): 632- 638. | |
| 孔青, 王传宽, 王兴昌. 植物残体去除对帽儿山温带落叶林土壤碳、氮、磷化学计量特征及其相关因子的影响. 应用生态学报, 2018, 29 (7): 2173- 2182. | |
| Kong Q , Wang C K , Wang X C . Effects of detritus removal on soil carbon, nitrogen and phosphorus stoichiometry and related factors in a temperate deciduous forest in the Maoershan Mountain, China. Chinese Journal of Applied Ecology, 2018, 29 (7): 2173- 2182. | |
|
刘佳, 项文化, 徐晓, 等. 湖南会同5个亚热带树种的细根构型及功能特征分析. 植物生态学报, 2010, 34 (8): 938- 945.
doi: 10.3773/j.issn.1005-264x.2010.08.006 |
|
|
Liu J , Xiang W H , Xu X , et al. Analysis of architecture and functions of fine roots of five subtropical tree species in Huitong, Hunan Province, China. Chinese Journal of Plant Ecology, 2010, 34 (8): 938- 945.
doi: 10.3773/j.issn.1005-264x.2010.08.006 |
|
| 宁志英, 李玉霖, 杨红玲, 等. 科尔沁沙地主要植物细根和叶片碳、氮、磷化学计量特征. 植物生态学报, 2017, 41 (10): 1069- 1080. | |
| Ning Z Y , Li Y L , Yang H L , et al. Carbon, nitrogen and phosphorus stoichiometry in leaves and fine roots of dominant plants in Horqin Sandy Land. Chinese Journal of Plant Ecology, 2017, 41 (10): 1069- 1080. | |
| 牛得草, 李茜, 江世高, 等. 阿拉善荒漠区6种主要灌木植物叶片C: N: P化学计量比的季节变化. 植物生态学报, 2013, 37 (4): 317- 325. | |
| Niu D C , Li Q , Jiang S G , et al. Seasonal variations of leaf C: N: P stoichiometry of six shrubs in desert of China's Alxa Plateau. Chinese Journal of Plant Ecology, 2013, 37 (4): 317- 325. | |
| 戚德辉, 温仲明, 王红霞, 等. 黄土丘陵区不同功能群植物碳氮磷生态化学计量特征及其对微地形的响应. 生态学报, 2016, 36 (20): 6420- 6430. | |
| Qi D H , Wen Z M , Wang H X , et al. Stoichiometry traits of carbon, nitrogen, and phosphorus in plants of different functional groups and their responses to micro-topographical variations in the hilly and gully region of the Loess Plateau, China. Acta Ecologica Sinica, 2016, 36 (20): 1- 10. | |
| 苏凯文, 陈路红, 郑伟, 等. 云南杨梅碳、氮、磷化学计量特征. 植物生态学报, 2017, 41 (1): 136- 146. | |
| Su K W , Chen L H , Zheng W , et al. Carbon, nitrogen and phosphorus stoichiometry of Myrica nana in Yunnan, China. Chinese Journal of Plant Ecology, 2017, 41 (1): 136- 146. | |
| 王晶苑, 王绍强, 李纫兰, 等. 中国四种森林类型主要优势植物的C: N: P化学计量学特征. 植物生态学报, 2011, 35 (6): 587- 595. | |
| Wang J Y , Wang S Q , Li R L , et al. C: N: P stoichiometric characteristics of four forest types' dominant tree species in China. Chinese Journal of Plant Ecology, 2011, 35 (3): 587- 595. | |
| 王晓洁, 肖迪, 张凯, 等. 凉水天然阔叶红松林植物叶片与细根的N: P化学计量特征. 生态学杂志, 2015, 34 (12): 3283- 3288. | |
| Wang X J , Xiao D , Zhang K , et al. Leaf and root N: P stoichiometry for common plants in a natural broadleaved Korean pine forest in Northeast China. Chinese Journal of Ecology, 2015, 34 (12): 3283- 3288. | |
|
王兴昌, 王传宽, 张全智, 等. 东北主要树种心材与边材的生长特征. 林业科学, 2008, 44 (5): 102- 108.
doi: 10.3321/j.issn:1001-7488.2008.05.020 |
|
|
Wang X C , Wang C K , Zhang Q Z , et al. Growth characteristics of heartwood and sapwood of the major tree species in northeast China. Scientia Silvae Sinicae, 2008, 44 (5): 102- 108.
doi: 10.3321/j.issn:1001-7488.2008.05.020 |
|
| 邢伟, 吴昊平, 史俏, 等. 生态化学计量学理论的应用、完善与扩展. 生态科学, 2015, 34 (1): 190- 197. | |
| Xing W , Wu H P , Shi Q , et al. Ecological stoichiometry theory: a review about applications and improvements. Ecological Science, 2015, 34 (1): 190- 197. | |
| 于海玲, 樊江文, 钟华平, 等. 青藏高原区域不同功能群植物氮磷生态化学计量学特征. 生态学报, 2017, 37 (11): 3755- 3764. | |
| Yu H L , Fan J W , Zhong H P , et al. Characteristics of N and P stoichiometry of plants in different functional groups in the Qinghai-Tibet Plateau regions. Acta Ecologica Sinica, 2017, 37 (11): 3755- 3764. | |
|
曾德慧, 陈广生. 生态化学计量学: 复杂生命系统奥秘的探索. 植物生态学报, 2005, 29 (6): 1007- 1019.
doi: 10.3321/j.issn:1005-264X.2005.06.018 |
|
|
Zeng D H , Chen G S . Ecological stoichiometry: a science to explore the complexity of living systems. Acta Phytoecologica Sinica, 2005, 29 (6): 1007- 1019.
doi: 10.3321/j.issn:1005-264X.2005.06.018 |
|
| 张江平, 郭颖, 孙吉慧, 等. 贵州主要森林植被养分含量及其分配特征. 北京林业大学学报, 2015, 37 (4): 48- 55. | |
| Zhang J P , Guo Y , Sun J H , et al. Nutrient contents of vegetation and their allocation characteristics in main forests of Guizhou Province. Journal of Beijing Forestry University, 2015, 12 (4): 48- 55. | |
| 周红艳, 吴琴, 陈明月, 等. 鄱阳湖沙山单叶蔓荆不同器官碳、氮、磷化学计量特征. 植物生态学报, 2017, 41 (4): 461- 470. | |
| Zhou H Y , Wu Q , Chen M Y , et al. C, N and P stoichiometry in different organs of Vitex rotundifolia in a Poyang Lake desertification hill. Chinese Journal of Plant Ecology, 2017, 41 (4): 461- 470. | |
| Aerts R , Chapin F S I . The mineral nutrition of wild plants revisited: a re-evaluation of processes and patterns. Advances in Ecological Research, 1999, 30 (8): 1- 67. | |
|
Aoyagi R , Kitayama K . Nutrient allocation among plant organs across 13 tree species in three bornean rain forests with contrasting nutrient availabilities. Journal of Plant Research, 2016, 129 (4): 675- 684.
doi: 10.1007/s10265-016-0826-z |
|
|
Elser J J , Fagan W F , Denno R F , et al. Nutritional constraints in terrestrial and freshwater food webs. Nature, 2000, 408 (6812): 578- 580.
doi: 10.1038/35046058 |
|
|
Fortunel C , Fine P V A , Baraloto C . Leaf, stem and root tissue strategies across 758 Neotropical tree species. Functional Ecology, 2012, 26 (5): 1153- 1161.
doi: 10.1111/j.1365-2435.2012.02020.x |
|
|
Han W X , Fang J Y , Reich P B , et al. Biogeography and variability of eleven mineral elements in plant leaves across gradients of climate, soil and plant functional type in China. Ecology Letters, 2011, 14 (8): 788- 796.
doi: 10.1111/j.1461-0248.2011.01641.x |
|
|
He M Z , Song X , Tian F P , et al. Divergent variations in concentrations of chemical elements among shrub organs in a temperate desert. Scientific Reports, 2016, 6, 20124.
doi: 10.1038/srep20124 |
|
|
Henry H A L , Aarssen L W . On the relationship between shade tolerance and shade avoidance strategies in woodland plants. Oikos, 1997, 80 (3): 575- 582.
doi: 10.2307/3546632 |
|
|
Kerkhoff A J , Fagan W F , Elser J J , et al. Phylogenetic and growth form variation in the scaling of nitrogen and phosphorus in the seed plants. American Naturalist, 2006, 168 (4): E103- E122.
doi: 10.1086/507879 |
|
|
Kotowska M M , Wright I J , Westoby M . Parenchyma abundance in wood of evergreen trees varies independently of nutrients. Frontiers in Plant Science, 2020, 11, 86.
doi: 10.3389/fpls.2020.00086 |
|
| Kramer-Walter K R , Laughlin D C . Root nutrient concentration and biomass allocation are more plastic than morphological traits in response to nutrient limitation. Plant and Soil, 2017, 416 (1/2): 539- 550. | |
|
Li A , Guo D L , Wang Z Q , et al. Nitrogen and phosphorus allocation in leaves, twigs, and fine roots across 49 temperate, subtropical and tropical tree species: a hierarchical pattern. Functional Ecology, 2010, 24 (1): 224- 232.
doi: 10.1111/j.1365-2435.2009.01603.x |
|
| Li H L , Crabbe M J C , Xu F L , et al. Seasonal variations in carbon, nitrogen and phosphorus concentrations and C: N: P stoichiometry in different organs of a Larix principis-rupprechtii Mayr. plantation in the Qinling Mountains, China. PloS ONE, 2017, 12 (9): 0185163. | |
|
Mcgill B J , Enquist B J , Weiher E , et al. Rebuilding community ecology from functional traits. Trends in Ecology and Evolution, 2006, 21 (4): 178- 185.
doi: 10.1016/j.tree.2006.02.002 |
|
|
Meerts P . Mineral nutrient concentrations in sapwood and heartwood: a literature review. Annals of Forest Science, 2002, 59 (7): 713- 722.
doi: 10.1051/forest:2002059 |
|
|
Minden V , Kleyer M . Internal and external regulation of plant organ stoichiometry. Plant Biology, 2014, 16 (5): 897- 907.
doi: 10.1111/plb.12155 |
|
|
Pan F J , Zhang W , Liu S J , et al. Leaf N: P stoichiometry across plant functional groups in the karst region of southwestern China. Trees, 2015, 29 (3): 883- 892.
doi: 10.1007/s00468-015-1170-y |
|
|
Sardans J , Peñuelas J . Tree growth changes with climate and forest type are associated with relative allocation of nutrients, especially phosphorus, to leaves and wood. Global Ecology and Biogeography, 2013, 22 (4): 494- 507.
doi: 10.1111/geb.12015 |
|
|
SardansJ , Peñuelas J . Trees increase their P: N ratio with size. Global Ecology and Biogeography, 2015, 24 (2): 147- 156.
doi: 10.1111/geb.12231 |
|
|
Schreeg L A , Santiago L S , Wright S J , et al. Stem, root, and older leaf N: P ratios are more responsive indicators of soil nutrient availability than new foliage. Ecology, 2014, 95 (8): 2062- 2068.
doi: 10.1890/13-1671.1 |
|
|
Tang Z Y , Xu W T , Zhou G Y , et al. Patterns of plant carbon, nitrogen, and phosphorus concentration in relation to productivity in China's terrestrial ecosystems. Proceedings of the National Academy of Sciences of the United States of America, 2018, 115 (16): 4033- 4038.
doi: 10.1073/pnas.1700295114 |
|
| Tian D , Yan Z B , Niklas K J , et al. Global leaf nitrogen and phosphorus stoichiometry and their scaling exponent. National Science Review, 2017, 5 (5): 728- 739. | |
|
Valladares F , Sanchez-Gomez D , Zavala M A . Quantitative estimation of phenotypic plasticity: bridging the gap between the evolutionary concept and its ecological applications. Journal of Ecology, 2006, 94 (6): 1103- 1116.
doi: 10.1111/j.1365-2745.2006.01176.x |
|
|
Wang R L , Wang Q F , Zhao N , et al. Complex trait relationships between leaves and absorptive roots: coordination in tissue N concentration but divergence in morphology. Ecology and Evolution, 2017, 7 (8): 2697- 2705.
doi: 10.1002/ece3.2895 |
|
|
Warton D I , Wright I J , Falster D S , et al. Bivariate line-fitting methods for allometry. Biological Reviews, 2006, 81 (2): 259- 291.
doi: 10.1017/S1464793106007007 |
|
|
Westoby M , Wright I J . Land-plant ecology on the basis of functional traits. Trends in Ecology and Evolution, 2006, 21 (5): 261- 268.
doi: 10.1016/j.tree.2006.02.004 |
|
|
Yan Z B , Li P , Chen Y H , et al. Nutrient allocation strategies of woody plants: an approach from the scaling of nitrogen and phosphorus between twig stems and leaves. Scientific Reports, 2016, 6, 20099.
doi: 10.1038/srep20099 |
|
|
Zhang J , He N , Liu C , et al. Variation and evolution of C: N ratio among different organs enable plants to adapt to N-limited environments. Global Change Biology, 2020, 26 (4): 2534- 2543.
doi: 10.1111/gcb.14973 |
|
|
Zhang J H , He N P , Liu C C , et al. Allocation strategies for nitrogen and phosphorus in forest plants. Oikos, 2018a, 127 (10): 1506- 1514.
doi: 10.1111/oik.05517 |
|
| Zhang J H , Zhao N , Liu C C , et al. C: N: P stoichiometry in China's forests: from organs to ecosystems. Functional Ecology, 2017, 32 (1): 50- 60. | |
|
Zhang K , Song C , Zhang Y , et al. Global-scale patterns of nutrient density and partitioning in forests in relation to climate. Global Change Biology, 2018b, 24 (1): 536- 551.
doi: 10.1111/gcb.13860 |
|
| Zhang Q , Xiong G M , Li J X , et al. Nitrogen and phosphorus concentrations and allocation strategies among shrub organs: the effects of plant growth forms and nitrogen-fixation types. Plant and Soil, 2018c, 427 (1/2): 305- 319. | |
|
Zhao H , He N P , Xu L , et al. Variation in the nitrogen concentration of the leaf, branch, trunk, and root in vegetation in China. Ecological Indicators, 2019, 96, 496- 504.
doi: 10.1016/j.ecolind.2018.09.031 |
|
|
Zhao N , Liu H M , Wang Q F , et al. Root elemental composition in Chinese forests: implications for biogeochemical niche differentiation. Functional Ecology, 2018, 32 (1): 1- 10.
doi: 10.1111/1365-2435.12954 |
|
|
Zhao N , Yu G R , He N P , et al. Invariant allometric scaling of nitrogen and phosphorus in leaves, stems, and fine roots of woody plants along an altitudinal gradient. Journal of Plant Research, 2016a, 129 (4): 647- 657.
doi: 10.1007/s10265-016-0805-4 |
|
|
Zhao N , Yu G R , He N P , et al. Coordinated pattern of multi-element variability in leaves and roots across Chinese forest biomes. Global Ecology and Biogeography, 2016b, 25 (3): 359- 367.
doi: 10.1111/geb.12427 |
| [1] | 程瑞梅, 王娜, 肖文发, 沈雅飞, 刘泽彬. 陆地生态系统生态化学计量学研究进展[J]. 林业科学, 2018, 54(7): 130-136. |
| 阅读次数 | ||||||
|
全文 |
|
|||||
|
摘要 |
|
|||||